• 文献检索
  • 文档翻译
  • 深度研究
  • 学术资讯
  • Suppr Zotero 插件Zotero 插件
  • 邀请有礼
  • 套餐&价格
  • 历史记录
应用&插件
Suppr Zotero 插件Zotero 插件浏览器插件Mac 客户端Windows 客户端微信小程序
定价
高级版会员购买积分包购买API积分包
服务
文献检索文档翻译深度研究API 文档MCP 服务
关于我们
关于 Suppr公司介绍联系我们用户协议隐私条款
关注我们

Suppr 超能文献

核心技术专利:CN118964589B侵权必究
粤ICP备2023148730 号-1Suppr @ 2026

文献检索

告别复杂PubMed语法,用中文像聊天一样搜索,搜遍4000万医学文献。AI智能推荐,让科研检索更轻松。

立即免费搜索

文件翻译

保留排版,准确专业,支持PDF/Word/PPT等文件格式,支持 12+语言互译。

免费翻译文档

深度研究

AI帮你快速写综述,25分钟生成高质量综述,智能提取关键信息,辅助科研写作。

立即免费体验

腹型肥胖指标与中国 2 型糖尿病患者心血管事件风险的相关性:一项前瞻性队列研究。

Association between abdominal obesity indices and risk of cardiovascular events in Chinese populations with type 2 diabetes: a prospective cohort study.

机构信息

Department of Epidemiology and Biostatistics, School of Public Health, Xinjiang Medical University, Urumqi, 830017, China.

Department of Clinical Nursing, School of Nursing, Xinjiang Medical University, Urumqi, 830017, China.

出版信息

Cardiovasc Diabetol. 2022 Nov 1;21(1):225. doi: 10.1186/s12933-022-01670-x.

DOI:10.1186/s12933-022-01670-x
PMID:36320060
原文链接:https://pmc.ncbi.nlm.nih.gov/articles/PMC9628026/
Abstract

BACKGROUND

Waist circumference (WC), visceral adiposity index (VAI), lipid accumulation product (LAP), and Chinese visceral adiposity index (CVAI) are considered surrogate indicators of abdominal fat deposition, but the longitudinal association of these indices with cardiovascular (CV) events in adults with type 2 diabetes (T2D) remains unclear. Our study aimed to examine the associations between abdominal obesity indices and incident CV events among people with T2D and to compare their predictive performance in risk assessment.

METHODS

The present study included 2328 individuals with T2D from the Xinjiang Multi-Ethnic Cohort. Multivariable Cox regression analyses were applied to assess the associations between abdominal obesity indices and CV events. Harrell's concordance statistic (C-statistic), net reclassification improvement (NRI) index, and integrated discrimination improvement (IDI) index were utilized to evaluate the predictive performance of each abdominal obesity index.

RESULTS

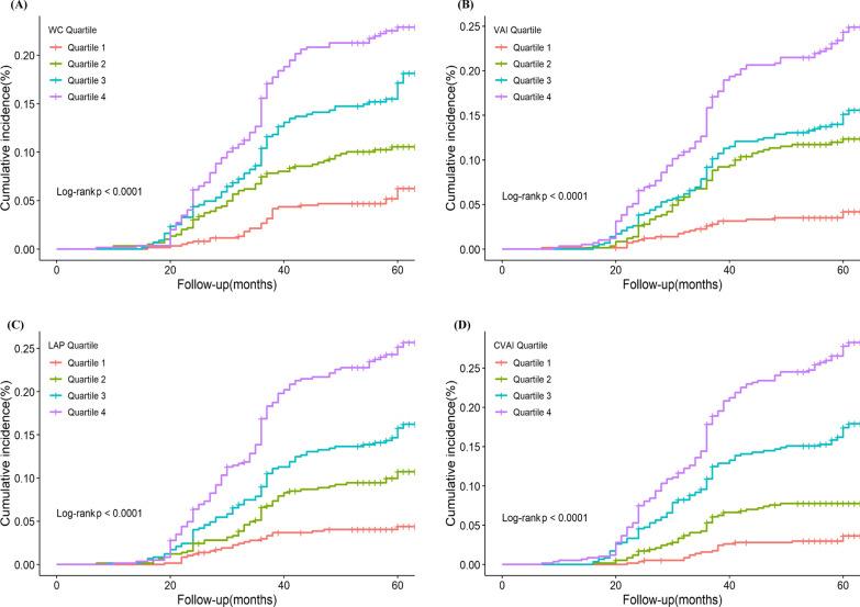
At a median follow-up period of 59 months, 289 participants experienced CV events. After multivariable adjustment, each 1-SD increase in WC, VAI, LAP, and CVAI was associated with a higher risk of CV events in people with T2D, with adjusted hazard ratios (HRs) being 1.57 [95% CI (confidence interval): 1.39-1.78], 1.11 (95% CI 1.06-1.16), 1.46 (95% CI 1.36-1.57), and 1.78 (95% CI 1.57-2.01), respectively. In subgroup analyses, these positive associations appeared to be stronger among participants with body mass index (BMI) < 25 kg/m compared to overweight/obese participants. As for the predictive performance, CVAI had the largest C-statistic (0.700, 95% CI 0.672-0.728) compared to VAI, LAP, WC, and BMI (C-statistic: 0.535 to 0.670, all P for comparison < 0.05). When the abdominal obesity index was added to the basic risk model, the CVAI index also showed the greatest incremental risk stratification (C-statistic: 0.751 vs. 0.701, P < 0.001; IDI: 4.3%, P < 0.001; NRI: 26.6%, P < 0.001).

CONCLUSIONS

This study provided additional evidence that all abdominal obesity indices were associated with the risk of CV events and highlighted that CVAI might be a valuable abdominal obesity indicator for identifying the high risk of CV events in Chinese populations with T2D. These results suggest that proactive assessment of abdominal obesity could be helpful for the effective clinical management of the diabetic population.

摘要

背景

腰围(WC)、内脏脂肪指数(VAI)、脂积指数(LAP)和中国内脏脂肪指数(CVAI)被认为是腹部脂肪沉积的替代指标,但这些指标与 2 型糖尿病(T2D)成人心血管(CV)事件的纵向关联仍不清楚。我们的研究旨在探讨 T2D 患者中这些腹部肥胖指标与 CV 事件的相关性,并比较它们在风险评估中的预测性能。

方法

本研究纳入了来自新疆多民族队列的 2328 名 T2D 患者。采用多变量 Cox 回归分析评估腹部肥胖指标与 CV 事件之间的关系。采用 Harrell 一致性指数(C 统计量)、净重新分类改善(NRI)指数和综合判别改善(IDI)指数评估每个腹部肥胖指标的预测性能。

结果

在中位随访 59 个月期间,289 名参与者发生了 CV 事件。经过多变量调整后,WC、VAI、LAP 和 CVAI 每增加 1-SD,T2D 患者发生 CV 事件的风险就会更高,调整后的危险比(HR)分别为 1.57[95%可信区间(CI):1.39-1.78]、1.11(95%CI 1.06-1.16)、1.46(95%CI 1.36-1.57)和 1.78(95%CI 1.57-2.01)。在亚组分析中,与超重/肥胖参与者相比,BMI<25kg/m2的参与者中这些阳性关联似乎更强。就预测性能而言,与 VAI、LAP、WC 和 BMI(C 统计量:0.535 至 0.670,所有 P 值比较均<0.05)相比,CVAI 的 C 统计量(0.700,95%CI 0.672-0.728)最大。当将腹部肥胖指数添加到基本风险模型中时,CVAI 指数也显示出最大的增量风险分层(C 统计量:0.751 与 0.701,P<0.001;IDI:4.3%,P<0.001;NRI:26.6%,P<0.001)。

结论

本研究提供了额外的证据表明,所有腹部肥胖指标均与 CV 事件风险相关,并强调 CVAI 可能是识别中国 T2D 人群 CV 事件高危风险的有价值的腹部肥胖指标。这些结果表明,积极评估腹部肥胖可能有助于对糖尿病患者进行有效的临床管理。

https://cdn.ncbi.nlm.nih.gov/pmc/blobs/4a59/9628026/cbd069b02401/12933_2022_1670_Fig3_HTML.jpg
https://cdn.ncbi.nlm.nih.gov/pmc/blobs/4a59/9628026/9307422b5fd8/12933_2022_1670_Fig1_HTML.jpg
https://cdn.ncbi.nlm.nih.gov/pmc/blobs/4a59/9628026/19442a8dc7e2/12933_2022_1670_Fig2_HTML.jpg
https://cdn.ncbi.nlm.nih.gov/pmc/blobs/4a59/9628026/cbd069b02401/12933_2022_1670_Fig3_HTML.jpg
https://cdn.ncbi.nlm.nih.gov/pmc/blobs/4a59/9628026/9307422b5fd8/12933_2022_1670_Fig1_HTML.jpg
https://cdn.ncbi.nlm.nih.gov/pmc/blobs/4a59/9628026/19442a8dc7e2/12933_2022_1670_Fig2_HTML.jpg
https://cdn.ncbi.nlm.nih.gov/pmc/blobs/4a59/9628026/cbd069b02401/12933_2022_1670_Fig3_HTML.jpg

相似文献

1
Association between abdominal obesity indices and risk of cardiovascular events in Chinese populations with type 2 diabetes: a prospective cohort study.腹型肥胖指标与中国 2 型糖尿病患者心血管事件风险的相关性:一项前瞻性队列研究。
Cardiovasc Diabetol. 2022 Nov 1;21(1):225. doi: 10.1186/s12933-022-01670-x.
2
The Chinese visceral adiposity index: a novel indicator more closely related to cardiovascular disease than other abdominal obesity indices among postmenopausal women.中国内脏脂肪指数:一种比其他腹型肥胖指数与绝经后妇女心血管疾病相关性更强的新型指标。
J Transl Med. 2024 Sep 23;22(1):855. doi: 10.1186/s12967-024-05665-y.
3
Association of Visceral Obesity Indices With Incident Diabetic Retinopathy in Patients With Diabetes: Prospective Cohort Study.糖尿病患者内脏肥胖指数与糖尿病性视网膜病变发生的关联:前瞻性队列研究
JMIR Public Health Surveill. 2024 Feb 6;10:e48120. doi: 10.2196/48120.
4
Association between abdominal obesity indices and falls among older community-dwellers in Guangzhou, China: a prospective cohort study.中国广州社区老年人腹型肥胖指标与跌倒的相关性:一项前瞻性队列研究。
BMC Geriatr. 2024 Sep 4;24(1):732. doi: 10.1186/s12877-024-05319-0.
5
Dose-response association between Chinese visceral adiposity index and cardiovascular disease: a national prospective cohort study.中国内脏脂肪指数与心血管疾病之间的剂量反应关联:一项全国性前瞻性队列研究。
Front Endocrinol (Lausanne). 2024 Apr 18;15:1284144. doi: 10.3389/fendo.2024.1284144. eCollection 2024.
6
Abnormal adiposity indices are associated with an increased risk of diabetes in a non-obese Asian population.异常的肥胖指数与非肥胖亚洲人群的糖尿病风险增加有关。
Public Health. 2024 Jan;226:144-151. doi: 10.1016/j.puhe.2023.11.012. Epub 2023 Dec 7.
7
LIPID ACCUMULATION PRODUCT, VISCERAL ADIPOSITY INDEX, AND CHINESE VISCERAL ADIPOSITY INDEX AS MARKERS OF CARDIOMETABOLIC RISK IN ADULT GROWTH HORMONE DEFICIENCY PATIENTS: A CROSS-SECTIONAL STUDY.脂积累产物、内脏脂肪指数和中国内脏脂肪指数作为成年生长激素缺乏症患者心血管代谢风险的标志物:一项横断面研究。
Endocr Pract. 2018 Jan;24(1):33-39. doi: 10.4158/EP-2017-0007. Epub 2017 Nov 16.
8
Association of traditional and novel obesity indicators with stroke risk: Findings from the Rural Chinese cohort study.传统和新型肥胖指标与卒中风险的关联:来自中国农村队列研究的结果。
Nutr Metab Cardiovasc Dis. 2024 Sep;34(9):2065-2074. doi: 10.1016/j.numecd.2024.05.001. Epub 2024 May 6.
9
Associations between abdominal obesity indices and diabetic complications: Chinese visceral adiposity index and neck circumference.腹型肥胖指标与糖尿病并发症的相关性:中国内脏脂肪指数和颈围。
Cardiovasc Diabetol. 2020 Jul 31;19(1):118. doi: 10.1186/s12933-020-01095-4.
10
Comparison of obesity indicators for predicting cardiovascular risk factors and multimorbidity among the Chinese population based on ROC analysis.基于 ROC 分析比较中国人群中预测心血管危险因素和多种疾病的肥胖指标。
Sci Rep. 2024 Sep 9;14(1):20942. doi: 10.1038/s41598-024-71914-1.

引用本文的文献

1
Ranges, temporal trend, and determinants of novel obesity indices in middle-aged and older Chinese population: insights from a nationally representative and longitudinal study.中国中老年人群新型肥胖指数的范围、时间趋势及影响因素:来自一项全国代表性纵向研究的见解
Front Public Health. 2025 Aug 14;13:1571254. doi: 10.3389/fpubh.2025.1571254. eCollection 2025.
2
Physiological Mechanisms of and Therapeutic Approaches to the Gut Microbiome and Low-Grade Inflammation in Obesity.肥胖症中肠道微生物群与低度炎症的生理机制及治疗方法
Curr Issues Mol Biol. 2025 Aug 8;47(8):637. doi: 10.3390/cimb47080637.
3
Impact of abdominal obesity indices on all-cause and cardiovascular mortality in individuals with pre-diabetes and diabetes: insights from a prospective cohort study.

本文引用的文献

1
A prospective study of waist circumference trajectories and incident cardiovascular disease in China: the Kailuan Cohort Study.中国腰围轨迹与心血管疾病发病的前瞻性研究:开滦队列研究
Am J Clin Nutr. 2021 Feb;113(2):338-347. doi: 10.1093/ajcn/nqaa331.
2
Cohort profile: The Xinjiang Multiethnic Cohort (XMC) study.队列研究简介:新疆多民族队列研究(XMC 研究)。
BMJ Open. 2022 May 11;12(5):e048242. doi: 10.1136/bmjopen-2020-048242.
3
Lipid Accumulation Product Predicts Diabetes Remission After Bariatric Surgery in Chinese Patients with BMI < 35 kg/m: a Multicenter Cohort Study.
腹型肥胖指标对糖尿病前期和糖尿病患者全因死亡率及心血管死亡率的影响:一项前瞻性队列研究的见解
BMC Public Health. 2025 Aug 14;25(1):2757. doi: 10.1186/s12889-025-24113-0.
4
Comparison of six surrogate insulin resistance indices for predicting the accumulation of pericardial fat on noncontrast computed tomography.六种替代胰岛素抵抗指数用于预测非增强计算机断层扫描上心包脂肪堆积的比较。
Quant Imaging Med Surg. 2025 Aug 1;15(8):6992-7005. doi: 10.21037/qims-2025-250. Epub 2025 Jul 30.
5
Early-Onset Obesity and Tirzepatide Treatment: A Post Hoc Analysis of the SURMOUNT Clinical Trials.早发性肥胖与替尔泊肽治疗:SURMOUNT临床试验的事后分析
Obesity (Silver Spring). 2025 Sep;33(9):1668-1679. doi: 10.1002/oby.24348. Epub 2025 Jul 27.
6
Associations between dynamic change of Chinese visceral adiposity index and hypertensive co-morbidities in the middle-aged and elderly population: a Chinese prospective cohort study.中国中老年人群内脏脂肪素指数动态变化与高血压合并症的关联:一项中国前瞻性队列研究
Front Nutr. 2025 Jul 9;12:1557868. doi: 10.3389/fnut.2025.1557868. eCollection 2025.
7
Association of cumulative exposure to Chinese visceral adiposity index and gastrointestinal cancer: a prospective cohort study.中国内脏脂肪指数累积暴露与胃肠道癌症的关联:一项前瞻性队列研究。
Front Oncol. 2025 Jul 3;15:1534682. doi: 10.3389/fonc.2025.1534682. eCollection 2025.
8
The relationship between abdominal fat and sleep quality after combined exercise in patients with type 2 diabetes mellitus.2型糖尿病患者联合运动后腹部脂肪与睡眠质量的关系。
Front Endocrinol (Lausanne). 2025 Jun 27;16:1471608. doi: 10.3389/fendo.2025.1471608. eCollection 2025.
9
Association Between Lipid Accumulation Product and Stress Urinary Incontinence in Women in the United States: The Mediating Role of Oxidative Stress.美国女性脂质积聚产物与压力性尿失禁之间的关联:氧化应激的中介作用
Int Neurourol J. 2025 Jun;29(2):92-102. doi: 10.5213/inj.2448460.230. Epub 2025 Jun 30.
10
Predictive values of neck circumference and TyG index on polycystic ovary syndrome with metabolic syndrome.颈围和TyG指数对多囊卵巢综合征合并代谢综合征的预测价值。
Sci Rep. 2025 Jul 5;15(1):24055. doi: 10.1038/s41598-025-09001-2.
脂联素水平与中国 BMI<35kg/m2 的患者减重手术后糖尿病缓解的关系:一项多中心队列研究。
Obes Surg. 2022 Jun;32(6):1935-1943. doi: 10.1007/s11695-022-06003-1. Epub 2022 Apr 9.
4
Body-mass index and risk of obesity-related complex multimorbidity: an observational multicohort study.体重指数与肥胖相关复杂多种病的风险:一项观察性多队列研究。
Lancet Diabetes Endocrinol. 2022 Apr;10(4):253-263. doi: 10.1016/S2213-8587(22)00033-X. Epub 2022 Mar 4.
5
IDF Diabetes Atlas: Global, regional and country-level diabetes prevalence estimates for 2021 and projections for 2045.国际糖尿病联盟(IDF)糖尿病地图集:2021 年全球、区域和国家糖尿病患病率估算值以及 2045 年预测值。
Diabetes Res Clin Pract. 2022 Jan;183:109119. doi: 10.1016/j.diabres.2021.109119. Epub 2021 Dec 6.
6
Obesity Prevalence and Risks Among Chinese Adults: Findings From the China PEACE Million Persons Project, 2014-2018.中国成年人肥胖患病率及相关风险:2014-2018 年中国慢性病前瞻性研究项目的调查结果。
Circ Cardiovasc Qual Outcomes. 2021 Jun;14(6):e007292. doi: 10.1161/CIRCOUTCOMES.120.007292. Epub 2021 Jun 10.
7
Association of BMI with cardiovascular disease incidence and mortality in patients with type 2 diabetes mellitus: A systematic review and dose-response meta-analysis of cohort studies.BMI 与 2 型糖尿病患者心血管疾病发病率和死亡率的关系:队列研究的系统评价和剂量反应荟萃分析。
Nutr Metab Cardiovasc Dis. 2021 Jun 30;31(7):1976-1984. doi: 10.1016/j.numecd.2021.03.003. Epub 2021 Mar 19.
8
Obesity and Cardiovascular Disease: A Scientific Statement From the American Heart Association.肥胖与心血管疾病:美国心脏协会科学声明
Circulation. 2021 May 25;143(21):e984-e1010. doi: 10.1161/CIR.0000000000000973. Epub 2021 Apr 22.
9
Comparison of Innovative and Traditional Cardiometabolic Indices in Estimating Atherosclerotic Cardiovascular Disease Risk in Adults.创新型与传统心脏代谢指标在评估成人动脉粥样硬化性心血管疾病风险中的比较
Diagnostics (Basel). 2021 Mar 28;11(4):603. doi: 10.3390/diagnostics11040603.
10
Obesity, Adipose Tissue and Vascular Dysfunction.肥胖、脂肪组织与血管功能障碍。
Circ Res. 2021 Apr 2;128(7):951-968. doi: 10.1161/CIRCRESAHA.121.318093. Epub 2021 Apr 1.