Suppr超能文献

一种用于计算氢氧化钠和氢氧化钾水溶液中氢和氧的热力学及输运性质的 OH 新力场。

A New Force Field for OH for Computing Thermodynamic and Transport Properties of H and O in Aqueous NaOH and KOH Solutions.

作者信息

Habibi Parsa, Rahbari Ahmadreza, Blazquez Samuel, Vega Carlos, Dey Poulumi, Vlugt Thijs J H, Moultos Othonas A

机构信息

Engineering Thermodynamics, Process & Energy Department, Faculty of Mechanical, Maritime and Materials Engineering, Delft University of Technology, Leeghwaterstraat 39, 2628 CBDelft, The Netherlands.

Department of Materials Science and Engineering, Faculty of Mechanical, Maritime and Materials Engineering, Delft University of Technology, Mekelweg 2, 2628 CDDelft, The Netherlands.

出版信息

J Phys Chem B. 2022 Nov 17;126(45):9376-9387. doi: 10.1021/acs.jpcb.2c06381. Epub 2022 Nov 3.

Abstract

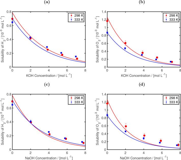
The thermophysical properties of aqueous electrolyte solutions are of interest for applications such as water electrolyzers and fuel cells. Molecular dynamics (MD) and continuous fractional component Monte Carlo (CFCMC) simulations are used to calculate densities, transport properties (i.e., self-diffusivities and dynamic viscosities), and solubilities of H and O in aqueous sodium and potassium hydroxide (NaOH and KOH) solutions for a wide electrolyte concentration range (0-8 mol/kg). Simulations are carried out for a temperature and pressure range of 298-353 K and 1-100 bar, respectively. The TIP4P/2005 water model is used in combination with a newly parametrized OH force field for NaOH and KOH. The computed dynamic viscosities at 298 K for NaOH and KOH solutions are within 5% from the reported experimental data up to an electrolyte concentration of 6 mol/kg. For most of the thermodynamic conditions (especially at high concentrations, pressures, and temperatures) experimental data are largely lacking. We present an extensive collection of new data and engineering equations for H and O self-diffusivities and solubilities in NaOH and KOH solutions, which can be used for process design and optimization of efficient alkaline electrolyzers and fuel cells.

摘要

水性电解质溶液的热物理性质对于水电解槽和燃料电池等应用具有重要意义。分子动力学(MD)和连续分数组分蒙特卡罗(CFCMC)模拟被用于计算在广泛的电解质浓度范围(0 - 8 mol/kg)内,氢和氧在氢氧化钠(NaOH)和氢氧化钾(KOH)水溶液中的密度、传输性质(即自扩散系数和动态粘度)以及溶解度。模拟分别在温度范围为298 - 353 K和压力范围为1 - 100 bar的条件下进行。TIP4P/2005水模型与新参数化的用于NaOH和KOH的OH力场相结合使用。在298 K下计算得到的NaOH和KOH溶液的动态粘度,在电解质浓度高达6 mol/kg时,与报道的实验数据相差在5%以内。对于大多数热力学条件(特别是在高浓度、高压和高温下),实验数据非常缺乏。我们给出了氢和氧在NaOH和KOH溶液中的自扩散系数和溶解度的大量新数据及工程方程,可用于高效碱性电解槽和燃料电池的工艺设计与优化。

https://cdn.ncbi.nlm.nih.gov/pmc/blobs/d85c/9677430/aa01997cd97d/jp2c06381_0001.jpg

文献AI研究员

20分钟写一篇综述,助力文献阅读效率提升50倍。

立即体验

用中文搜PubMed

大模型驱动的PubMed中文搜索引擎

马上搜索

文档翻译

学术文献翻译模型,支持多种主流文档格式。

立即体验