Suppr超能文献

甲基多巴与黄芩苷或黄芩根提取物对自发性高血压妊娠大鼠血压、心率及炎症和血管疾病相关因子表达的联合作用

Combined Effects of Methyldopa and Baicalein or Roots Extract on Blood Pressure, Heart Rate, and Expression of Inflammatory and Vascular Disease-Related Factors in Spontaneously Hypertensive Pregnant Rats.

作者信息

Szulc Michał, Kujawski Radosław, Mikołajczak Przemysław Ł, Bogacz Anna, Wolek Marlena, Górska Aleksandra, Czora-Poczwardowska Kamila, Ożarowski Marcin, Gryszczyńska Agnieszka, Baraniak Justyna, Kania-Dobrowolska Małgorzata, Adamczak Artur, Iwańczyk-Skalska Ewa, Jagodziński Paweł P, Czerny Bogusław, Kamiński Adam, Uzar Izabela, Seremak-Mrozikiewicz Agnieszka

机构信息

Department of Pharmacology, Poznan University of Medical Sciences, Rokietnicka 3, 60-806 Poznań, Poland.

Department of Pharmacology and Phytochemistry, Institute of Natural Fibres and Medicinal Plants-National Research Institute, Kolejowa 2, 62-064 Plewiska, Poland.

出版信息

Pharmaceuticals (Basel). 2022 Oct 29;15(11):1342. doi: 10.3390/ph15111342.

Abstract

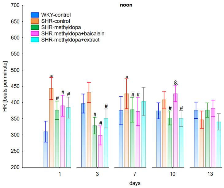
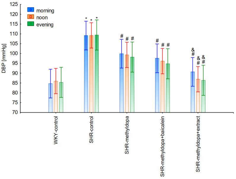
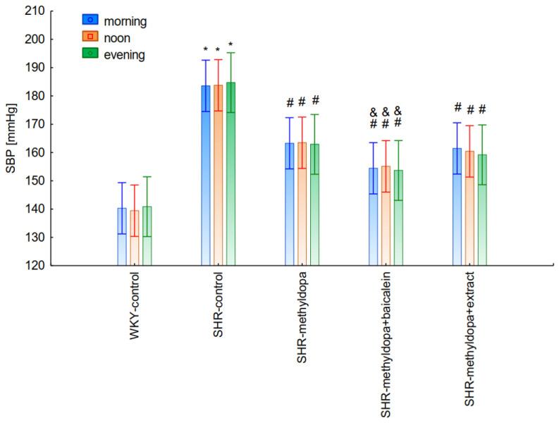
The aim of the study was to investigate the effect of baicalein or root extract interaction with methyldopa in pregnant spontaneously hypertensive rats (SHR) at the pharmacodynamic, molecular, and biochemical levels. The rats, after confirming pregnancy, received baicalein (200 mg/kg/day, p.o.) and extract (1000 mg/kg/day, p.o.), in combination with methyldopa (400 mg/kg/day; p.o.), for 14 consecutive days, 1 h before blood pressure and heart rate measurements. In the heart and placenta from mothers after giving birth to their offspring, mRNA expression of factors related to inflammatory processes (TNF-α, Il-1β, IL-6) and vascular diseases (TGF-β, HIF-1α, VEGF, PlGF) was measured. Levels of markers of oxidative stress (superoxide dismutase and malondialdehyde) in the placenta and indicators of myocardial damage (troponin cTnC and cTnI, creatine kinase, myoglobin, and lactate dehydrogenase) in the heart were also assessed. Baicalein co-administered with methyldopa was associated with reduced blood pressure, especially during the first three days. The interactions were more pronounced for such factors as TGF-β, HIF-1α, VEGF, and PlGF than TNF-α, Il-1β, and IL-6. Combined application of baicalein and extract with methyldopa may be of value in the development of a new antihypertensive medication intended for patients suffering from preeclampsia or pregnancy-induced hypertension.

摘要

本研究的目的是在药效学、分子和生化水平上研究黄芩素或根提取物与甲基多巴联合应用于妊娠自发性高血压大鼠(SHR)的效果。确认怀孕后,大鼠连续14天在测量血压和心率前1小时接受黄芩素(200毫克/千克/天,口服)和提取物(1000毫克/千克/天,口服),并联合甲基多巴(400毫克/千克/天;口服)。在母鼠分娩后代后,检测其心脏和胎盘中与炎症过程相关的因子(TNF-α、Il-1β、IL-6)和血管疾病相关的因子(TGF-β、HIF-1α、VEGF、PlGF)的mRNA表达。还评估了胎盘中氧化应激标志物(超氧化物歧化酶和丙二醛)的水平以及心脏中心肌损伤指标(肌钙蛋白cTnC和cTnI、肌酸激酶、肌红蛋白和乳酸脱氢酶)。黄芩素与甲基多巴联合应用可降低血压,尤其是在头三天。TGF-β、HIF-1α、VEGF和PlGF等因子的相互作用比TNF-α、Il-1β和IL-6更为明显。黄芩素和提取物与甲基多巴联合应用可能对开发用于先兆子痫或妊娠高血压患者的新型抗高血压药物具有价值。

https://cdn.ncbi.nlm.nih.gov/pmc/blobs/d5dd/9694684/1972ab885fd3/pharmaceuticals-15-01342-g001.jpg

文献AI研究员

20分钟写一篇综述,助力文献阅读效率提升50倍。

立即体验

用中文搜PubMed

大模型驱动的PubMed中文搜索引擎

马上搜索

文档翻译

学术文献翻译模型,支持多种主流文档格式。

立即体验