The Carl R. Woese Institute for Genomic Biology, University of Illinois at Urbana-Champaign, Urbana, Illinois.
Department of Plant Sciences, Centre for Crop Systems Analysis, Wageningen University, Wageningen, The Netherlands.
Plant Cell Environ. 2023 Feb;46(2):405-421. doi: 10.1111/pce.14487. Epub 2022 Nov 18.
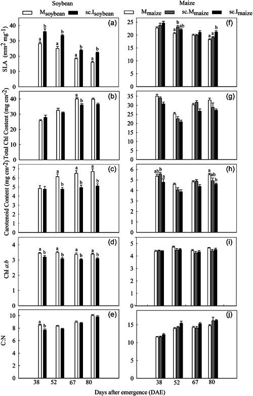
Plants have evolved to adapt to their neighbours through plastic trait responses. In intercrop systems, plant growth occurs at different spatial and temporal dimensions, creating a competitive light environment where aboveground plasticity may support complementarity in light-use efficiency, realizing yield gains per unit area compared with monoculture systems. Physiological and architectural plasticity including the consequences for light-use efficiency and yield in a maize-soybean solar corridor intercrop system was compared, empirically, with the standard monoculture systems of the Midwest, USA. The impact of reducing maize plant density on yield was investigated in the following year. Intercropped maize favoured physiological plasticity over architectural plasticity, which maintained harvest index (HI) but reduced light interception efficiency (ɛ ) and conversion efficiency (ɛ ). Intercropped soybean invested in both plasticity responses, which maintained ɛ , but HI and ɛ decreased. Reducing maize plant density within the solar corridor rows did not improve yields under monoculture and intercrop systems. Overall, the intercrop decreased land-use efficiency by 9%-19% and uncoordinated investment in aboveground plasticity by each crop under high maize plant density does not support complementarity in light-use efficiency. Nonetheless, the mechanistic understanding gained from this study may improve crop cultivars and intercrop designs for the Midwest to increase yield.
植物通过可塑性特征反应来适应其周围环境。在间作系统中,植物的生长发生在不同的空间和时间维度上,创造了一个竞争的光照环境,其中地上部的可塑性可能支持光利用效率的互补性,与单作系统相比实现单位面积的产量增加。本文比较了玉米-大豆间作太阳能走廊系统中生理和结构可塑性及其对光利用效率和产量的影响,与美国中西部标准单作系统进行了实证比较。第二年,研究了降低玉米植株密度对产量的影响。间作玉米表现出对生理可塑性的偏好,而对结构可塑性的偏好,维持了收获指数(HI),但降低了光截获效率(ɛ)和转化效率(ɛ)。间作大豆投资于这两种可塑性反应,维持了ɛ,但 HI 和ɛ降低。在单作和间作系统中,减少太阳能走廊行内的玉米植株密度并没有提高产量。总体而言,间作减少了 9%-19%的土地利用效率,并且在高玉米植株密度下,每个作物不协调的地上部可塑性投资并不支持光利用效率的互补性。尽管如此,本研究获得的机制理解可能会改善中西部地区的作物品种和间作设计,以提高产量。