Suppr超能文献

基于人支气管上皮转录组的严重哮喘患者免疫浸润相关分子标志物的鉴定:全面的生物信息学分析。

Identification of Molecular Markers Related to Immune Infiltration in Patients with Severe Asthma: A Comprehensive Bioinformatics Analysis Based on the Human Bronchial Epithelial Transcriptome.

机构信息

Shenzhen Hospital of Integrated Traditional Chinese and Western Medicine, Shenzhen, China.

The First Affiliated Hospital of Guangzhou University of Chinese Medicine, Guangzhou, China.

出版信息

Dis Markers. 2022 Nov 3;2022:8906064. doi: 10.1155/2022/8906064. eCollection 2022.

Abstract

BACKGROUND

Severe asthma (SA), a heterogeneous inflammatory disease characterized by immune cell infiltration, is particularly difficult to treat and manage. The airway epithelium is an important tissue in regulating innate and adaptive immunity, and targeting airway epithelial cell may contribute to improving the efficacy of asthma therapy.

METHODS

Bioinformatics methods were utilized to identify the hub genes and signaling pathways involved in SA. Experiments were performed to determine whether these hub genes and signaling pathways were affected by the differences in immune cell infiltration.

RESULTS

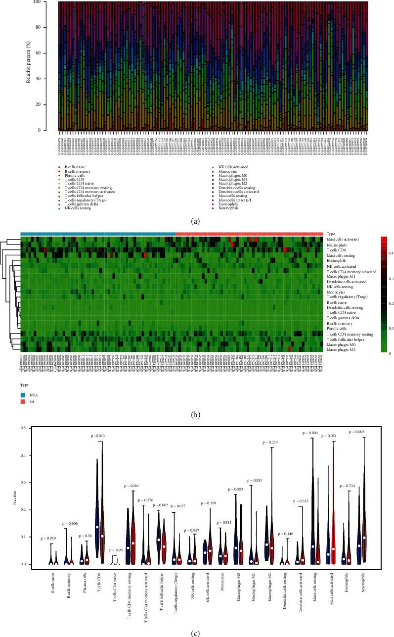
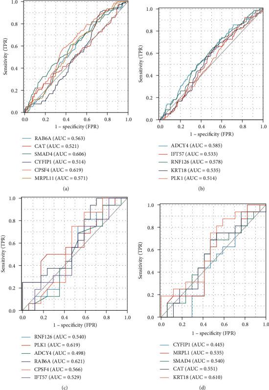
The weighted gene coexpression network analysis identified 14 coexpression modules, among which the blue and salmon modules exhibited the strongest associations with SA. The blue module was mainly enriched in actomyosin structure organization and was associated with regulating stem cell pluripotency signaling pathways. The salmon module was mainly involved in cornification, skin development, and glycosphingolipid biosynthesis-lacto and neolacto series. The protein-protein interaction network and module analysis identified 11 hub genes in the key modules. The CIBERSORTx algorithm revealed statistically significant differences in CD8+ T cells ( = 0.013), T follicular helper cells ( = 0.002), resting mast cells ( = 0.004), and neutrophils ( = 0.002) between patients with SA and mild-moderate asthma patients. Pearson's correlation analysis identified 11 genes that were significantly associated with a variety of immune cells. We further predicted the utility of some potential drugs and validated our results in external datasets.

CONCLUSION

Our results may help provide a better understanding of the relationship between the airway epithelial transcriptome and clinical data of SA. And this study will help to guide the development of SA-targeted molecular therapy.

摘要

背景

重度哮喘(SA)是一种异质性炎症性疾病,其特征为免疫细胞浸润,尤其难以治疗和管理。气道上皮是调节固有和适应性免疫的重要组织,靶向气道上皮细胞可能有助于提高哮喘治疗的疗效。

方法

利用生物信息学方法鉴定与 SA 相关的枢纽基因和信号通路。通过实验确定这些枢纽基因和信号通路是否受免疫细胞浸润差异的影响。

结果

加权基因共表达网络分析确定了 14 个共表达模块,其中蓝色和鲑鱼模块与 SA 的关联最强。蓝色模块主要富集在肌动球蛋白结构组织中,与调节干细胞多能性信号通路有关。鲑鱼模块主要参与角化、皮肤发育和糖脂生物合成-乳糖和神经乳糖系列。蛋白质-蛋白质相互作用网络和模块分析确定了关键模块中的 11 个枢纽基因。CIBERSORTx 算法显示,在 SA 患者和轻中度哮喘患者之间,CD8+T 细胞( = 0.013)、滤泡辅助 T 细胞( = 0.002)、静止肥大细胞( = 0.004)和中性粒细胞( = 0.002)存在统计学差异。Pearson 相关分析确定了 11 个与多种免疫细胞显著相关的基因。我们进一步预测了一些潜在药物的用途,并在外部数据集验证了我们的结果。

结论

我们的研究结果可能有助于更好地理解气道上皮转录组与 SA 的临床数据之间的关系。本研究将有助于指导针对 SA 的靶向分子治疗的发展。

https://cdn.ncbi.nlm.nih.gov/pmc/blobs/2b92/9649321/02a68529777c/DM2022-8906064.001.jpg

文献AI研究员

20分钟写一篇综述,助力文献阅读效率提升50倍。

立即体验

用中文搜PubMed

大模型驱动的PubMed中文搜索引擎

马上搜索

文档翻译

学术文献翻译模型,支持多种主流文档格式。

立即体验