• 文献检索
  • 文档翻译
  • 深度研究
  • 学术资讯
  • Suppr Zotero 插件Zotero 插件
  • 邀请有礼
  • 套餐&价格
  • 历史记录
应用&插件
Suppr Zotero 插件Zotero 插件浏览器插件Mac 客户端Windows 客户端微信小程序
定价
高级版会员购买积分包购买API积分包
服务
文献检索文档翻译深度研究API 文档MCP 服务
关于我们
关于 Suppr公司介绍联系我们用户协议隐私条款
关注我们

Suppr 超能文献

核心技术专利:CN118964589B侵权必究
粤ICP备2023148730 号-1Suppr @ 2026

文献检索

告别复杂PubMed语法,用中文像聊天一样搜索,搜遍4000万医学文献。AI智能推荐,让科研检索更轻松。

立即免费搜索

文件翻译

保留排版,准确专业,支持PDF/Word/PPT等文件格式,支持 12+语言互译。

免费翻译文档

深度研究

AI帮你快速写综述,25分钟生成高质量综述,智能提取关键信息,辅助科研写作。

立即免费体验

小肠转运时间对视频胶囊内镜评估疑似小肠出血准确性的影响。

Effect of small bowel transit time on accuracy of video capsule endoscopy in evaluating suspected small bowel bleeding.

作者信息

Mohan Nandakumar, Jarrett Simone, Pop Alexander, Rodriguez Daniel, Dudnick Robert

机构信息

Internal Medicine, Einstein Medical Center Philadelphia, Philadelphia, PA 19141, United States.

Division of Gastrointestinal Diseases and Hepatology, Einstein Medical Center Philadelphia, Philadelphia, PA 19141, United States.

出版信息

World J Gastrointest Pharmacol Ther. 2022 Nov 5;13(6):88-95. doi: 10.4292/wjgpt.v13.i6.88.

DOI:10.4292/wjgpt.v13.i6.88
PMID:36405301
原文链接:https://pmc.ncbi.nlm.nih.gov/articles/PMC9669782/
Abstract

BACKGROUND

Obscure small bowel bleeding is defined as gastrointestinal bleeding (GIB) that is unidentifiable with esophagogastroduodenoscopy and a colonoscopy with video capsule endoscopy (VCE) being the next gold standard step for evaluation. Small bowel transit time (SBTT) is a metric of a VCE study that is defined as the time the capsule takes to travel through the small intestine.

AIM

To determine if SBTT within the VCE study, correlates to overall detection of obscure small bowel bleeds. Furthermore, we attempted to identify any existing correlation between SBTT and re-bleeding after a negative VCE study.

METHODS

This is a single center retrospective analysis of VCE studies performed for overt and occult GIB at Einstein Medical Center, Philadelphia, between 2015 and 2019. Inclusion criteria primarily consisted of patients 18 years or older who had a VCE study done as part of the workup for a GIB. Patients with incomplete VCEs, poor preparation, or with less than 6 mo of follow up were excluded. A re-bleeding event was defined either as overt or occult within a 6-mo timeframe. Overt re-bleeding was defined as Visible melena or hematochezia with > 2 gm/dL drop in hemoglobin defined an overt re-bleeding event; whereas an unexplained > 2 gm/dL drop in hemoglobin with no visible bleeding defined an occult re-bleed.

RESULTS

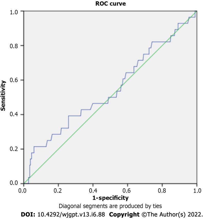
Results indicated that there was a significant and positive point biserial correlation between SBTT of 220 min and detection of a bleeding focus with a statistically significant p value of 0.008. However, the area under the curve was negligible when trying to identify a threshold time for SBTT to discriminate between risk of re-bleeding events after a negative VCE.

CONCLUSION

In terms of SBTT and association with accuracy of VCE finding a bleeding focus, 220 min was found to be adequate transit time to accurately find a bleeding focus, when present. It was found that no threshold SBTT could be identified to help predict re-bleeding after a negative VCE.

摘要

背景

不明原因小肠出血被定义为经食管胃十二指肠镜检查无法明确病因的胃肠道出血(GIB),而视频胶囊内镜检查(VCE)是下一步评估的金标准。小肠传输时间(SBTT)是VCE检查的一项指标,定义为胶囊通过小肠所需的时间。

目的

确定VCE检查中的SBTT是否与不明原因小肠出血的总体检出率相关。此外,我们试图确定SBTT与VCE检查结果为阴性后的再出血之间是否存在相关性。

方法

这是一项对2015年至2019年期间在费城爱因斯坦医疗中心进行的显性和隐匿性GIB的VCE检查进行的单中心回顾性分析。纳入标准主要包括18岁及以上因GIB检查而进行VCE检查的患者。VCE检查不完整、准备不佳或随访时间少于6个月的患者被排除。再出血事件定义为在6个月时间范围内的显性或隐匿性出血。显性再出血定义为可见黑便或便血,血红蛋白下降>2 g/dL定义为显性再出血事件;而无可见出血但血红蛋白原因不明下降>2 g/dL定义为隐匿性再出血。

结果

结果表明,220分钟的SBTT与出血灶的检出之间存在显著的正点二列相关性,统计学显著p值为0.008。然而,在试图确定SBTT的阈值时间以区分VCE检查结果为阴性后的再出血风险时,曲线下面积可忽略不计。

结论

就SBTT与VCE发现出血灶的准确性之间的关联而言,发现220分钟是准确发现出血灶(如果存在)的足够传输时间。发现无法确定阈值SBTT来帮助预测VCE检查结果为阴性后的再出血。

https://cdn.ncbi.nlm.nih.gov/pmc/blobs/80d4/9669782/7ca5930b1742/WJGPT-13-88-g001.jpg
https://cdn.ncbi.nlm.nih.gov/pmc/blobs/80d4/9669782/7ca5930b1742/WJGPT-13-88-g001.jpg
https://cdn.ncbi.nlm.nih.gov/pmc/blobs/80d4/9669782/7ca5930b1742/WJGPT-13-88-g001.jpg

相似文献

1
Effect of small bowel transit time on accuracy of video capsule endoscopy in evaluating suspected small bowel bleeding.小肠转运时间对视频胶囊内镜评估疑似小肠出血准确性的影响。
World J Gastrointest Pharmacol Ther. 2022 Nov 5;13(6):88-95. doi: 10.4292/wjgpt.v13.i6.88.
2
Video Capsule Endoscopy: A Tool for the Assessment of Small Bowel Transit Time.视频胶囊内镜:评估小肠传输时间的工具。
Front Med (Lausanne). 2016 Feb 10;3:6. doi: 10.3389/fmed.2016.00006. eCollection 2016.
3
Risk factors for small bowel bleeding in an overt gastrointestinal bleeding presentation after negative upper and lower endoscopy.在上消化道和下消化道内镜检查均为阴性结果的显性胃肠道出血表现后,小肠出血的风险因素。
PLoS One. 2019 Feb 20;14(2):e0212509. doi: 10.1371/journal.pone.0212509. eCollection 2019.
4
Clinical and demographic features of patients undergoing video-capsule endoscopy management: A descriptive study.接受视频胶囊内镜检查管理的患者的临床和人口统计学特征:一项描述性研究。
World J Gastrointest Endosc. 2024 Jul 16;16(7):424-431. doi: 10.4253/wjge.v16.i7.424.
5
Efficacy of Video Capsule Endoscopy in the Management of Suspected Small Bowel Bleeding in Patients With Continuous Flow Left Ventricular Assist Devices.视频胶囊内镜在连续血流左心室辅助装置患者疑似小肠出血管理中的疗效
Gastroenterology Res. 2017 Oct;10(5):280-287. doi: 10.14740/gr908w. Epub 2017 Oct 26.
6
Validation of SmartPill wireless motility capsule for gastrointestinal transit time: Intra-subject variability, software accuracy and comparison with video capsule endoscopy.智能胶囊无线动力胶囊胃肠道传输时间的验证:个体内变异性、软件准确性以及与视频胶囊内镜的比较。
Neurogastroenterol Motil. 2017 Oct;29(10):1-9. doi: 10.1111/nmo.13107. Epub 2017 May 19.
7
Route selection for double-balloon endoscopy, based on capsule transit time, in obscure gastrointestinal bleeding.基于胶囊通过时间的双气囊内镜检查的路径选择用于不明原因胃肠道出血。
J Gastroenterol. 2010 Jun;45(6):592-9. doi: 10.1007/s00535-010-0202-z. Epub 2010 Feb 3.
8
Impact of inpatient status and gender on small-bowel capsule endoscopy findings.住院状态和性别对小肠胶囊内镜检查结果的影响。
Gastrointest Endosc. 2011 Nov;74(5):1061-6. doi: 10.1016/j.gie.2011.07.019. Epub 2011 Sep 15.
9
Video capsule endoscopy as the initial examination for overt obscure gastrointestinal bleeding can efficiently identify patients who require double-balloon enteroscopy.视频胶囊内镜作为显性不明原因胃肠道出血的初始检查方法,能够有效地识别需要进行双气囊小肠镜检查的患者。
BMC Gastroenterol. 2015 Oct 14;15:132. doi: 10.1186/s12876-015-0362-7.
10
Clinical features of capsule endoscopy in 825 children: A single-center, retrospective cohort study.825例儿童胶囊内镜检查的临床特征:一项单中心回顾性队列研究。
Medicine (Baltimore). 2020 Oct 23;99(43):e22864. doi: 10.1097/MD.0000000000022864.

引用本文的文献

1
Diagnosis of small bowel inflammation using small bowel capsule endoscopy combined with abdominal CT scan.使用小肠胶囊内镜检查联合腹部CT扫描诊断小肠炎症
Endosc Int Open. 2025 Apr 4;13:a25604839. doi: 10.1055/a-2560-4839. eCollection 2025.
2
Clinical and demographic features of patients undergoing video-capsule endoscopy management: A descriptive study.接受视频胶囊内镜检查管理的患者的临床和人口统计学特征:一项描述性研究。
World J Gastrointest Endosc. 2024 Jul 16;16(7):424-431. doi: 10.4253/wjge.v16.i7.424.
3
Capsule Enteroscopy Using the Mirocam versus OMOM Systems: A Matched Case-Control Study.

本文引用的文献

1
Negative Video Capsule Endoscopy Had a High Negative Predictive Value for Small Bowel Lesions, but Diagnostic Capability May Be Lower in Young Patients with Overt Bleeding.阴性视频胶囊内镜对小肠病变具有较高的阴性预测值,但对于显性出血的年轻患者,其诊断能力可能较低。
Can J Gastroenterol Hepatol. 2021 May 7;2021:8825123. doi: 10.1155/2021/8825123. eCollection 2021.
2
Defining gastrointestinal transit time using video capsule endoscopy: a study of healthy subjects.使用视频胶囊内镜定义胃肠道转运时间:一项针对健康受试者的研究。
Endosc Int Open. 2020 Mar;8(3):E396-E400. doi: 10.1055/a-1073-7653. Epub 2020 Feb 21.
3
Reflection on modern methods: Revisiting the area under the ROC Curve.
使用Mirocam与OMOM系统的胶囊内镜检查:一项配对病例对照研究。
Life (Basel). 2023 Aug 25;13(9):1809. doi: 10.3390/life13091809.
4
Use of Simethicone After Capsule Ingestion and Its Impact on the Quality of Small Bowel Video Capsule Endoscopy: A Pilot Study.吞服胶囊后使用西甲硅油及其对小肠视频胶囊内镜检查质量的影响:一项初步研究。
Cureus. 2023 Feb 22;15(2):e35307. doi: 10.7759/cureus.35307. eCollection 2023 Feb.
对现代方法的反思:重新审视 ROC 曲线下面积。
Int J Epidemiol. 2020 Aug 1;49(4):1397-1403. doi: 10.1093/ije/dyz274.
4
Re-bleeding and its predictors after capsule endoscopy in patients with obscure gastrointestinal bleeding in long-term follow-up.胶囊内镜检查后长期随访中不明原因胃肠道出血患者的再出血及其预测因素。
BMC Gastroenterol. 2019 Dec 16;19(1):216. doi: 10.1186/s12876-019-1137-3.
5
Small bowel capsule endoscopy: Indications, results, and clinical benefit in a University environment.小肠胶囊内镜检查:大学环境中的适应证、结果及临床益处
Medicine (Baltimore). 2018 Apr;97(14):e0148. doi: 10.1097/MD.0000000000010148.
6
Long-term effects of video capsule endoscopy in the management of obscure gastrointestinal bleeding.视频胶囊内镜在不明原因消化道出血管理中的长期效果。
Ann Transl Med. 2017 May;5(9):196. doi: 10.21037/atm.2017.03.80.
7
Implications of small-bowel transit time in the detection rate of capsule endoscopy: A multivariable multicenter study of patients with obscure gastrointestinal bleeding.小肠转运时间对胶囊内镜检出率的影响:一项针对不明原因胃肠道出血患者的多变量多中心研究。
World J Gastroenterol. 2017 Jan 28;23(4):697-702. doi: 10.3748/wjg.v23.i4.697.
8
Clinical outcomes of negative small-bowel capsule endoscopy for small-bowel bleeding: a systematic review and meta-analysis.小肠出血阴性小肠胶囊内镜检查的临床结果:一项系统评价和荟萃分析。
Gastrointest Endosc. 2017 Feb;85(2):305-317.e2. doi: 10.1016/j.gie.2016.08.027. Epub 2016 Sep 2.
9
ACG Clinical Guideline: Diagnosis and Management of Small Bowel Bleeding.美国胃肠病学会临床指南:小肠出血的诊断与管理
Am J Gastroenterol. 2015 Sep;110(9):1265-87; quiz 1288. doi: 10.1038/ajg.2015.246. Epub 2015 Aug 25.
10
Video capsule endoscopy: perspectives of a revolutionary technique.视频胶囊内镜检查:一项革命性技术的展望
World J Gastroenterol. 2014 Dec 14;20(46):17330-44. doi: 10.3748/wjg.v20.i46.17330.