Suppr超能文献

细胞内在持续时间编码记忆痕迹的形成与激活的定量特性。

Quantitative properties of the creation and activation of a cell-intrinsic duration-encoding engram.

作者信息

Gallistel Charles Randy, Johansson Fredrik, Jirenhed Dan-Anders, Rasmussen Anders, Ricci Matthew, Hesslow Germund

机构信息

Rutgers Center for Cognitive Science, Piscataway, NJ, United States.

Department of Experimental Medical Science, Faculty of Medicine, Lund University, Lund, Sweden.

出版信息

Front Comput Neurosci. 2022 Nov 3;16:1019812. doi: 10.3389/fncom.2022.1019812. eCollection 2022.

Abstract

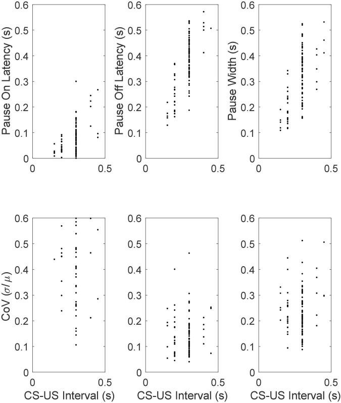
The engram encoding the interval between the conditional stimulus (CS) and the unconditional stimulus (US) in eyeblink conditioning resides within a small population of cerebellar Purkinje cells. CSs activate this engram to produce a pause in the spontaneous firing rate of the cell, which times the CS-conditional blink. We developed a Bayesian algorithm that finds pause onsets and offsets in the records from individual CS-alone trials. We find that the pause consists of a single unusually long interspike interval. Its onset and offset latencies and their trial-to-trial variability are proportional to the CS-US interval. The coefficient of variation (CoV = σ/μ) are comparable to the CoVs for the conditional eye blink. The average trial-to-trial correlation between the onset latencies and the offset latencies is close to 0, implying that the onsets and offsets are mediated by two stochastically independent readings of the engram. The onset of the pause is step-like; there is no decline in firing rate between the onset of the CS and the onset of the pause. A single presynaptic spike volley suffices to trigger the reading of the engram; and the pause parameters are unaffected by subsequent volleys. The Fano factors for trial-to-trial variations in the distribution of interspike intervals within the intertrial intervals indicate pronounced non-stationarity in the endogenous spontaneous spiking rate, on which the CS-triggered firing pause supervenes. These properties of the spontaneous firing and of the engram read out may prove useful in finding the cell-intrinsic, molecular-level structure that encodes the CS-US interval.

摘要

在眨眼条件反射中,编码条件刺激(CS)与非条件刺激(US)之间间隔的记忆痕迹存在于一小群小脑浦肯野细胞中。CS激活此记忆痕迹,使细胞的自发放电率产生暂停,该暂停为CS条件性眨眼计时。我们开发了一种贝叶斯算法,可在单个仅呈现CS的试验记录中找到暂停的起始点和终止点。我们发现,该暂停由单个异常长的峰间间隔组成。其起始和终止潜伏期及其试验间变异性与CS-US间隔成正比。变异系数(CoV = σ/μ)与条件性眨眼的变异系数相当。起始潜伏期和终止潜伏期之间的平均试验间相关性接近0,这意味着起始点和终止点是由对记忆痕迹的两次随机独立读取介导的。暂停的起始是阶梯状的;在CS起始到暂停起始之间的放电率没有下降。单个突触前峰电位足以触发对记忆痕迹的读取;并且暂停参数不受后续峰电位的影响。试验间间隔内峰间间隔分布的试验间变化的Fano因子表明内源性自发放电率存在明显的非平稳性,CS触发的放电暂停叠加于此之上。自发放电和读出的记忆痕迹的这些特性可能有助于找到编码CS-US间隔的细胞内在分子水平结构。

https://cdn.ncbi.nlm.nih.gov/pmc/blobs/8900/9669310/87164ae2584b/fncom-16-1019812-g001.jpg

文献AI研究员

20分钟写一篇综述,助力文献阅读效率提升50倍。

立即体验

用中文搜PubMed

大模型驱动的PubMed中文搜索引擎

马上搜索

文档翻译

学术文献翻译模型,支持多种主流文档格式。

立即体验