Suppr超能文献

SMART 工作与生活干预降低久坐时间的成本效益。

The Cost-Effectiveness of the SMART Work & Life Intervention for Reducing Sitting Time.

机构信息

Centre for Health Economics, University of York, York YO10 5DD, UK.

Diabetes Research Centre, University of Leicester, Leicester General Hospital, Leicester, LE5 4PW, UK.

出版信息

Int J Environ Res Public Health. 2022 Nov 11;19(22):14861. doi: 10.3390/ijerph192214861.

Abstract

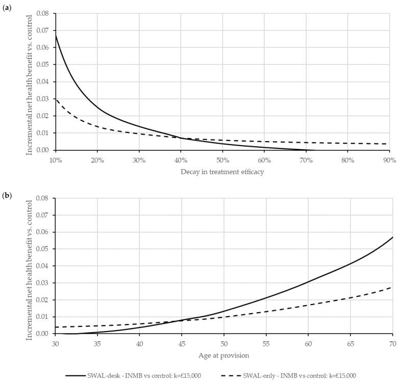
Sedentary behaviours continue to increase and are associated with heightened risks of morbidity and mortality. We assessed the cost-effectiveness of SMART Work & Life (SWAL), an intervention designed to reduce sitting time inside and outside of work, both with (SWAL-desk) and without (SWAL-only) a height-adjustable workstation compared to usual practice (control) for UK office workers. Health outcomes were assessed in quality-adjusted life-years (QALY) and costs in pound sterling (2019-2020). Discounted costs and QALYs were estimated using regression methods with multiply imputed data from the SMART Work & Life trial. Absenteeism, productivity and wellbeing measures were also evaluated. The average cost of SWAL-desk was £228.31 and SWAL-only £80.59 per office worker. Within the trial, SWAL-only was more effective and costly compared to control (incremental cost-effectiveness ratio (ICER): £12,091 per QALY) while SWAL-desk was dominated (least effective and most costly). However, over a lifetime horizon, both SWAL-only and SWAL-desk were more effective and more costly than control. Comparing SWAL-only to control generated an ICER of £4985 per QALY. SWAL-desk was more effective and costly than SWAL-only, generating an ICER of £13,378 per QALY. Findings were sensitive to various worker, intervention, and extrapolation-related factors. Based on a lifetime horizon, SWAL interventions appear cost-effective for office-workers conditional on worker characteristics, intervention cost and longer-term maintenance in sitting time reductions.

摘要

久坐行为持续增加,并与发病率和死亡率的升高相关。我们评估了 SMART Work & Life(SWAL)的成本效益,该干预措施旨在减少工作内外的久坐时间,包括带有(SWAL-desk)和不带有(SWAL-only)可调节高度工作站的干预措施,与常规做法(对照组)相比,用于英国上班族。健康结果以质量调整生命年(QALY)评估,成本以英镑(2019-2020 年)计。使用 SMART Work & Life 试验中多重插补数据的回归方法估计了贴现成本和 QALYs。还评估了旷工、生产力和幸福感指标。SWAL-desk 的平均成本为每位上班族 228.31 英镑,SWAL-only 为 80.59 英镑。在试验中,与对照组相比,SWAL-only 更有效且成本更高(增量成本效益比(ICER):每 QALY 12091 英镑),而 SWAL-desk 则处于劣势(效果最差且成本最高)。然而,在终身范围内,SWAL-only 和 SWAL-desk 都比对照组更有效且成本更高。将 SWAL-only 与对照组进行比较,每 QALY 的 ICER 为 4985 英镑。SWAL-desk 比 SWAL-only 更有效且成本更高,每 QALY 的 ICER 为 13378 英镑。研究结果对各种工人、干预和外推相关因素敏感。基于终身范围,如果考虑工人特征、干预成本和久坐时间减少的长期维持,SWAL 干预措施对上班族来说具有成本效益。

https://cdn.ncbi.nlm.nih.gov/pmc/blobs/72b0/9690649/622fdf2f3212/ijerph-19-14861-g001.jpg

文献AI研究员

20分钟写一篇综述,助力文献阅读效率提升50倍。

立即体验

用中文搜PubMed

大模型驱动的PubMed中文搜索引擎

马上搜索

文档翻译

学术文献翻译模型,支持多种主流文档格式。

立即体验