De Bon Francesco, Azevedo Inês M, Ribeiro Diana C M, Rebelo Rafael C, Coelho Jorge F J, Serra Arménio C
Department of Chemical Engineering, Centre for Mechanical Engineering, Materials and Processes, University of Coimbra, Rua Sílvio Lima-Pólo II, 3030-790 Coimbra, Portugal.
Polymers (Basel). 2022 Nov 17;14(22):4981. doi: 10.3390/polym14224981.
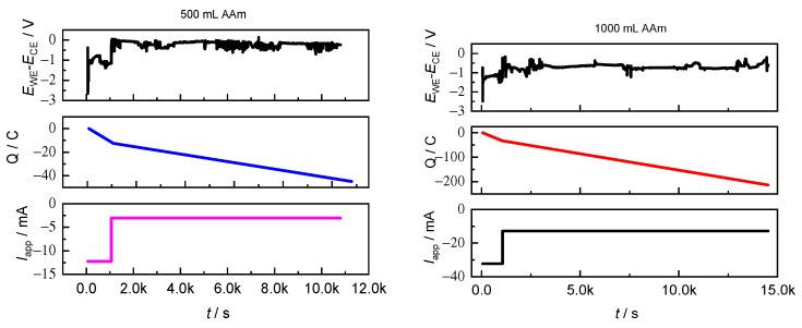
Electrochemically mediated atom transfer radical polymerization (ATRP) is developed in dispersion conditions to assist the preparation of cellulose-based films. Self-degassing conditions are achieved by the addition of sodium pyruvate (SP) as a ROS scavenger, while an aluminum counter electrode provides a simplified and more cost-effective electrochemical setup. Different polyacrylamides were grown on a model cellulose substrate which was previously esterified with 2-bromoisobutyrate (-BriB), serving as initiator groups. Small-scale polymerizations (15 mL) provided optimized conditions to pursue the scale-up up to 1000 mL (scale-up factor ~67). Cellulose-poly(-isopropylacrylamide) was then chosen to prepare the tunable, thermoresponsive, solvent-free, and flexible films through a dissolution/regeneration method. The produced films were characterized by Fourier-transform infrared (FTIR), scanning electron microscopy (SEM), dynamic scanning calorimetry (DSC), and thermogravimetric analysis (TGA).
在分散条件下开发了电化学介导的原子转移自由基聚合(ATRP),以辅助制备纤维素基薄膜。通过添加丙酮酸钠(SP)作为活性氧清除剂实现自脱气条件,而铝对电极提供了一种简化且更具成本效益的电化学装置。不同的聚丙烯酰胺在先前用2-溴异丁酸酯(-BriB)酯化的模型纤维素底物上生长,该底物用作引发基团。小规模聚合反应(15毫升)提供了优化条件,以实现扩大至1000毫升(放大因子约为67)的规模。然后选择纤维素-聚(-异丙基丙烯酰胺)通过溶解/再生方法制备可调节、热响应、无溶剂且柔性的薄膜。通过傅里叶变换红外光谱(FTIR)、扫描电子显微镜(SEM)、动态扫描量热法(DSC)和热重分析(TGA)对所制备的薄膜进行了表征。