• 文献检索
  • 文档翻译
  • 深度研究
  • 学术资讯
  • Suppr Zotero 插件Zotero 插件
  • 邀请有礼
  • 套餐&价格
  • 历史记录
应用&插件
Suppr Zotero 插件Zotero 插件浏览器插件Mac 客户端Windows 客户端微信小程序
定价
高级版会员购买积分包购买API积分包
服务
文献检索文档翻译深度研究API 文档MCP 服务
关于我们
关于 Suppr公司介绍联系我们用户协议隐私条款
关注我们

Suppr 超能文献

核心技术专利:CN118964589B侵权必究
粤ICP备2023148730 号-1Suppr @ 2026

文献检索

告别复杂PubMed语法,用中文像聊天一样搜索,搜遍4000万医学文献。AI智能推荐,让科研检索更轻松。

立即免费搜索

文件翻译

保留排版,准确专业,支持PDF/Word/PPT等文件格式,支持 12+语言互译。

免费翻译文档

深度研究

AI帮你快速写综述,25分钟生成高质量综述,智能提取关键信息,辅助科研写作。

立即免费体验

用于无线通信系统和便携式设备的电子可重构共形三频天线。

Electronically reconfigurable and conformal triband antenna for wireless communications systems and portable devices.

机构信息

Department of Electrical Engineering, Bahria University, Islamabad Campus, Islamabad, Pakistan.

Faculty of Aviation Sciences, Amman Arab University, Amman, Jordan.

出版信息

PLoS One. 2022 Dec 1;17(12):e0276922. doi: 10.1371/journal.pone.0276922. eCollection 2022.

DOI:10.1371/journal.pone.0276922
PMID:36454808
原文链接:https://pmc.ncbi.nlm.nih.gov/articles/PMC9714694/
Abstract

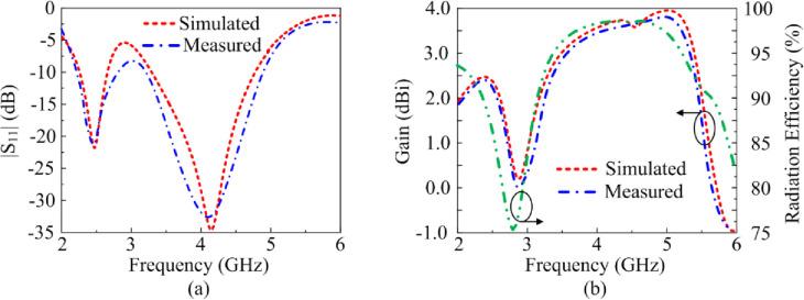
This paper presents the design of a triband antenna that can be electronically configured to operate at different frequencies. The proposed antenna is design to operate at sub-6GHz bands at 2.45 GHz (ISM, Wi-Fi, and WLAN), 3.3, 3.5 & 3.9 GHz (WiMAX), and 4.1 & 4.9 GHz (4G & 5G). This is achieved by connecting two open-ended stubs to a modified triangular patch radiator using PIN diodes. The antenna's performance was optimized using a 3D electromagnetic solver and its performance was verified through measurements. Moreover, the conformal analysis done on the antenna shows that the proposed technique can be used in moderately flexible wireless devices without compromising the antenna's gain, radiation efficiency and radiation patterns. These characteristics makes the proposed antenna applicable for various wireless communication systems and devices.

摘要

本文提出了一种可通过电子配置在不同频率下工作的三频天线设计。所提出的天线设计用于在低于 6GHz 的频段工作,工作频率分别为 2.45GHz(ISM、Wi-Fi 和 WLAN)、3.3GHz、3.5GHz 和 3.9GHz(WiMAX)以及 4.1GHz 和 4.9GHz(4G 和 5G)。这是通过使用 PIN 二极管将两个开路短截线连接到改进的三角形贴片辐射器来实现的。使用三维电磁场求解器对天线的性能进行了优化,并通过测量对其性能进行了验证。此外,对天线进行的共形分析表明,所提出的技术可用于中等柔性无线设备,而不会影响天线的增益、辐射效率和辐射模式。这些特性使得所提出的天线适用于各种无线通信系统和设备。

https://cdn.ncbi.nlm.nih.gov/pmc/blobs/7f7d/9714694/e70344239c08/pone.0276922.g014.jpg
https://cdn.ncbi.nlm.nih.gov/pmc/blobs/7f7d/9714694/0948cc7242eb/pone.0276922.g001.jpg
https://cdn.ncbi.nlm.nih.gov/pmc/blobs/7f7d/9714694/2d9c1d994dec/pone.0276922.g002.jpg
https://cdn.ncbi.nlm.nih.gov/pmc/blobs/7f7d/9714694/60d6010d093c/pone.0276922.g003.jpg
https://cdn.ncbi.nlm.nih.gov/pmc/blobs/7f7d/9714694/eb6d0c07e193/pone.0276922.g004.jpg
https://cdn.ncbi.nlm.nih.gov/pmc/blobs/7f7d/9714694/f65eca4f6869/pone.0276922.g005.jpg
https://cdn.ncbi.nlm.nih.gov/pmc/blobs/7f7d/9714694/3d35ac63892d/pone.0276922.g006.jpg
https://cdn.ncbi.nlm.nih.gov/pmc/blobs/7f7d/9714694/b2361a692a11/pone.0276922.g007.jpg
https://cdn.ncbi.nlm.nih.gov/pmc/blobs/7f7d/9714694/d1d9f8ca57fd/pone.0276922.g008.jpg
https://cdn.ncbi.nlm.nih.gov/pmc/blobs/7f7d/9714694/758fb8c72929/pone.0276922.g009.jpg
https://cdn.ncbi.nlm.nih.gov/pmc/blobs/7f7d/9714694/f7ba34799679/pone.0276922.g010.jpg
https://cdn.ncbi.nlm.nih.gov/pmc/blobs/7f7d/9714694/2d7c3cdea578/pone.0276922.g011.jpg
https://cdn.ncbi.nlm.nih.gov/pmc/blobs/7f7d/9714694/4a90678f941e/pone.0276922.g012.jpg
https://cdn.ncbi.nlm.nih.gov/pmc/blobs/7f7d/9714694/2bfbbebdeede/pone.0276922.g013.jpg
https://cdn.ncbi.nlm.nih.gov/pmc/blobs/7f7d/9714694/e70344239c08/pone.0276922.g014.jpg
https://cdn.ncbi.nlm.nih.gov/pmc/blobs/7f7d/9714694/0948cc7242eb/pone.0276922.g001.jpg
https://cdn.ncbi.nlm.nih.gov/pmc/blobs/7f7d/9714694/2d9c1d994dec/pone.0276922.g002.jpg
https://cdn.ncbi.nlm.nih.gov/pmc/blobs/7f7d/9714694/60d6010d093c/pone.0276922.g003.jpg
https://cdn.ncbi.nlm.nih.gov/pmc/blobs/7f7d/9714694/eb6d0c07e193/pone.0276922.g004.jpg
https://cdn.ncbi.nlm.nih.gov/pmc/blobs/7f7d/9714694/f65eca4f6869/pone.0276922.g005.jpg
https://cdn.ncbi.nlm.nih.gov/pmc/blobs/7f7d/9714694/3d35ac63892d/pone.0276922.g006.jpg
https://cdn.ncbi.nlm.nih.gov/pmc/blobs/7f7d/9714694/b2361a692a11/pone.0276922.g007.jpg
https://cdn.ncbi.nlm.nih.gov/pmc/blobs/7f7d/9714694/d1d9f8ca57fd/pone.0276922.g008.jpg
https://cdn.ncbi.nlm.nih.gov/pmc/blobs/7f7d/9714694/758fb8c72929/pone.0276922.g009.jpg
https://cdn.ncbi.nlm.nih.gov/pmc/blobs/7f7d/9714694/f7ba34799679/pone.0276922.g010.jpg
https://cdn.ncbi.nlm.nih.gov/pmc/blobs/7f7d/9714694/2d7c3cdea578/pone.0276922.g011.jpg
https://cdn.ncbi.nlm.nih.gov/pmc/blobs/7f7d/9714694/4a90678f941e/pone.0276922.g012.jpg
https://cdn.ncbi.nlm.nih.gov/pmc/blobs/7f7d/9714694/2bfbbebdeede/pone.0276922.g013.jpg
https://cdn.ncbi.nlm.nih.gov/pmc/blobs/7f7d/9714694/e70344239c08/pone.0276922.g014.jpg

相似文献

1
Electronically reconfigurable and conformal triband antenna for wireless communications systems and portable devices.用于无线通信系统和便携式设备的电子可重构共形三频天线。
PLoS One. 2022 Dec 1;17(12):e0276922. doi: 10.1371/journal.pone.0276922. eCollection 2022.
2
A Frequency-Reconfigurable Filtenna for GSM, 4G-LTE, ISM, and 5G-Sub 6 GHz Band Applications.一种用于GSM、4G-LTE、ISM和5G-低于6GHz频段应用的频率可重构滤波天线。
Sensors (Basel). 2022 Jul 25;22(15):5558. doi: 10.3390/s22155558.
3
A Conformal Frequency Reconfigurable Antenna with Multiband and Wideband Characteristics.一种具有多频段和宽带特性的共形频率可重构天线。
Sensors (Basel). 2022 Mar 29;22(7):2601. doi: 10.3390/s22072601.
4
A Conformal Tri-Band Antenna for Flexible Devices and Body-Centric Wireless Communications.一种用于柔性设备和人体中心无线通信的共形三频段天线。
Micromachines (Basel). 2023 Sep 27;14(10):1842. doi: 10.3390/mi14101842.
5
A Low Profile Ultra-Wideband Antenna with Reconfigurable Notch Band Characteristics for Smart Electronic Systems.一种用于智能电子系统的具有可重构陷波频段特性的低剖面超宽带天线。
Micromachines (Basel). 2022 Oct 22;13(11):1803. doi: 10.3390/mi13111803.
6
A Low-Profile Antenna for On-Body and Off-Body Applications in the Lower and Upper ISM and WLAN Bands.一种用于中低频工业、科学和医疗频段以及无线局域网频段的体内和体外应用的低剖面天线。
Sensors (Basel). 2023 Jan 8;23(2):709. doi: 10.3390/s23020709.
7
A New CPW-Fed Semicircular Inverted Triangular Shaped Antenna Based on Mixed-Alternate Approach for 5G Millimeter-Wave Wireless Applications.一种基于混合交替方法的新型共面波导馈电半圆形倒三角形天线,用于5G毫米波无线应用。
Micromachines (Basel). 2023 Jan 15;14(1):220. doi: 10.3390/mi14010220.
8
A novel quadband ultra miniaturized planar antenna with metallic vias and defected ground structure for portable devices.一种用于便携式设备的带有金属过孔和缺陷接地结构的新型四频段超小型平面天线。
Heliyon. 2021 Mar 23;7(3):e06373. doi: 10.1016/j.heliyon.2021.e06373. eCollection 2021 Mar.
9
Engineering planar antenna using geometry arrangements for wireless communications and satellite applications.利用几何结构设计用于无线通信和卫星应用的平面天线。
Sci Rep. 2023 Nov 6;13(1):19196. doi: 10.1038/s41598-023-46400-9.
10
A dual-band CPW-fed miniature planar antenna for S-, C-, WiMAX, WLAN, UWB, and X-band applications.一种用于S波段、C波段、WiMAX、WLAN、UWB和X波段应用的双频段共面波导馈电微型平面天线。
Sci Rep. 2022 May 9;12(1):7584. doi: 10.1038/s41598-022-11679-7.

引用本文的文献

1
Miniaturised implantable circular polarized antenna with a high ARBW.具有高轴比带宽的小型化植入式圆极化天线。
PLoS One. 2025 May 7;20(5):e0321670. doi: 10.1371/journal.pone.0321670. eCollection 2025.
2
Development of flexible durable multi-slotted antenna for wearable applications.用于可穿戴应用的柔性耐用多槽天线的开发。
Heliyon. 2024 Nov 21;10(23):e40627. doi: 10.1016/j.heliyon.2024.e40627. eCollection 2024 Dec 15.
3
Dual-band MIMO antenna with low mutual coupling for 2.4/5.8 GHz communication and wearable technologies.

本文引用的文献

1
Design and Experimental Analysis of Multiband Frequency Reconfigurable Antenna for 5G and Sub-6 GHz Wireless Communication.用于5G和低于6GHz无线通信的多频段频率可重构天线的设计与实验分析
Micromachines (Basel). 2020 Dec 30;12(1):32. doi: 10.3390/mi12010032.
用于 2.4/5.8GHz 通信和可穿戴技术的双频 MIMO 天线,具有低互耦。
PLoS One. 2024 Apr 17;19(4):e0301924. doi: 10.1371/journal.pone.0301924. eCollection 2024.
4
A parasitic patch loaded staircase shaped UWB MIMO antenna having notch band for WBAN applications.一种用于无线体域网(WBAN)应用的具有陷波频段的寄生贴片加载阶梯形超宽带多输入多输出(UWB MIMO)天线。
Heliyon. 2023 Dec 17;10(1):e23711. doi: 10.1016/j.heliyon.2023.e23711. eCollection 2024 Jan 15.
5
Single iterated fractal inspired UWB antenna with reconfigurable notch bands for compact electronics.具有可重构陷波频段的单迭代分形启发式超宽带天线,用于紧凑型电子设备。
Heliyon. 2023 Oct 24;9(11):e21419. doi: 10.1016/j.heliyon.2023.e21419. eCollection 2023 Nov.
6
Quad-port MIMO antenna with high isolation characteristics for sub 6-GHz 5G NR communication.用于低于6GHz 5G NR通信的具有高隔离特性的四端口MIMO天线。
Sci Rep. 2023 Nov 4;13(1):19088. doi: 10.1038/s41598-023-46413-4.
7
A Conformal Tri-Band Antenna for Flexible Devices and Body-Centric Wireless Communications.一种用于柔性设备和人体中心无线通信的共形三频段天线。
Micromachines (Basel). 2023 Sep 27;14(10):1842. doi: 10.3390/mi14101842.
8
A new tunable bandstop filter square-ring resonator using varactor diodes.一种使用变容二极管的新型可调带阻滤波器方环谐振器。
PLoS One. 2023 Sep 1;18(9):e0290979. doi: 10.1371/journal.pone.0290979. eCollection 2023.
9
Miniaturized On-Ground 2.4 GHz IoT LTCC Chip Antenna and Its Positioning on a Ground Plane.地面 2.4GHz IoT LTCC 芯片微型天线及其在接地平面上的定位。
Sensors (Basel). 2023 Mar 10;23(6):3007. doi: 10.3390/s23063007.
10
Design and Analysis of Circular Polarized Two-Port MIMO Antennas with Various Antenna Element Orientations.具有不同天线单元取向的圆极化双端口多输入多输出天线的设计与分析
Micromachines (Basel). 2023 Feb 3;14(2):380. doi: 10.3390/mi14020380.