Suppr超能文献

基于电机电流特征分析的齿轮电机系统缺油润滑新型诊断技术。

Novel Diagnosis Technologies for a Lack of Oil Lubrication in Gearmotor Systems, Based on Motor Current Signature Analysis.

机构信息

Department of Engineering and Technology, School of Computing and Engineering, The University of Huddersfield, Huddersfield HD1 3DH, UK.

Daifuku Airport Technologies, Sutton Road, Hull HU7 0DR, UK.

出版信息

Sensors (Basel). 2022 Dec 5;22(23):9507. doi: 10.3390/s22239507.

Abstract

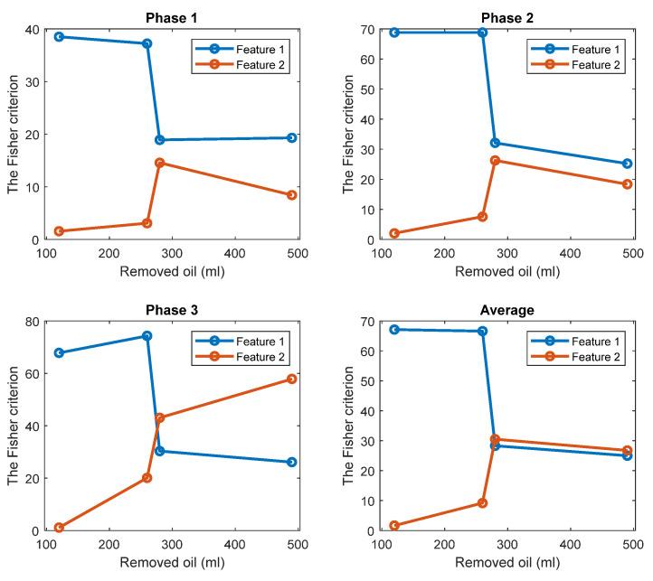
Due to the wide use of gearmotor systems in industry, many diagnostic techniques have been developed/employed to prevent their failures. An insufficient lubrication of gearboxes of these machines could shorten their life and lead to catastrophic failures and losses, making it important to ensure a required lubrication level. For the first time in worldwide terms, this paper proposed to diagnose a lack of gearbox oil lubrication using motor current signature analysis (MCSA). This study proposed, investigated, and experimentally validated two new technologies to diagnose a lack of lubrication of gear motor systems based on MCSA. Two new diagnostic features were extracted from the current signals of a three-phase induction motor. The effectiveness of the proposed technologies was evaluated for different gear lubrication levels and was compared for three phases of motor current signals and for a case of averaging the proposed diagnostic features over three phases. The results confirmed a high effectiveness of the proposed technologies for diagnosing a lack of oil lubrication in gearmotor systems. Other contributions were as follows: (i) it was shown for the first time in worldwide terms, that the motor current nonlinearity level increases with the reduction of the sgearbox oil level; (ii) novel experimental validations of the proposed two diagnostic technologies via comprehensive experimental trials (iii) novel experimental comparisons of the diagnosis effectiveness of the proposed two diagnostic technologies.

摘要

由于齿轮电机系统在工业中的广泛应用,已经开发/采用了许多诊断技术来防止其故障。这些机器的齿轮箱如果润滑不足,会缩短其使用寿命,并导致灾难性的故障和损失,因此确保所需的润滑水平非常重要。本文首次提出使用电机电流特征分析(MCSA)来诊断齿轮箱缺油润滑。本研究提出、研究并通过实验验证了两种基于 MCSA 的诊断齿轮电机系统缺油润滑的新技术。从三相感应电动机的电流信号中提取了两个新的诊断特征。评估了所提出技术在不同齿轮润滑水平下的有效性,并对电机电流信号的三相和平均提出的诊断特征的情况进行了比较。结果证实了所提出技术在诊断齿轮电机系统缺油润滑方面的高度有效性。其他贡献如下:(i)首次在全球范围内表明,随着齿轮箱油位的降低,电机电流的非线性水平会增加;(ii)通过全面的实验试验对所提出的两种诊断技术进行了新颖的实验验证;(iii)对所提出的两种诊断技术的诊断有效性进行了新颖的实验比较。

https://cdn.ncbi.nlm.nih.gov/pmc/blobs/59e0/9736848/5919f2c84f8b/sensors-22-09507-g0A1.jpg

文献AI研究员

20分钟写一篇综述,助力文献阅读效率提升50倍。

立即体验

用中文搜PubMed

大模型驱动的PubMed中文搜索引擎

马上搜索

文档翻译

学术文献翻译模型,支持多种主流文档格式。

立即体验