Suppr超能文献

食用经接种的开菲尔粒的无细胞或热处理部分可带来相应全粒开菲尔的部分而非全部积极影响。

Consumption of the cell-free or heat-treated fractions of a pitched kefir confers some but not all positive impacts of the corresponding whole kefir.

作者信息

Bourrie Benjamin C T, Forgie Andrew J, Ju Tingting, Richard Caroline, Cotter Paul D, Willing Benjamin P

机构信息

Agricultural Food and Nutritional Science, Agriculture/Forestry Center, University of Alberta, Edmonton, AB, Canada.

Teagasc Food Research Centre, Fermoy, Ireland.

出版信息

Front Microbiol. 2022 Nov 24;13:1056526. doi: 10.3389/fmicb.2022.1056526. eCollection 2022.

Abstract

INTRODUCTION

Kefir consumption can have many metabolic health benefits, including, in the case of specific kefirs, improvements in plasma and liver lipid profiles. Our group has previously shown that these health benefits are dependent on the microbial composition of the kefir fermentation, and that a pitched kefir (PK1) containing specific traditional microbes can recapitulate the health benefits of a traditional kefir. In this study we investigated how different preparations of kefir impact cholesterol and lipid metabolism and circulating markers of cardiovascular disease risk and determine if freeze-drying impacts health benefits relative to past studies.

MATERIALS AND METHODS

Eight-week-old male and female C57Bl/6 mice were fed a high fat diet (40% kcal from fat) supplemented with one of 3 freeze-dried kefir preparations (whole kefir, cell-free kefir, or heat-treated kefir) for 8 weeks prior to analysis of plasma and liver lipid profiles, circulating cardiovascular disease (CVD) biomarkers, cecal microbiome composition, and cecal short-chain fatty acid levels. These groups of mice were compared to others that were fed a control low-fat diet, control high fat diet or high fat diet supplemented with milk, respectively.

RESULTS

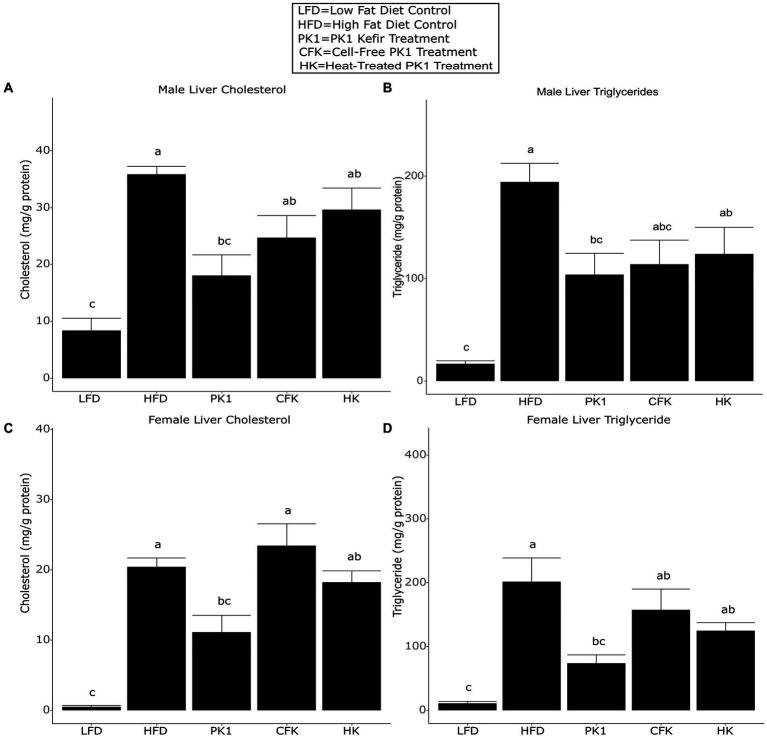
All kefir preparations lowered plasma cholesterol in both male and female mice, while only whole kefir lowered liver cholesterol and triglycerides. Plasma vascular cell adhesion molecule 1 (VCAM-1) was lowered by both whole kefir and heat-treated kefir in male mice but not females, while c-reactive protein (CRP) was unchanged across all high fat diet fed groups in males and females.

CONCLUSION

These results indicate that some of the metabolic benefits of consumption of this kefir do not require whole kefir while also indicating that there are multiple compounds or components responsible for the different benefits observed.

摘要

引言

食用开菲尔对代谢健康有诸多益处,对于特定的开菲尔而言,其益处包括改善血浆和肝脏脂质谱。我们团队此前已表明,这些健康益处取决于开菲尔发酵的微生物组成,并且一种含有特定传统微生物的接种型开菲尔(PK1)能够重现传统开菲尔的健康益处。在本研究中,我们探究了不同制备方式的开菲尔如何影响胆固醇和脂质代谢以及心血管疾病风险的循环标志物,并确定相对于以往研究,冷冻干燥是否会影响健康益处。

材料与方法

8周龄的雄性和雌性C57Bl/6小鼠在分析血浆和肝脏脂质谱、循环心血管疾病(CVD)生物标志物、盲肠微生物群组成以及盲肠短链脂肪酸水平之前,先喂食高脂饮食(40%的热量来自脂肪),并添加3种冷冻干燥的开菲尔制剂之一(全脂开菲尔、无细胞开菲尔或热处理开菲尔),持续8周。将这些小鼠组与分别喂食对照低脂饮食、对照高脂饮食或添加牛奶的高脂饮食的其他小鼠组进行比较。

结果

所有开菲尔制剂均降低了雄性和雌性小鼠的血浆胆固醇,而只有全脂开菲尔降低了肝脏胆固醇和甘油三酯。全脂开菲尔和热处理开菲尔均降低了雄性小鼠的血浆血管细胞黏附分子1(VCAM-1),但雌性小鼠未降低,而在雄性和雌性的所有高脂饮食喂养组中,C反应蛋白(CRP)均未改变。

结论

这些结果表明,食用这种开菲尔的一些代谢益处并不需要全脂开菲尔,同时也表明存在多种化合物或成分导致了所观察到的不同益处。

https://cdn.ncbi.nlm.nih.gov/pmc/blobs/7c8a/9730713/b950e7f17d06/fmicb-13-1056526-g001.jpg

文献AI研究员

20分钟写一篇综述,助力文献阅读效率提升50倍。

立即体验

用中文搜PubMed

大模型驱动的PubMed中文搜索引擎

马上搜索

文档翻译

学术文献翻译模型,支持多种主流文档格式。

立即体验