Suppr超能文献

路边树木生态遮荫对茶园茶叶叶面营养与生物活性成分、昆虫群落多样性及土壤微生物的影响

Impacts of Ecological Shading by Roadside Trees on Tea Foliar Nutritional and Bioactive Components, Community Diversity of Insects and Soil Microbes in Tea Plantation.

作者信息

Zou Yan, Zhong Yanni, Yu Han, Pokharel Sabin Saurav, Fang Wanping, Chen Fajun

机构信息

Department of Entomology, College of Plant Protection, Nanjing Agricultural University, Nanjing 210095, China.

Department of Forest Genetics and Breeding, College of Forestry, Nanjing Forestry University, Nanjing 210037, China.

出版信息

Biology (Basel). 2022 Dec 12;11(12):1800. doi: 10.3390/biology11121800.

Abstract

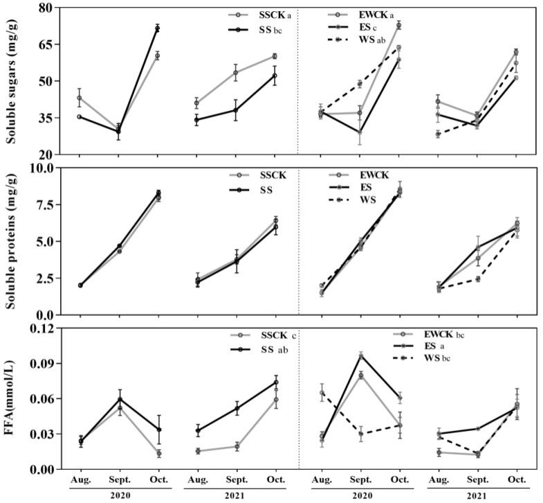
Roadside trees not only add aesthetic appeal to tea plantations, but also serve important ecological purposes for the shaded tea plants. In this study, we selected tea orchards with two access roads, from east to west (EW-road) and from south to north (SN-road), and the roadside trees formed three types of ecological shading of the adjoining tea plants; i.e., south shading (SS) by the roadside trees on the EW-road, and east shading and west shading (ES and WS) by the roadside trees on the SN-road. We studied the impacts of ecological shading by roadside trees on the tea plants, insects, and soil microbes in the tea plantation, by measuring the contents of soluble nutrients, bioactive compounds in the tea, and tea quality indices; and by investigating the population occurrence of key species of insects and calculating insect community indexes, while simultaneously assaying the soil microbiome. The results vividly demonstrated that the shading formed by roadside tree lines on the surrounding tea plantation (SS, ES, and WS) had adverse effects on the concentration of tea soluble sugars but enhanced the foliar contents of bioactive components and improved the overall tea quality, in contrast to the no-shading control tea plants. In addition, the roadside tree lines seemed to be beneficial for the tea plantation, as they reduced pest occurrence, and ES shading enhanced the microbial soil diversity in the rhizosphere of the tea plants.

摘要

路边树木不仅为茶园增添了美学吸引力,还对遮荫下的茶树具有重要的生态作用。在本研究中,我们选择了有两条通路的茶园,一条东西走向(EW路),另一条南北走向(SN路),路边树木对毗邻茶树形成了三种类型的生态遮荫;即EW路上的路边树木形成的南遮荫(SS),以及SN路上的路边树木形成的东遮荫和西遮荫(ES和WS)。我们通过测量茶叶中可溶性养分、生物活性化合物的含量以及茶叶品质指标,研究了路边树木的生态遮荫对茶园中茶树、昆虫和土壤微生物的影响;通过调查关键昆虫物种的种群发生情况并计算昆虫群落指数,同时分析土壤微生物群落。结果清楚地表明,与无遮荫对照茶树相比,茶园周围路边树行形成的遮荫(SS、ES和WS)对茶叶可溶性糖浓度有不利影响,但提高了生物活性成分的叶片含量并改善了茶叶整体品质。此外,路边树行似乎对茶园有益,因为它们减少了害虫的发生,并且ES遮荫增加了茶树根际土壤微生物的多样性。

https://cdn.ncbi.nlm.nih.gov/pmc/blobs/acfb/9775167/2e357c65c2bd/biology-11-01800-g001.jpg

文献AI研究员

20分钟写一篇综述,助力文献阅读效率提升50倍。

立即体验

用中文搜PubMed

大模型驱动的PubMed中文搜索引擎

马上搜索

文档翻译

学术文献翻译模型,支持多种主流文档格式。

立即体验