Suppr超能文献

开放手术与微创手术切除结直肠癌肝转移灶的比较

A Comparison between Open and Minimally Invasive Techniques for the Resection of Colorectal Liver Metastasis.

作者信息

Bartolini Ilenia, Fortuna Laura, Risaliti Matteo, Tirloni Luca, Buccianti Simone, Luceri Cristina, Ringressi Maria Novella, Batignani Giacomo, Taddei Antonio

机构信息

Department of Experimental and Clinical Medicine, AOU Careggi, 50134 Florence, Italy.

Department of Neuroscience, Psychology, Drug Research and Child Health-NEUROFARBA, University of Florence, 50134 Florence, Italy.

出版信息

Healthcare (Basel). 2022 Dec 2;10(12):2433. doi: 10.3390/healthcare10122433.

Abstract

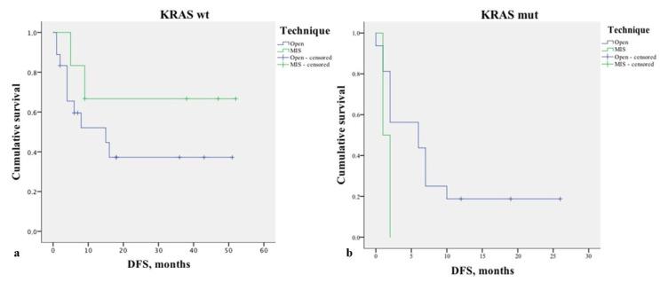
The liver is the most common site of colorectal cancer metastasis. Liver surgery is a cornerstone in treatment, with progressive expansion of minimally invasive surgery (MIS). This study aims to compare short- and long-term outcomes of open surgery and MIS for the treatment of colorectal adenocarcinoma liver metastasis during the first three years of increasing caseload and implementation of MIS use in liver surgery. All patients treated between November 2018 and August 2021 at Careggi Teaching Hospital in Florence, Italy, were prospectively entered into a database and retrospectively reviewed. Fifty-one patients were resected (41 open, 10 MIS). Considering that patients with a significantly higher number of lesions underwent open surgery and operative results were similar, postoperative morbidity rate and length of hospital stay were significantly higher in the open group. No differences were found in the pathological specimen. The postoperative mortality rate was 2%. Mean overall survival and disease-free survival were 46 months (95% CI 42-50) and 22 months (95% CI 15.6-29), respectively. The use of minimally invasive techniques in liver surgery is safe and feasible if surgeons have adequate expertise. MIS and parenchymal sparing resections should be preferred whenever technically feasible.

摘要

肝脏是结直肠癌转移最常见的部位。肝脏手术是治疗的基石,随着微创手术(MIS)的逐步推广。本研究旨在比较在肝脏手术中病例数量增加和开始使用MIS的头三年中,开放手术和MIS治疗结直肠癌肝转移的短期和长期结果。2018年11月至2021年8月期间在意大利佛罗伦萨的卡雷吉教学医院接受治疗的所有患者均被前瞻性地录入数据库并进行回顾性分析。51例患者接受了手术切除(41例开放手术,10例MIS)。考虑到病变数量明显更多的患者接受了开放手术且手术结果相似,开放组的术后发病率和住院时间明显更高。病理标本未发现差异。术后死亡率为2%。平均总生存期和无病生存期分别为46个月(95%CI 42 - 50)和22个月(95%CI 15.6 - 29)。如果外科医生有足够的专业知识,在肝脏手术中使用微创技术是安全可行的。只要技术可行,应优先选择MIS和保留实质的切除术。

https://cdn.ncbi.nlm.nih.gov/pmc/blobs/ff1e/9778157/d9391e545371/healthcare-10-02433-g001.jpg

文献AI研究员

20分钟写一篇综述,助力文献阅读效率提升50倍。

立即体验

用中文搜PubMed

大模型驱动的PubMed中文搜索引擎

马上搜索

文档翻译

学术文献翻译模型,支持多种主流文档格式。

立即体验