Institute of Chemistry, Jan Kochanowski University, PL-25406 Kielce, Poland.
Holy Cross Cancer Center, Tumors Markers Department, PL-25734 Kielce, Poland.
Molecules. 2022 Dec 17;27(24):9013. doi: 10.3390/molecules27249013.
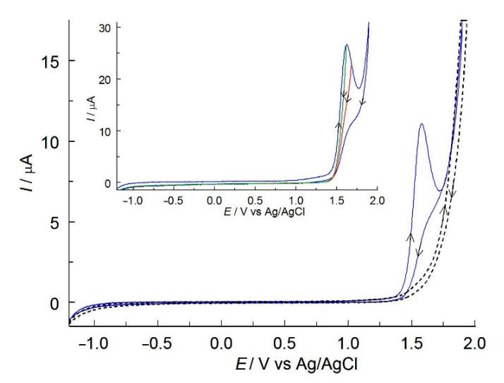
The electrochemical properties of methylisothiazolinone (MIT), the most widely used preservative, were investigated by cyclic (CV) and differential pulse voltammetry (DPV) to develop a new method for its determination. To our knowledge, this is the first demonstration of a voltammetric procedure for the determination of MIT on a boron-doped diamond electrode (BDDE) in a citrate-phosphate buffer (C-PB) environment. The anodic oxidation process of methylisothiazolinone, which is the basis of this method, proved to be diffusion-controlled and proceeded with an irreversible two-electron exchange. The radical cations, as unstable primary products, were converted in subsequent chemical reactions to sulfoxides and sulfones, and finally to more stable final products. Performed determinations were based on the DPV technique. A linear calibration curve was obtained in the concentration range from 0.7 to 18.7 mg L, with a correlation coefficient of 0.9999. The proposed procedure was accurate and precise, allowing the detection of MIT at a concentration level of 0.24 mg L. It successfully demonstrated its suitability for the determination of methylisothiazolinone in household products without the need for any separation steps. The proposed method can serve as an alternative to the prevailing chromatographic determinations of MIT in real samples.
采用循环伏安法(CV)和差分脉冲伏安法(DPV)研究了最广泛使用的防腐剂甲基异噻唑啉酮(MIT)的电化学性质,旨在开发一种新的方法来对其进行检测。据我们所知,这是首次在柠檬酸磷酸盐缓冲液(C-PB)环境中在掺硼金刚石电极(BDDE)上用伏安法程序来检测 MIT。甲基异噻唑啉酮的阳极氧化过程是该方法的基础,证明是扩散控制的,并且是不可逆的双电子交换过程。不稳定的初级产物自由基阳离子随后在化学反应中转化为亚砜和砜,最终转化为更稳定的最终产物。进行的测定是基于 DPV 技术。在浓度范围从 0.7 到 18.7 mg L 时,获得了线性校准曲线,相关系数为 0.9999。所提出的程序准确且精密,允许在 0.24 mg L 的浓度水平下检测到 MIT。它成功地证明了它适用于无需任何分离步骤即可在家用产品中测定甲基异噻唑啉酮。所提出的方法可以替代现行的用于真实样品中 MIT 的色谱测定方法。