Suppr超能文献

XRCC1 Arg194Trp 多态性与头颈部鳞状细胞癌发生风险相关:系统评价和荟萃分析结果。

The XRCC1 Arg194Trp polymorphism was associated with the risk of head and neck squamous cell carcinoma development: Results from a systematic review and meta-analysis.

机构信息

Oral and Maxillofacial Diseases Research Center, Mashhad University of Medical Sciences, Mashhad, Iran.

Department of Biostatistics, School of Public Health, Hamadan University of Medical Sciences, Hamadan, Iran.

出版信息

Cancer Rep (Hoboken). 2023 Mar;6(3):e1776. doi: 10.1002/cnr2.1776. Epub 2022 Dec 27.

Abstract

BACKGROUND

The X-ray repair cross complementing group 1 (XRCC1) is a DNA repair gene. Various studies have examined the association between XRCC1 Arg194Trp polymorphism and head and neck squamous cell carcinoma (HNSCC) susceptibility with contradictory results. So, this systematic review and meta-analysis aimed to assess whether variants of this polymorphism increase the HNSCC risk or not.

RECENT FINDINGS

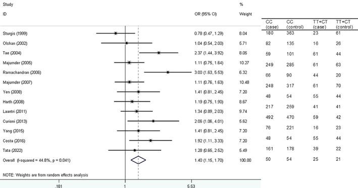
Thirty three studies consisting of 14282 subjects (6012 cases and 8270 controls) were included in this meta-analysis. Variants of XRCC1 Arg194Trp polymorphism were associated with increased HNSCC risk and the associations were significant based on heterozygous and dominant models (heterozygous model: OR = 1.182, 95%CI = 1.015-1.377, P = 0.032; homozygous model: OR = 1.274, 95%CI = 0.940-1.727, P = 0.119; dominant model: OR = 1.194, 95%CI = 1.027-1.388, P = 0.021; recessive model: OR = 1.181, 95%CI = 0.885-1.576, P = 0.119). There were significant associations between variants of this polymorphism and HNSCC risk based on Asian ethnicity under dominant model, hospital control source under different genetic models, PCR-RFLP genotyping method under dominant model and oral cavity tumor site under heterozygous and dominant models.

OBJECTIVE

The X-ray repair cross complementing group 1 (XRCC1) is a DNA repair gene. Various studies have examined the association between XRCC1 Arg194Trp polymorphism and head and neck squamous cell carcinoma (HNSCC) susceptibility with contradictory results. So, this systematic review and meta-analysis aimed to assess whether variants of this polymorphism increase the HNSCC risk or not.

METHODS

A systematic search of the literatures published till April 2022 was conducted using Google Scholar, Scopus, PubMed, Web of Science, Cochrane Library and Embase databases. The heterogeneity was assessed with the I-Square statistic. A random effects model or fixed effects model was used to analyze the data. Data were reported by odds ratio (OR) and 95% confidence interval (CI). The p value was considered significant if p < .05.

RESULTS

Thirty three studies consisting of 14 282 subjects (6012 cases and 8270 controls) were included in this meta-analysis. Variants of XRCC1 Arg194Trp polymorphism were associated with increased HNSCC risk and the associations were significant based on heterozygous and dominant models (heterozygous model: OR = 1.182, 95%CI = 1.015-1.377, p = .032; homozygous model: OR = 1.274, 95%CI = 0.940-1.727, p = .119; dominant model: OR = 1.194, 95%CI = 1.027-1.388, p = .021; recessive model: OR = 1.181, 95%CI = 0.885-1.576, p = .119). There were significant associations between variants of this polymorphism and HNSCC risk based on Asian ethnicity under dominant model, hospital control source under different genetic models, PCR-RFLP genotyping method under dominant model and oral cavity tumor site under heterozygous and dominant models.

CONCLUSION

Variants of XRCC1 Arg194Trp polymorphism were significantly associated with increased risk of HNSCC development based on heterozygous and dominant genetic models.

摘要

背景

X 射线修复交叉互补基因 1(XRCC1)是一种 DNA 修复基因。多项研究已经探讨了 XRCC1 Arg194Trp 多态性与头颈部鳞状细胞癌(HNSCC)易感性之间的关系,但结果存在矛盾。因此,本系统评价和荟萃分析旨在评估该多态性是否会增加 HNSCC 的风险。

发现

纳入了 33 项研究,共计 14282 名受试者(6012 例病例和 8270 例对照)。基于杂合子和显性模型,XRCC1Arg194Trp 多态性与 HNSCC 风险增加相关,且关联具有统计学意义(杂合子模型:OR=1.182,95%CI=1.015-1.377,P=0.032;纯合子模型:OR=1.274,95%CI=0.940-1.727,P=0.119;显性模型:OR=1.194,95%CI=1.027-1.388,P=0.021;隐性模型:OR=1.181,95%CI=0.885-1.576,P=0.119)。基于显性模型的亚洲人种、不同遗传模型下的医院对照来源、显性模型下的 PCR-RFLP 基因分型方法以及杂合子和显性模型下的口腔肿瘤部位,该多态性与 HNSCC 风险之间存在显著关联。

目的

X 射线修复交叉互补基因 1(XRCC1)是一种 DNA 修复基因。多项研究已经探讨了 XRCC1Arg194Trp 多态性与头颈部鳞状细胞癌(HNSCC)易感性之间的关系,但结果存在矛盾。因此,本系统评价和荟萃分析旨在评估该多态性是否会增加 HNSCC 的风险。

方法

使用 Google Scholar、Scopus、PubMed、Web of Science、Cochrane Library 和 Embase 数据库,系统地检索截至 2022 年 4 月发表的文献。使用 I² 统计量评估异质性。采用随机效应模型或固定效应模型进行数据分析。采用比值比(OR)和 95%置信区间(CI)表示数据。如果 p<0.05,则认为 p 值具有统计学意义。

结果

纳入了 33 项研究,共计 14282 名受试者(6012 例病例和 8270 例对照)。基于杂合子和显性模型,XRCC1Arg194Trp 多态性与 HNSCC 风险增加相关,且关联具有统计学意义(杂合子模型:OR=1.182,95%CI=1.015-1.377,P=0.032;纯合子模型:OR=1.274,95%CI=0.940-1.727,P=0.119;显性模型:OR=1.194,95%CI=1.027-1.388,P=0.021;隐性模型:OR=1.181,95%CI=0.885-1.576,P=0.119)。基于显性模型的亚洲人种、不同遗传模型下的医院对照来源、显性模型下的 PCR-RFLP 基因分型方法以及杂合子和显性模型下的口腔肿瘤部位,该多态性与 HNSCC 风险之间存在显著关联。

结论

基于杂合子和显性遗传模型,XRCC1Arg194Trp 多态性与 HNSCC 发病风险显著相关。

https://cdn.ncbi.nlm.nih.gov/pmc/blobs/0699/10026292/ec373245e137/CNR2-6-e1776-g002.jpg

文献AI研究员

20分钟写一篇综述,助力文献阅读效率提升50倍。

立即体验

用中文搜PubMed

大模型驱动的PubMed中文搜索引擎

马上搜索

文档翻译

学术文献翻译模型,支持多种主流文档格式。

立即体验