Suppr超能文献

对于多达十个脑转移瘤的患者,基于直线加速器的分次立体定向放疗和立体定向放射外科的可行性。

Feasibility of linac-based fractionated stereotactic radiotherapy and stereotactic radiosurgery for patients with up to ten brain metastases.

机构信息

Radiation and Proton Therapy Center, Shizuoka Cancer Center, 1007 Shimonagakubo, Nagaizumi-Cho, Sunto-Gun, Shizuoka, 411-8777, Japan.

Department of Radiation Oncology, Hamamatsu University Hospital, Shizuoka, Japan.

出版信息

Radiat Oncol. 2022 Dec 28;17(1):213. doi: 10.1186/s13014-022-02185-1.

Abstract

BACKGROUND

Linac-based fractionated stereotactic radiotherapy (fSRT) and stereotactic radiosurgery (SRS) are increasingly being used to manage patients with multiple metastases. This retrospective cohort study aimed to compare the outcomes after linac-based fSRT and SRS between three patient groups classified based on the number of brain metastases (BMs): 1 BM, 2-4 BM, 5-10 BM.

METHODS

The data of consecutive patients with 1-10 BMs treated with fSRT or SRS between July 2016 and June 2018 at a single institution were collected. Patients with previous whole-brain radiotherapy (WBRT), concurrent use of WBRT, or surgical resection were excluded from the analysis. A total of 176 patients were classified into three groups according to the number of BMs: 78, 67, and 31 patients in 1 BM, 2-4 BM, and 5-10 BM, respectively. The Kaplan-Meier method was used to estimate overall survival (OS) curves, and the cumulative incidence with competing risks was used to estimate local control (LC), distant intracranial failure (DIF), and radiation necrosis (RN).

RESULTS

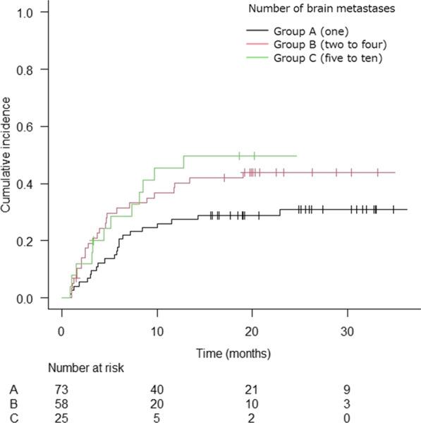
Median OS was 19.8 months (95% confidence interval [CI] 10.2-27.5), 7.3 months (4.9-11.1), and 5.1 months (4.0-9.0) in 1 BM, 2-4 BM, and 5-10 BM, respectively. Compared to 2-4 BM, 1 BM had significantly better OS (hazard ratio [HR] 0.59, 95% CI 0.40-0.87; p = 0.0075); however, 5-10 BM had comparable OS (HR 1.36, 95% CI 0.85-2.19; p = 0.199). There was no significant difference in LC, DIF, and RN between tumor number groups, but DIF was lower in 1 BM. RN of grade 2 or higher occurred in 21 patients (13.5%); grade 4 and 5 RN were not observed.

CONCLUSIONS

The linac-based fSRT and SRS for patients with 5-10 BMs is comparable to that for patients with 2-4 BMs in OS, LC, DIF, and RN. It seems reasonable to use linac-based fSRT and SRS in patients with 5-10 BMs.

摘要

背景

基于直线加速器的分次立体定向放疗(fSRT)和立体定向放射外科(SRS)越来越多地用于治疗多发性脑转移瘤患者。本回顾性队列研究旨在比较三组患者基于脑转移瘤(BM)数量的基于直线加速器的 fSRT 和 SRS 治疗后的结果:1 个 BM、2-4 个 BM、5-10 个 BM。

方法

在单机构中,2016 年 7 月至 2018 年 6 月间连续收集了接受 fSRT 或 SRS 治疗的 1-10 个 BM 的患者数据。排除了既往全脑放疗(WBRT)、同期使用 WBRT 或手术切除的患者。根据 BM 数量将 176 名患者分为三组:1 个 BM、2-4 个 BM 和 5-10 个 BM 的患者分别为 78、67 和 31 例。采用 Kaplan-Meier 法估计总生存(OS)曲线,采用竞争风险累积发生率估计局部控制(LC)、远处颅内失败(DIF)和放射性坏死(RN)。

结果

1 个 BM、2-4 个 BM 和 5-10 个 BM 组的中位 OS 分别为 19.8 个月(95%CI 10.2-27.5)、7.3 个月(4.9-11.1)和 5.1 个月(4.0-9.0)。与 2-4 BM 相比,1 BM 的 OS 显著改善(HR 0.59,95%CI 0.40-0.87;p=0.0075);然而,5-10 BM 的 OS 无显著差异(HR 1.36,95%CI 0.85-2.19;p=0.199)。肿瘤数量组之间 LC、DIF 和 RN 无显著差异,但 1 BM 组的 DIF 较低。21 例患者(13.5%)发生 2 级或以上的 RN;未观察到 4 级和 5 级 RN。

结论

基于直线加速器的 fSRT 和 SRS 治疗 5-10 个 BM 的患者与治疗 2-4 个 BM 的患者的 OS、LC、DIF 和 RN 相当。在 5-10 个 BM 的患者中使用基于直线加速器的 fSRT 和 SRS 似乎是合理的。

https://cdn.ncbi.nlm.nih.gov/pmc/blobs/854a/9795627/92272d8e2db4/13014_2022_2185_Fig1_HTML.jpg

文献AI研究员

20分钟写一篇综述,助力文献阅读效率提升50倍。

立即体验

用中文搜PubMed

大模型驱动的PubMed中文搜索引擎

马上搜索

文档翻译

学术文献翻译模型,支持多种主流文档格式。

立即体验