• 文献检索
  • 文档翻译
  • 深度研究
  • 学术资讯
  • Suppr Zotero 插件Zotero 插件
  • 邀请有礼
  • 套餐&价格
  • 历史记录
应用&插件
Suppr Zotero 插件Zotero 插件浏览器插件Mac 客户端Windows 客户端微信小程序
定价
高级版会员购买积分包购买API积分包
服务
文献检索文档翻译深度研究API 文档MCP 服务
关于我们
关于 Suppr公司介绍联系我们用户协议隐私条款
关注我们

Suppr 超能文献

核心技术专利:CN118964589B侵权必究
粤ICP备2023148730 号-1Suppr @ 2026

文献检索

告别复杂PubMed语法,用中文像聊天一样搜索,搜遍4000万医学文献。AI智能推荐,让科研检索更轻松。

立即免费搜索

文件翻译

保留排版,准确专业,支持PDF/Word/PPT等文件格式,支持 12+语言互译。

免费翻译文档

深度研究

AI帮你快速写综述,25分钟生成高质量综述,智能提取关键信息,辅助科研写作。

立即免费体验

病毒性坏死性视网膜炎的临床、病毒学特征及预后因素

Clinical and Virological Characteristics and Prognostic Factors in Viral Necrotizing Retinitis.

作者信息

Fitoussi Léa, Baptiste Amandine, Mainguy Adam, L'Honneur Anne-Sophie, Bojanova Magdalena, Dechartres Agnès, Rozenberg Flore, Bodaghi Bahram, Touhami Sara

机构信息

Department of Ophthalmology, Pitié Salpêtrière University Hospital, Sorbonne Université, 75013 Paris, France.

Department of Public Health, Centre de Pharmacoépidémiologie de l'AP-HP (Cephepi), Pitié Salpêtrière University Hospital, Sorbonne Université, 75013 Paris, France.

出版信息

J Pers Med. 2022 Oct 29;12(11):1785. doi: 10.3390/jpm12111785.

DOI:10.3390/jpm12111785
PMID:36579507
原文链接:https://pmc.ncbi.nlm.nih.gov/articles/PMC9695359/
Abstract

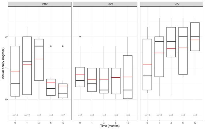
Purpose: Describe the clinical and virological characteristics of viral necrotizing retinitis (VNR) and assess its prognostic factors. Methods: Retrospective study (Pitié Salpêtrière Hospital, Paris) of consecutive VNR patients diagnosed and monitored by qPCR on aqueous humor between 2015 and 2019. All patients received induction therapy with intravenous +/− intravitreal injections (IVI) of antivirals. Results: Forty-one eyes of 37 patients with a mean age of 56 years were included. Involved viruses were VZV (44%), CMV (37%) and HSV2 (19%). Acute retinal necrosis represented 51%, progressive outer retinal necrosis 12% and CMV retinitis 37% of eyes. Forty-six percent of patients were immunocompromised. Median BCVA was 0.7 LogMAR at baseline and 0.8 LogMAR after an average of 14.1 months. VNR bilateralized in 27% of cases after 32 months. Retinal detachment (RD) occurred in 27% of cases after a mean duration of 98 days. Factors associated with a “poor BCVA” at 1 month were: advanced age, low baseline BCVA, high vitritis grade and viral load (VL) at baseline and the “slow responder” status (i.e., VL decrease <50% after 2 weeks of treatment). Factors associated with RD were: advanced age, immunocompetence, low baseline BCVA, high vitritis grade at baseline and use of ≤5 IVIs. Conclusions: Clinical factors including advanced age, immunocompetence, low BCVA and high vitritis grade at baseline were associated with a poor prognosis. New virological factors were predictive of a poor outcome: high baseline VL and the “slow responder” status. Sequential intraocular fluid sampling might help prognosticate the outcomes of VNR.

摘要

目的

描述病毒性坏死性视网膜炎(VNR)的临床和病毒学特征,并评估其预后因素。方法:对2015年至2019年间在巴黎皮提耶尔-萨尔佩特里埃医院通过房水定量聚合酶链反应(qPCR)诊断和监测的连续性VNR患者进行回顾性研究。所有患者均接受了静脉内+/-玻璃体内注射(IVI)抗病毒药物的诱导治疗。结果:纳入37例患者的41只眼,平均年龄56岁。涉及的病毒为水痘带状疱疹病毒(VZV,44%)、巨细胞病毒(CMV,37%)和单纯疱疹病毒2型(HSV2,19%)。急性视网膜坏死占51%的眼,进行性外层视网膜坏死占12%,CMV视网膜炎占37%。46%的患者免疫功能低下。基线时最佳矫正视力(BCVA)中位数为0.7 LogMAR,平均14.1个月后为0.8 LogMAR。32个月后,27%的病例VNR变为双侧性。平均98天后,27%的病例发生视网膜脱离(RD)。1个月时与“BCVA差”相关的因素包括:高龄、基线BCVA低、玻璃体炎分级高、基线时病毒载量(VL)高以及“反应缓慢者”状态(即治疗2周后VL下降<50%)。与RD相关的因素包括:高龄、免疫功能正常、基线BCVA低、基线时玻璃体炎分级高以及IVI使用次数≤5次。结论:包括高龄、免疫功能正常、基线BCVA低和基线时玻璃体炎分级高在内的临床因素与预后不良相关。新的病毒学因素可预测不良结局:基线VL高和“反应缓慢者”状态。连续眼内液采样可能有助于预测VNR的结局。

https://cdn.ncbi.nlm.nih.gov/pmc/blobs/e3fa/9695359/93c23e078dee/jpm-12-01785-g002.jpg
https://cdn.ncbi.nlm.nih.gov/pmc/blobs/e3fa/9695359/5f844e9a7548/jpm-12-01785-g001.jpg
https://cdn.ncbi.nlm.nih.gov/pmc/blobs/e3fa/9695359/93c23e078dee/jpm-12-01785-g002.jpg
https://cdn.ncbi.nlm.nih.gov/pmc/blobs/e3fa/9695359/5f844e9a7548/jpm-12-01785-g001.jpg
https://cdn.ncbi.nlm.nih.gov/pmc/blobs/e3fa/9695359/93c23e078dee/jpm-12-01785-g002.jpg

相似文献

1
Clinical and Virological Characteristics and Prognostic Factors in Viral Necrotizing Retinitis.病毒性坏死性视网膜炎的临床、病毒学特征及预后因素
J Pers Med. 2022 Oct 29;12(11):1785. doi: 10.3390/jpm12111785.
2
Risk Factors for Retinal Detachment in Acute Retinal Necrosis.急性视网膜坏死中视网膜脱离的危险因素
Ophthalmol Retina. 2022 Jun;6(6):478-483. doi: 10.1016/j.oret.2022.01.016. Epub 2022 Feb 1.
3
Chronic retinal necrosis: cytomegalovirus necrotizing retinitis associated with panretinal vasculopathy in non-HIV patients.慢性视网膜坏死:巨细胞病毒坏死性视网膜炎伴非 HIV 患者全视网膜血管病变。
Retina. 2013 Oct;33(9):1791-9. doi: 10.1097/IAE.0b013e318285f486.
4
Ocular Outcomes after Treatment of Cytomegalovirus Retinitis Using Adoptive Immunotherapy with Cytomegalovirus-Specific Cytotoxic T Lymphocytes.采用巨细胞病毒特异性细胞毒性 T 淋巴细胞过继免疫疗法治疗巨细胞病毒视网膜炎的眼部结局。
Ophthalmol Retina. 2021 Sep;5(9):838-849. doi: 10.1016/j.oret.2021.04.009. Epub 2021 Apr 20.
5
Multiple intravitreal injections of ganciclovir for cytomegalovirus retinitis after stem-cell transplantation.多次玻璃体内注射更昔洛韦治疗干细胞移植后巨细胞病毒视网膜炎。
Graefes Arch Clin Exp Ophthalmol. 2013 Jul;251(7):1829-33. doi: 10.1007/s00417-013-2368-6. Epub 2013 May 12.
6
Predictive factors for functional improvement after intravitreal bevacizumab therapy for macular edema due to branch retinal vein occlusion.预测因子分析:玻璃体内注射贝伐单抗治疗视网膜分支静脉阻塞所致黄斑水肿的功能改善。
Graefes Arch Clin Exp Ophthalmol. 2011 Feb;249(2):183-92. doi: 10.1007/s00417-010-1470-2. Epub 2010 Aug 18.
7
Case series: Two cases of herpetic retinitis presenting as progressive outer retinal necrosis in immunocompetent individuals.病例系列:两例免疫功能正常个体中表现为进行性外层视网膜坏死的疱疹性视网膜炎。
Am J Ophthalmol Case Rep. 2021 Jun 5;23:101119. doi: 10.1016/j.ajoc.2021.101119. eCollection 2021 Sep.
8
High-dose (5000-microg) intravitreal ganciclovir combined with highly active antiretroviral therapy for cytomegalovirus retinitis in HIV-infected patients in Venezuela.委内瑞拉对感染艾滋病毒患者采用高剂量(5000微克)玻璃体内注射更昔洛韦联合高效抗逆转录病毒疗法治疗巨细胞病毒性视网膜炎
Eur J Ophthalmol. 2005 Sep-Oct;15(5):610-8. doi: 10.1177/112067210501500512.
9
Outcome of cytomegalovirus retinitis in immunocompromised patients without Human Immunodeficiency Virus treated with intravitreal ganciclovir injection.接受玻璃体内注射更昔洛韦治疗的无人类免疫缺陷病毒的免疫功能低下患者的巨细胞病毒性视网膜炎的转归
Graefes Arch Clin Exp Ophthalmol. 2014 Sep;252(9):1393-401. doi: 10.1007/s00417-014-2587-5. Epub 2014 Feb 21.
10
[Viral cause and management of necrotizing herpetic retinopathies].[坏死性疱疹性视网膜病变的病毒病因及治疗]
J Fr Ophtalmol. 2004 Mar;27(3):223-36. doi: 10.1016/s0181-5512(04)96124-4.

引用本文的文献

1
Clinical findings, outcomes following management and complications of acute retinal necrosis: the experience of a tertiary eye centre in Saudi Arabia.急性视网膜坏死的临床发现、治疗后的结局及并发症:沙特阿拉伯一家三级眼科中心的经验
J Ophthalmic Inflamm Infect. 2025 Jul 1;15(1):51. doi: 10.1186/s12348-025-00511-8.
2
Atypical Peripheral Retinal Necrosis Without Ocular Inflammation and Retinal Whitening in a Patient With Acute Myelogenous Leukemia: A Case Report.一名急性髓系白血病患者出现无眼部炎症及视网膜变白的非典型周边视网膜坏死:病例报告
Cureus. 2024 Feb 14;16(2):e54169. doi: 10.7759/cureus.54169. eCollection 2024 Feb.

本文引用的文献

1
Acute Retinal Necrosis: Virological Features Using Quantitative Polymerase Chain Reaction, Therapeutic Management, and Clinical Outcomes.急性视网膜坏死:使用定量聚合酶链反应的病毒学特征、治疗管理和临床结局。
Am J Ophthalmol. 2019 Dec;208:376-386. doi: 10.1016/j.ajo.2019.08.007. Epub 2019 Aug 23.
2
Clinical feature and visual prognosis of acute retinal necrosis according to the initially involved zone and extent: 10-year experience.根据初始受累区域和范围分析急性视网膜坏死的临床特征及视觉预后:10年经验
Eur J Ophthalmol. 2019 Mar;29(2):244-250. doi: 10.1177/1120672118787438. Epub 2018 Jul 12.
3
Acute Retinal Necrosis: Presenting Characteristics and Clinical Outcomes in a Cohort of Polymerase Chain Reaction-Positive Patients.
急性视网膜坏死:聚合酶链反应阳性患者队列中的表现特征及临床结局
Am J Ophthalmol. 2017 Jul;179:179-189. doi: 10.1016/j.ajo.2017.05.006. Epub 2017 May 10.
4
Diagnosis and Treatment of Acute Retinal Necrosis: A Report by the American Academy of Ophthalmology.急性视网膜坏死的诊断和治疗:美国眼科学会报告。
Ophthalmology. 2017 Mar;124(3):382-392. doi: 10.1016/j.ophtha.2016.11.007. Epub 2017 Jan 13.
5
Correlation of Clinical Outcomes with Quantitative Polymerase Chain Reaction DNA Copy Number in Patients with Acute Retinal Necrosis.急性视网膜坏死患者临床结局与定量聚合酶链反应DNA拷贝数的相关性
Ocul Immunol Inflamm. 2017 Apr;25(2):246-252. doi: 10.3109/09273948.2015.1115081. Epub 2016 Jan 30.
6
Acute Retinal Necrosis: Diagnostic and Treatment Strategies in Germany.急性视网膜坏死:德国的诊断与治疗策略
Ocul Immunol Inflamm. 2016 Oct;24(5):537-43. doi: 10.3109/09273948.2015.1034375. Epub 2015 Sep 23.
7
Combination systemic and intravitreal antiviral therapy in the management of acute retinal necrosis syndrome.全身及玻璃体内联合抗病毒治疗在急性视网膜坏死综合征管理中的应用
Ophthalmic Surg Lasers Imaging Retina. 2014 Sep-Oct;45(5):399-407. doi: 10.3928/23258160-20140908-02.
8
Acute retinal necrosis: clinical features, management and outcomes--a 10 year consecutive case series.急性视网膜坏死:临床特征、治疗与预后——连续10年病例系列研究
Ocul Immunol Inflamm. 2014 Jun;22(3):170-4. doi: 10.3109/09273948.2013.819928. Epub 2014 Apr 16.
9
Time profile of viral DNA in aqueous humor samples of patients treated for varicella-zoster virus acute retinal necrosis by use of quantitative real-time PCR.应用实时荧光定量 PCR 检测带状疱疹病毒急性视网膜坏死患者水样液中病毒 DNA 的时间分布。
J Clin Microbiol. 2013 Jul;51(7):2160-6. doi: 10.1128/JCM.00294-13. Epub 2013 May 1.
10
Valacyclovir in the treatment of acute retinal necrosis.伐昔洛韦治疗急性视网膜坏死。
BMC Ophthalmol. 2012 Sep 5;12:48. doi: 10.1186/1471-2415-12-48.