Suppr超能文献

经小脑阳极 tDCS 调节精神状态识别。

Modulating mental state recognition by anodal tDCS over the cerebellum.

机构信息

Ataxia Laboratory, Fondazione Santa Lucia IRCCS, Via Ardeatina, 306, Rome, Italy.

Klinikos-Center for Psychodiagnostics and Psychoterapy, Viale delle Milizie, 38, Rome, Italy.

出版信息

Sci Rep. 2022 Dec 30;12(1):22616. doi: 10.1038/s41598-022-26914-4.

Abstract

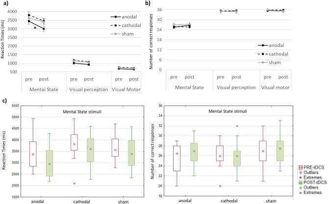
Increasing evidence from neuroimaging and clinical studies has demonstrated cerebellar involvement in social cognition components, including the mentalizing process. The aim of this study was to apply transcranial direct current stimulation (tDCS) to modulate cerebellar excitability to investigate the role the cerebellum plays in mental state recognition. Forty-eight healthy subjects were randomly assigned to different groups in which anodal, cathodal, or sham tDCS (2 mA for 20 min) was delivered centering the electrode on the vermis to stimulate the posterior portion of the cerebellum. The ability to attribute mental states to others was tested before and after tDCS using a digital version of the 'Reading the Mind in the Eyes test', which includes visual perceptive and motor stimuli as control conditions. Correct response and reaction times (RTs) were recorded. The results revealed a significant reduction in RTs between the baseline and post-stimulation sessions after cerebellar anodal tDCS only for mental state stimuli (Wilcoxon test p = 0.00055), whereas no significant effect was found in the cathodal or sham conditions or for visual perceptive and motor stimuli. Overall, our study suggests that cerebellar anodal tDCS might selectively improve mental state recognition and constitute an effective strategy to positively modulate the mentalizing process.

摘要

越来越多的神经影像学和临床研究证据表明,小脑参与了社会认知成分,包括心理化过程。本研究旨在应用经颅直流电刺激(tDCS)来调节小脑兴奋性,以探究小脑在心理状态识别中的作用。48 名健康受试者被随机分配到不同的组中,其中给予阳极、阴极或假刺激(2mA 刺激 20 分钟),电极置于蚓部以刺激小脑后部。使用“读心测试”的数字版本在 tDCS 前后测试将心理状态归因于他人的能力,该测试包括视觉感知和运动刺激作为对照条件。记录正确反应和反应时间(RT)。结果显示,仅在小脑阳极刺激后,心理状态刺激的 RT 在基线和刺激后之间显著降低(Wilcoxon 检验 p = 0.00055),而在阴极或假刺激条件下或在视觉感知和运动刺激下均未发现显著影响。总的来说,我们的研究表明,小脑阳极 tDCS 可能选择性地改善心理状态识别,并构成积极调节心理化过程的有效策略。

https://cdn.ncbi.nlm.nih.gov/pmc/blobs/323b/9803656/7433d7940c7a/41598_2022_26914_Fig1_HTML.jpg

文献AI研究员

20分钟写一篇综述,助力文献阅读效率提升50倍。

立即体验

用中文搜PubMed

大模型驱动的PubMed中文搜索引擎

马上搜索

文档翻译

学术文献翻译模型,支持多种主流文档格式。

立即体验