Suppr超能文献

75 岁及以上胰腺导管腺癌患者接受 5 分次消融性立体定向磁共振图像引导自适应放疗(A-SMART)的多机构治疗结果。

Multi-Institutional Outcomes of Patients Aged 75 years and Older With Pancreatic Ductal Adenocarcinoma Treated With 5-Fraction Ablative Stereotactic Magnetic Resonance Image-Guided Adaptive Radiation Therapy (A-SMART).

机构信息

Department of Radiation Oncology, 25301H. Lee Moffitt Cancer Center& Research Institute, Tampa, FL, USA.

Department of Radiation Oncology, 455694Miami Cancer Institute, Miami, FL, USA.

出版信息

Cancer Control. 2023 Jan-Dec;30:10732748221150228. doi: 10.1177/10732748221150228.

Abstract

PURPOSE

Treatment options for pancreatic ductal adenocarcinoma (PDAC) are commonly limited for patients with advanced age due to medical comorbidities and/or poor performance status. These patients may not be candidates for more aggressive chemotherapy regimens and/or surgical resection leaving few, if any, other effective treatments. Ablative stereotactic MRI-guided adaptive radiation therapy (A-SMART) is both efficacious and safe for PDAC and can achieve excellent long-term local control, however, the appropriateness of A-SMART for elderly patients with inoperable PDAC is not well understood.

METHODS

A retrospective analysis was performed of inoperable non-metastatic PDAC patients aged 75 years or older treated on the MRIdian Linac at 2 institutions. Clinical outcomes of interest included overall survival (OS), progression-free survival (PFS), distant metastasis-free survival (DMFS), and locoregional (LRC). Toxicity was graded according to Common Terminology Criteria for Adverse Events (CTCAE, v5).

RESULTS

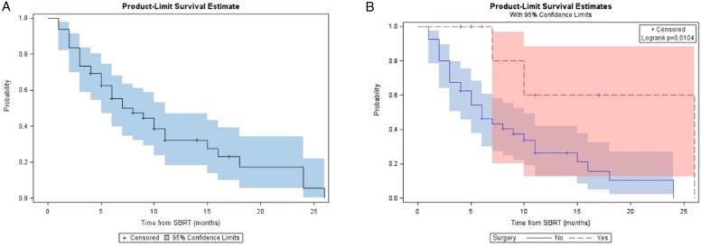
A total of 49 patients were evaluated with a median age of 81 years (range, 75-91) and a median follow-up of 14 months from diagnosis. PDAC was classified as locally advanced (46.9%), borderline resectable (36.7%), or medically inoperable (16.3%). Neoadjuvant chemotherapy was delivered to 84% of patients and all received A-SMART to a median 50 Gy (range, 40-50 Gy) in 5 fractions. 1 Year LRC, PFS, and OS were 88.9%, 53.8%, and 78.9%, respectively. Nine patients (18%) had resection after A-SMART and benefited from PFS improvement (26 vs 6 months, P = .01). ECOG PS <2 was the only predictor of improved OS on multivariate analysis. Acute and late grade 3 + toxicity rates were 8.2% and 4.1%, respectively.

CONCLUSIONS

A-SMART is associated with encouraging LRC and OS in elderly patients with initially inoperable PDAC. This novel non-invasive treatment strategy appears to be well-tolerated in patients with advanced age and should be considered in this population that has limited treatment options.

摘要

目的

由于合并症和/或较差的表现状态,胰腺导管腺癌(PDAC)患者的治疗选择通常受到年龄限制。这些患者可能不适合更积极的化疗方案和/或手术切除,因此几乎没有其他有效治疗方法。立体定向 MRI 引导自适应放疗(A-SMART)对 PDAC 既有效又安全,可实现出色的长期局部控制,但对于无法手术的高龄 PDAC 患者,A-SMART 的适用性尚不清楚。

方法

对 2 家机构的 MRIdian 直线加速器治疗的年龄在 75 岁或以上的无法手术的非转移性 PDAC 患者进行回顾性分析。感兴趣的临床结局包括总生存期(OS)、无进展生存期(PFS)、远处转移无复发生存期(DMFS)和局部区域(LRC)。毒性根据不良事件通用术语标准(CTCAE,v5)分级。

结果

共评估了 49 例患者,中位年龄为 81 岁(范围为 75-91),从诊断到中位随访时间为 14 个月。PDAC 分为局部晚期(46.9%)、边缘可切除(36.7%)或医学上无法手术(16.3%)。84%的患者接受了新辅助化疗,所有患者均接受了 A-SMART 治疗,中位剂量为 50Gy(范围为 40-50Gy),分为 5 个剂量。1 年 LRC、PFS 和 OS 分别为 88.9%、53.8%和 78.9%。9 例(18%)患者在 A-SMART 后接受了切除并从 PFS 改善中获益(26 个月 vs 6 个月,P =.01)。ECOG PS <2 是多变量分析中 OS 改善的唯一预测因素。急性和迟发性 3+级毒性发生率分别为 8.2%和 4.1%。

结论

A-SMART 与年龄较大的初始无法手术的 PDAC 患者的 LRC 和 OS 令人鼓舞。这种新的非侵入性治疗策略在老年患者中似乎具有良好的耐受性,应在治疗选择有限的人群中考虑。

https://cdn.ncbi.nlm.nih.gov/pmc/blobs/76d3/9982388/5c34ed4cdd7a/10.1177_10732748221150228-fig1.jpg

文献AI研究员

20分钟写一篇综述,助力文献阅读效率提升50倍。

立即体验

用中文搜PubMed

大模型驱动的PubMed中文搜索引擎

马上搜索

文档翻译

学术文献翻译模型,支持多种主流文档格式。

立即体验