Suppr超能文献

基于深度学习的物联网节点缺失与错误数据恢复方法。

A Deep Learning Based Data Recovery Approach for Missing and Erroneous Data of IoT Nodes.

机构信息

School of Electronics Engineering, VIT-AP University, Inavolu, Beside AP Secretariat, Amaravati 522237, India.

出版信息

Sensors (Basel). 2022 Dec 24;23(1):170. doi: 10.3390/s23010170.

Abstract

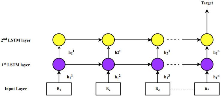
Internet of things (IoT) nodes are deployed in large-scale automated monitoring applications to capture the massive amount of data from various locations in a time-series manner. The captured data are affected due to several factors such as device malfunctioning, unstable communication, environmental factors, synchronization problem, and unreliable nodes, which results in data inconsistency. Data recovery approaches are one of the best solutions to reduce data inconsistency. This research provides a missing data recovery approach based on spatial-temporal (ST) correlation between the IoT nodes in the network. The proposed approach has a clustering phase (CL) and a data recovery (DR) phase. In the CL phase, the nodes can be clustered based on their spatial and temporal relationship, and common neighbors are extracted. In the DR phase, missing data can be recovered with the help of neighbor nodes using the ST-hierarchical long short-term memory (ST-HLSTM) algorithm. The proposed algorithm has been verified on real-world IoT-based hydraulic test rig data sets which are gathered from things speak real-time cloud platform. The algorithm shows approximately 98.5% reliability as compared with the other existing algorithms due to its spatial-temporal features based on deep neural network architecture.

摘要

物联网 (IoT) 节点被部署在大规模自动化监控应用中,以按时间序列方式从各个位置捕获大量数据。由于设备故障、不稳定的通信、环境因素、同步问题和不可靠节点等多种因素的影响,所捕获的数据会出现不一致的情况。数据恢复方法是减少数据不一致性的最佳解决方案之一。本研究提出了一种基于网络中物联网节点之间的时空 (ST) 相关性的缺失数据恢复方法。该方法包括聚类阶段 (CL) 和数据恢复阶段 (DR)。在 CL 阶段,可以根据节点的时空关系进行聚类,并提取共同邻居。在 DR 阶段,可以借助邻居节点使用时空层次长短期记忆 (ST-HLSTM) 算法恢复缺失的数据。该算法已在基于物联网的水力测试台数据集上进行了验证,这些数据集是从 things speak 实时云平台收集的。与其他现有算法相比,由于其基于深度神经网络架构的时空特征,该算法的可靠性约为 98.5%。

https://cdn.ncbi.nlm.nih.gov/pmc/blobs/22f0/9824676/f427c3dd5d6c/sensors-23-00170-g001.jpg

文献AI研究员

20分钟写一篇综述,助力文献阅读效率提升50倍。

立即体验

用中文搜PubMed

大模型驱动的PubMed中文搜索引擎

马上搜索

文档翻译

学术文献翻译模型,支持多种主流文档格式。

立即体验