Suppr超能文献

安络化纤丸改善恩替卡韦治疗的慢性乙型肝炎患者肝纤维化的消退情况。

An-Luo-Hua-Xian Pill Improves the Regression of Liver Fibrosis in Chronic Hepatitis B Patients Treated with Entecavir.

作者信息

Liu Yi-Qi, Zhang Chi, Li Jia-Wen, Cao Li-Hua, Zhang Zhan-Qing, Zhao Wei-Feng, Shang Qing-Hua, Zhang Da-Zhi, Ma An-Lin, Xie Qing, Gui Hong-Lian, Zhang Guo, Liu Ying-Xia, Shang Jia, Xie Shi-Bin, Li Jun, Zhang Xu-Qing, Zou Zhi-Qiang, Chen Yu-Ping, Zhang Zong, Zhang Ming-Xiang, Cheng Jun, Zhang Fu-Chun, Huang Li-Hua, Li Jia-Bin, Meng Qing-Hua, Yu Hai-Bin, Mi Yu-Qiang, Peng Yan-Zhong, Wang Zhi-Jin, Chen Li-Ming, Meng Fan-Ping, Ren Wan-Hua, Bai Lang, Zeng Yi-Lan, Fan Rong, Lou Xian-Zhi, Liang Wei-Feng, Liu Hui, Zhuang Hui, Zhao Hong, Wang Gui-Qiang

机构信息

Department of Infectious Disease, Center for Liver Disease, Peking University First Hospital, Beijing, China.

Department of Hepatology, The Third Hospital of Qinhuangdao, Qinhuangdao, Hebei, China.

出版信息

J Clin Transl Hepatol. 2023 Apr 28;11(2):304-313. doi: 10.14218/JCTH.2022.00091. Epub 2022 Jun 6.

Abstract

BACKGROUND AND AIMS

Chronic hepatitis B (CHB) can cause liver fibrosis and lead to cirrhosis and cancer. As the effectiveness of antiviral therapy to reverse liver fibrosis is limited, We aimed to evaluate the effect of An-Luo-Hua-Xian pill (ALHX) on fibrosis regression in CHB patients treated with entecavir (ETV).

METHODS

Treatment-naïve patients with CHB were randomly treated with ETV alone or combined with ALHX (ETV+ALHX) between October 1, 2013 and December 31, 2020. Demographic, laboratory, and liver histology data before and after 78 weeks of treatment were collected. The Ishak fibrosis score (F) was used and fibrosis regression required a decrease in F of ≥1 after treatment.

RESULTS

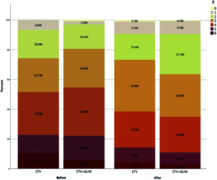
A total of 780 patients were enrolled, and 394 with a second liver biopsy after treatment were included in the per-protocol population, 132 in ETV group and 262 in ETV+ALHX group. After 78 weeks of treatment, the fibrosis regression rate in the ETV+ALHX group was significantly higher than that of the ETV group at baseline F≥3 patients: 124/211 (58.8%) vs. 45/98 (45.9%), =0.035. The percentage of patients with a decreased liver stiffness measurement (LSM) was higher in the ETV+ALHX group: 156/211 (73.9%) vs. 62/98 (63.%), =0.056. Logistic regression analysis showed that ETV combined with ALHX was associated with fibrosis regression [odds ratio (OR)=1.94, =0.018], and a family history of hepatocellular carcinoma was on the contrary. (OR=0.41, =0.031).

CONCLUSIONS

ETV combined with ALHX increased liver fibrosis regression in CHB patients.

摘要

背景与目的

慢性乙型肝炎(CHB)可导致肝纤维化,进而发展为肝硬化和肝癌。由于抗病毒治疗逆转肝纤维化的效果有限,我们旨在评估安络化纤丸(ALHX)对接受恩替卡韦(ETV)治疗的CHB患者纤维化消退的影响。

方法

2013年10月1日至2020年12月31日期间,初治CHB患者被随机分为单独使用ETV或联合使用ALHX(ETV+ALHX)治疗。收集治疗78周前后的人口统计学、实验室和肝脏组织学数据。采用Ishak纤维化评分(F),治疗后纤维化消退要求F降低≥1。

结果

共纳入780例患者,394例治疗后进行第二次肝活检的患者纳入符合方案人群,ETV组132例,ETV+ALHX组262例。治疗78周后,在基线F≥3的患者中,ETV+ALHX组的纤维化消退率显著高于ETV组:124/211(58.8%)对45/98(45.9%),P=0.035。ETV+ALHX组肝脏硬度测量值(LSM)降低的患者百分比更高:156/211(73.9%)对62/98(63.%),P=0.056。逻辑回归分析显示,ETV联合ALHX与纤维化消退相关[比值比(OR)=1.94,P=0.018],而肝细胞癌家族史则相反(OR=0.41,P=0.031)。

结论

ETV联合ALHX可增加CHB患者的肝纤维化消退。

https://cdn.ncbi.nlm.nih.gov/pmc/blobs/64ed/9817059/fa1ead390137/JCTH-11-304-g001.jpg

文献AI研究员

20分钟写一篇综述,助力文献阅读效率提升50倍。

立即体验

用中文搜PubMed

大模型驱动的PubMed中文搜索引擎

马上搜索

文档翻译

学术文献翻译模型,支持多种主流文档格式。

立即体验