Suppr超能文献

评价合成多功能肽 Hp-MAP3 衍生物 Temporin-PTa。

Evaluation of the Synthetic Multifunctional Peptide Hp-MAP3 Derivative of Temporin-PTa.

机构信息

S-Inova Biotech, Postgraduate Program in Biotechnology, Universidade Católica Dom Bosco, Campo Grande 79117-900, Mato Grosso do Sul, Brazil.

Laboratório de Purificação de Proteínas e suas Funções Biológicas, Unidade de Tecnologia de Alimentos e da Saúde Pública, Universidade Federal de Mato Grosso do Sul, Campo Grande 79070-900, Mato Grosso do Sul, Brazil.

出版信息

Toxins (Basel). 2023 Jan 5;15(1):42. doi: 10.3390/toxins15010042.

Abstract

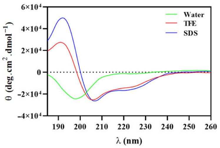
In recent years, antimicrobial peptides isolated from amphibian toxins have gained attention as new multifunctional drugs interacting with different molecular targets. We aimed to rationally design a new peptide from temporin-PTa. Hp-MAP3 (NH-LLKKVLALLKKVL-COOH), net charge (+4), hydrophobicity (0.69), the content of hydrophobic residues (69%), and hydrophobic moment (0.73). For the construction of the analog peptide, the physicochemical characteristics were reorganized into hydrophilic and hydrophobic residues with the addition of lysines and leucines. The minimum inhibitory concentration was 2.7 to 43 μM against the growth of Gram-negative and positive bacteria, and the potential for biofilm eradication was 173.2 μM. Within 20 min, the peptide Hp-MAP3 (10.8 μM) prompted 100% of the damage to cells. At 43.3 μM, eliminated 100% of within 5 min. The effects against yeast species of the genus ranged from 5.4 to 86.6 μM. Hp-MAP3 presents cytotoxic activity against tumor HeLa at a concentration of 21.6 μM with an IC of 10.4 µM. Furthermore, the peptide showed hemolytic activity against murine erythrocytes. Structural studies carried out by circular dichroism showed that Hp-MAP3, while in the presence of 50% trifluoroethanol or SDS, an α-helix secondary structure. Finally, Amphipathic Hp-MAP3 building an important model for the design of new multifunctional molecules.

摘要

近年来,从两栖动物毒素中分离出的抗菌肽作为与不同分子靶点相互作用的新型多功能药物引起了人们的关注。我们旨在从蛙皮素 -PTa 中合理设计一种新的肽。Hp-MAP3(NH-LLKKVLALLKKVL-COOH),净电荷(+4),疏水性(0.69),疏水性残基含量(69%)和疏水性矩(0.73)。为了构建类似物肽,将理化特性重新组织为带有赖氨酸和亮氨酸的亲水性和疏水性残基。最小抑菌浓度(MIC)为 2.7 至 43 μM,可抑制革兰氏阴性和阳性菌的生长,且生物膜清除潜力为 173.2 μM。在 20 分钟内,肽 Hp-MAP3(10.8 μM)可促使 100%的 细胞受损。在 43.3 μM 时,在 5 分钟内可清除 100%的 。该肽对属的酵母物种的作用范围为 5.4 至 86.6 μM。Hp-MAP3 在浓度为 21.6 μM 时对肿瘤 HeLa 具有细胞毒性,IC 为 10.4 μM。此外,该肽对鼠红细胞具有溶血活性。圆二色性研究表明,Hp-MAP3 存在于 50%三氟乙醇或 SDS 中时具有α-螺旋二级结构。最后,两亲性 Hp-MAP3 构建了新型多功能分子设计的重要模型。

https://cdn.ncbi.nlm.nih.gov/pmc/blobs/1144/9866994/fa894bc97e9f/toxins-15-00042-g001.jpg

文献AI研究员

20分钟写一篇综述,助力文献阅读效率提升50倍。

立即体验

用中文搜PubMed

大模型驱动的PubMed中文搜索引擎

马上搜索

文档翻译

学术文献翻译模型,支持多种主流文档格式。

立即体验