Suppr超能文献

种间杂种×及其亲本物种对盐胁迫的响应。

Responses to Salt Stress of the Interspecific Hybrid × and Its Parental Species.

作者信息

Ortega-Albero Neus, González-Orenga Sara, Vicente Oscar, Rodríguez-Burruezo Adrián, Fita Ana

机构信息

Institute for the Conservation and Improvement of Valencian Agrodiversity (COMAV), Universitat Politècnica de València, Camino de Vera S/N, 46022 Valencia, Spain.

Department of Plant Biology and Soil Science, Faculty of Biology, Universidad de Vigo, Campus Lagoas-Marcosendre, 36310 Vigo, Spain.

出版信息

Plants (Basel). 2023 Jan 8;12(2):295. doi: 10.3390/plants12020295.

Abstract

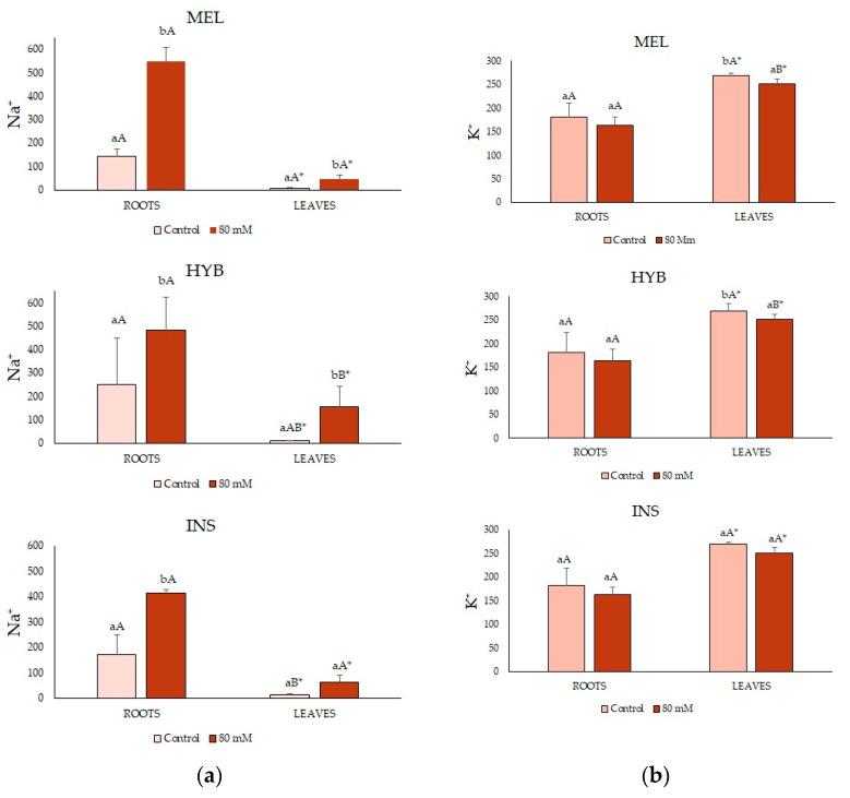
Soil salinity is becoming one of the most critical problems for agriculture in the current climate change scenario. Growth parameters, such as plant height, root length and fresh weight, and several biochemical stress markers (chlorophylls, total flavonoids and proline), have been determined in young plants of its wild relative , and their interspecific hybrid, grown in the presence of 200 and 400 mM of NaCl, and in adult plants in the long-term presence of 80 mM of NaCl, in order to assess their responses to salt stress. Cultivated eggplant showed a relatively high salt tolerance, compared to most common crops, primarily based on the control of ion transport and osmolyte biosynthesis. exhibited some specific responses, such as the salt-induced increase in leaf K contents (653.8 μmol g dry weight) compared to (403 μmol g dry weight) at 400 mM of NaCl. Although there were no substantial differences in growth in the presence of salt, biochemical evidence of a better response to salt stress of the wild relative was detected, such as a higher proline content. The hybrid showed higher tolerance than either of the parents with better growth parameters, such as plant height increment (7.3 cm) and fresh weight (240.4% root fresh weight and 113.3% shoot fresh weight) at intermediate levels of salt stress. For most biochemical variables, the hybrid showed an intermediate behaviour between the two parent species, but for proline it was closer to (ca. 2200 μmol g dry weight at 200 mM NaCl). These results show the possibility of developing new salt tolerance varieties in eggplant by introducing genes from .

摘要

在当前气候变化情景下,土壤盐渍化正成为农业面临的最关键问题之一。已对其野生近缘种及其种间杂种的幼苗在200和400 mM NaCl存在的情况下,以及成年植株在长期80 mM NaCl存在的情况下的生长参数(如株高、根长和鲜重)和几种生化胁迫标志物(叶绿素、总黄酮和脯氨酸)进行了测定,以评估它们对盐胁迫的反应。与大多数常见作物相比,栽培茄子表现出相对较高的耐盐性,这主要基于对离子运输和渗透溶质生物合成的控制。例如,在400 mM NaCl条件下,栽培茄子叶片钾含量(653.8 μmol g干重)相比野生近缘种(403 μmol g干重)出现盐诱导增加。尽管在盐存在的情况下生长没有实质性差异,但检测到野生近缘种对盐胁迫有更好反应的生化证据,如脯氨酸含量更高。杂种在中等盐胁迫水平下表现出比双亲更高的耐受性,具有更好的生长参数,如株高增加(7.3 cm)和鲜重(根鲜重增加240.4%,地上部鲜重增加113.3%)。对于大多数生化变量,杂种表现出介于两个亲本物种之间的中间行为,但对于脯氨酸,它更接近野生近缘种(在200 mM NaCl时约为2200 μmol g干重)。这些结果表明通过引入野生近缘种的基因培育茄子新耐盐品种的可能性。

https://cdn.ncbi.nlm.nih.gov/pmc/blobs/9eaf/9867010/bbf2333e845f/plants-12-00295-g001.jpg

文献AI研究员

20分钟写一篇综述,助力文献阅读效率提升50倍。

立即体验

用中文搜PubMed

大模型驱动的PubMed中文搜索引擎

马上搜索

文档翻译

学术文献翻译模型,支持多种主流文档格式。

立即体验