• 文献检索
  • 文档翻译
  • 深度研究
  • 学术资讯
  • Suppr Zotero 插件Zotero 插件
  • 邀请有礼
  • 套餐&价格
  • 历史记录
应用&插件
Suppr Zotero 插件Zotero 插件浏览器插件Mac 客户端Windows 客户端微信小程序
定价
高级版会员购买积分包购买API积分包
服务
文献检索文档翻译深度研究API 文档MCP 服务
关于我们
关于 Suppr公司介绍联系我们用户协议隐私条款
关注我们

Suppr 超能文献

核心技术专利:CN118964589B侵权必究
粤ICP备2023148730 号-1Suppr @ 2026

文献检索

告别复杂PubMed语法,用中文像聊天一样搜索,搜遍4000万医学文献。AI智能推荐,让科研检索更轻松。

立即免费搜索

文件翻译

保留排版,准确专业,支持PDF/Word/PPT等文件格式,支持 12+语言互译。

免费翻译文档

深度研究

AI帮你快速写综述,25分钟生成高质量综述,智能提取关键信息,辅助科研写作。

立即免费体验

用于镧系元素选择性分离的N-氧化物配体:计算研究的见解

N-oxide ligands for selective separations of lanthanides: insights from computation.

作者信息

Liu Tongyu, Ivanov Alexander S, Popovs Ilja, Jansone-Popova Santa, Jiang De-En

机构信息

Department of Chemistry, University of California Riverside CA 92521 USA.

Chemical Sciences Division, Oak Ridge National Laboratory 1 Bethel Valley Road Oak Ridge TN 37831 USA.

出版信息

RSC Adv. 2023 Jan 3;13(2):764-769. doi: 10.1039/d2ra07029d.

DOI:10.1039/d2ra07029d
PMID:36686929
原文链接:https://pmc.ncbi.nlm.nih.gov/articles/PMC9809209/
Abstract

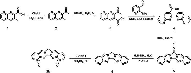
Preorganized ligands such as bis-lactam-1,10-phenanthroline (BLPhen) show unique selectivity trends across the lanthanide series, indicating the synergistic effects of both N and O donors in complexing with lanthanides. We hypothesize that by replacing amide functional groups with an N-oxide functionality would open the door to new ligand architectures with improved selectivities. To test this idea, we computationally examined mixed N,O-donor ligands containing pyridinic N and N-oxide groups and evaluated their relative aqueous La(iii)/Ln(iii) selectivity by computing free energy changes for the exchange reaction between the designed ligands and a reference ligand. Three novel ligands show promise as excellent extractant agents in selectively separating trivalent lanthanides. The extent of conjugation (and hyperconjugation), the complex geometry, and the electron accumulations on the two O-donors of the N-oxide groups are found to be important factors in dictating the selectivity trends.

摘要

预组织配体如双内酰胺-1,10-菲咯啉(BLPhen)在整个镧系元素系列中表现出独特的选择性趋势,这表明N和O供体在与镧系元素络合时具有协同效应。我们假设用N-氧化物官能团取代酰胺官能团将为具有更高选择性的新配体结构打开大门。为了验证这一想法,我们通过计算研究了含有吡啶N和N-氧化物基团的混合N,O供体配体,并通过计算设计配体与参考配体之间交换反应的自由能变化来评估它们相对的水相La(iii)/Ln(iii)选择性。三种新型配体有望成为选择性分离三价镧系元素的优秀萃取剂。发现共轭(和超共轭)程度、配合物几何形状以及N-氧化物基团的两个O供体上的电子积累是决定选择性趋势的重要因素。

https://cdn.ncbi.nlm.nih.gov/pmc/blobs/c7eb/9809209/4da462f2d27c/d2ra07029d-s2.jpg
https://cdn.ncbi.nlm.nih.gov/pmc/blobs/c7eb/9809209/c5f20ac2559e/d2ra07029d-s1.jpg
https://cdn.ncbi.nlm.nih.gov/pmc/blobs/c7eb/9809209/c2d04e7ee12a/d2ra07029d-f1.jpg
https://cdn.ncbi.nlm.nih.gov/pmc/blobs/c7eb/9809209/7705b8b525ef/d2ra07029d-f2.jpg
https://cdn.ncbi.nlm.nih.gov/pmc/blobs/c7eb/9809209/41d2cb18a5d1/d2ra07029d-f3.jpg
https://cdn.ncbi.nlm.nih.gov/pmc/blobs/c7eb/9809209/931cc83b0e60/d2ra07029d-f4.jpg
https://cdn.ncbi.nlm.nih.gov/pmc/blobs/c7eb/9809209/5babae13bb11/d2ra07029d-f5.jpg
https://cdn.ncbi.nlm.nih.gov/pmc/blobs/c7eb/9809209/4da462f2d27c/d2ra07029d-s2.jpg
https://cdn.ncbi.nlm.nih.gov/pmc/blobs/c7eb/9809209/c5f20ac2559e/d2ra07029d-s1.jpg
https://cdn.ncbi.nlm.nih.gov/pmc/blobs/c7eb/9809209/c2d04e7ee12a/d2ra07029d-f1.jpg
https://cdn.ncbi.nlm.nih.gov/pmc/blobs/c7eb/9809209/7705b8b525ef/d2ra07029d-f2.jpg
https://cdn.ncbi.nlm.nih.gov/pmc/blobs/c7eb/9809209/41d2cb18a5d1/d2ra07029d-f3.jpg
https://cdn.ncbi.nlm.nih.gov/pmc/blobs/c7eb/9809209/931cc83b0e60/d2ra07029d-f4.jpg
https://cdn.ncbi.nlm.nih.gov/pmc/blobs/c7eb/9809209/5babae13bb11/d2ra07029d-f5.jpg
https://cdn.ncbi.nlm.nih.gov/pmc/blobs/c7eb/9809209/4da462f2d27c/d2ra07029d-s2.jpg

相似文献

1
N-oxide ligands for selective separations of lanthanides: insights from computation.用于镧系元素选择性分离的N-氧化物配体:计算研究的见解
RSC Adv. 2023 Jan 3;13(2):764-769. doi: 10.1039/d2ra07029d.
2
Bis-lactam-1,10-phenanthroline (BLPhen), a New Type of Preorganized Mixed N,O-Donor Ligand That Separates Am(III) over Eu(III) with Exceptionally High Efficiency.双内酰胺-1,10-菲咯啉(BLPhen),一种新型的预组织混合氮、氧供体配体,能以极高效率实现镅(III)与铕(III)的分离。
Inorg Chem. 2017 May 15;56(10):5911-5917. doi: 10.1021/acs.inorgchem.7b00555. Epub 2017 May 4.
3
Efficient Separation of Light Lanthanides(III) by Using Bis-Lactam Phenanthroline Ligands.使用双内酰胺菲咯啉配体高效分离轻镧系元素(III)
Chemistry. 2019 May 2;25(25):6326-6331. doi: 10.1002/chem.201806443. Epub 2019 Mar 27.
4
Selectivity of the highly preorganized tetradentate ligand 2,9-di(pyrid-2-yl)-1,10-phenanthroline for metal ions in aqueous solution, including lanthanide(III) ions and the uranyl(VI) cation.高度预组织的四齿配体 2,9-二(吡啶-2-基)-1,10-菲咯啉在水溶液中对金属离子,包括镧系(III)离子和铀酰(VI)阳离子的选择性。
Inorg Chem. 2013 Jan 7;52(1):15-27. doi: 10.1021/ic3002509. Epub 2012 Dec 11.
5
Theoretical insights into selective separation of trivalent actinide and lanthanide by ester and amide ligands based on phenanthroline skeleton.基于菲咯啉骨架的酯类和酰胺类配体对三价锕系元素和镧系元素选择性分离的理论见解。
Dalton Trans. 2020 Apr 1;49(13):4093-4099. doi: 10.1039/d0dt00218f.
6
Complexation behavior of trivalent actinides and lanthanides with 1,10-phenanthroline-2,9-dicarboxylic acid based ligands: insight from density functional theory.基于 1,10-菲啰啉-2,9-二羧酸配体的三价锕系元素和镧系元素的配合行为:来自密度泛函理论的见解。
Phys Chem Chem Phys. 2012 Aug 21;14(31):11060-9. doi: 10.1039/c2cp40083a. Epub 2012 Jul 4.
7
Influence of a N-Heterocyclic Core on the Binding Capability of N,O-Hybrid Diamide Ligands toward Trivalent Lanthanides and Actinides.氮杂环核心对N,O-杂化二酰胺配体与三价镧系元素和锕系元素结合能力的影响。
Inorg Chem. 2021 Jun 21;60(12):8754-8764. doi: 10.1021/acs.inorgchem.1c00715. Epub 2021 Jun 2.
8
Tetradentate Ligand's Chameleon-Like Behavior Offers Recognition of Specific Lanthanides.四齿配体类似变色龙的行为有助于识别特定的镧系元素。
J Am Chem Soc. 2024 Sep 18;146(37):25669-25679. doi: 10.1021/jacs.4c07332. Epub 2024 Aug 13.
9
Hydrophilic sulfonated bis-1,2,4-triazine ligands are highly effective reagents for separating actinides(iii) from lanthanides(iii) selective formation of aqueous actinide complexes.亲水性磺化双-1,2,4-三嗪配体是用于从镧系元素(III)中分离锕系元素(III)的高效试剂,可选择性地形成锕系元素的水相配合物。
Chem Sci. 2015 Aug 1;6(8):4812-4821. doi: 10.1039/c5sc01328c. Epub 2015 May 28.
10
Preorganized Polyaromatic Soft Terdentate Hosts for the Capture of [Ln(β-diketonate) ] Guests in Solution.预组织的多环软齿状主体用于在溶液中捕获[Ln(β-二酮) ]客体。
Chemistry. 2023 Feb 16;29(10):e202202727. doi: 10.1002/chem.202202727. Epub 2023 Jan 4.

引用本文的文献

1
QM Investigation of Rare Earth Ion Interactions with First Hydration Shell Waters and Protein-Based Coordination Models.稀土离子与第一水合层水及基于蛋白质的配位模型相互作用的量子力学研究
J Phys Chem B. 2025 Feb 6;129(5):1529-1543. doi: 10.1021/acs.jpcb.4c07361. Epub 2025 Jan 23.

本文引用的文献

1
Atomistic Insights into Structure and Dynamics of Neodymium(III) Complexation with a Bis-lactam Phenanthroline Ligand in the Organic Phase.有机相中钕(III)与双内酰胺菲咯啉配体络合的结构与动力学的原子尺度见解
ACS Omega. 2022 Jun 9;7(24):21317-21324. doi: 10.1021/acsomega.2c02531. eCollection 2022 Jun 21.
2
Advancing Rare-Earth Separation by Machine Learning.通过机器学习推进稀土分离
JACS Au. 2022 Jun 15;2(6):1428-1434. doi: 10.1021/jacsau.2c00122. eCollection 2022 Jun 27.
3
Iridium-Catalyzed Ligand-Controlled Remote para-Selective C-H Activation and Borylation of Twisted Aromatic Amides.
铱催化的配体控制的扭曲芳族酰胺的远程对位选择性C-H活化和硼化反应
Angew Chem Int Ed Engl. 2022 Jul 4;61(27):e202203539. doi: 10.1002/anie.202203539. Epub 2022 May 5.
4
Rare Earth Starting Materials and Methodologies for Synthetic Chemistry.稀土起始材料与合成化学方法。
Chem Rev. 2022 Mar 23;122(6):6040-6116. doi: 10.1021/acs.chemrev.1c00842. Epub 2022 Jan 31.
5
Rare-Earth Doping in Nanostructured Inorganic Materials.稀土掺杂纳米结构无机材料。
Chem Rev. 2022 Mar 23;122(6):5519-5603. doi: 10.1021/acs.chemrev.1c00644. Epub 2022 Jan 6.
6
Rare-earth metal-organic frameworks: from structure to applications.稀土金属-有机骨架材料:从结构到应用。
Chem Soc Rev. 2020 Nov 21;49(22):7949-7977. doi: 10.1039/d0cs00292e. Epub 2020 Jul 13.
7
Rare-earth-containing perovskite nanomaterials: design, synthesis, properties and applications.含稀土钙钛矿纳米材料:设计、合成、性质及应用
Chem Soc Rev. 2020 Feb 24;49(4):1109-1143. doi: 10.1039/c9cs00330d.
8
Efficient Separation of Light Lanthanides(III) by Using Bis-Lactam Phenanthroline Ligands.使用双内酰胺菲咯啉配体高效分离轻镧系元素(III)
Chemistry. 2019 May 2;25(25):6326-6331. doi: 10.1002/chem.201806443. Epub 2019 Mar 27.
9
Rare earth elements: Mendeleev's bane, modern marvels.稀土元素:门捷列夫的难题,现代的奇迹。
Science. 2019 Feb 1;363(6426):489-493. doi: 10.1126/science.aau7628. Epub 2019 Jan 31.
10
Radioactive Main Group and Rare Earth Metals for Imaging and Therapy.放射性主族和稀土金属在成像和治疗中的应用。
Chem Rev. 2019 Jan 23;119(2):902-956. doi: 10.1021/acs.chemrev.8b00294. Epub 2018 Oct 31.