Suppr超能文献

表演训练中的互动及其在新手演员和专业演员身上的不同表现。

Interaction in acting training and its different manifestations in novice and professional actors.

作者信息

Sun Jingyan, Okada Takeshi

机构信息

Department of Interdisciplinary Information Studies, The University of Tokyo, Tokyo, Japan.

Department of Educational Psychology, The University of Tokyo, Tokyo, Japan.

出版信息

Front Psychol. 2023 Jan 9;13:949209. doi: 10.3389/fpsyg.2022.949209. eCollection 2022.

Abstract

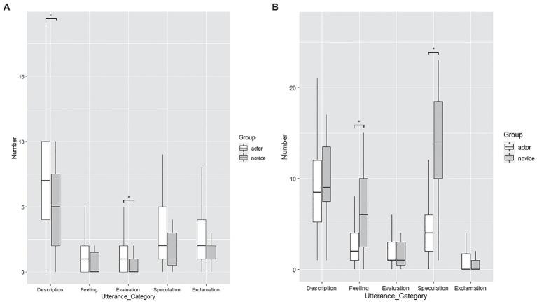
This study aimed to identify the characteristics of interactions during acting training and the underlying intrapersonal changes evoked by a training process that emphasizes paying attention to a partner (the Meisner technique). This was operationalized by conducting a analysis and categorizing the utterances made by novice and professional actors during acting training based on video and audio recordings. In Study 1, novice participants tended to change their way of communication as the course progressed, decreasing the number of utterances that simply described the partner's behavior and increasing those that speculated about the partner's inner state. We then used a different focus placed on the interaction, as implied by the different kinds of utterances used, to describe the divergences between novice and professional actors regarding their interaction characteristics. In Study 2, results showed that while professional actors devoted themselves more to the connection with their partner and demonstrated more balanced communication, novice actors relied on general inference to speculate about others' affective states. By comparing the characteristics of the utterances between novice and professional actors as they played different roles or made switches (i.e., changing from passive to active utterance in communication), this study suggests that an important impact of acting training on social abilities relates to its potential to increase the levels of involvement in on-going interactions.

摘要

本研究旨在确定表演训练过程中的互动特征,以及强调关注搭档(梅斯纳技巧)的训练过程所引发的潜在人际变化。这是通过进行分析并根据视频和音频记录对新手演员和专业演员在表演训练期间的话语进行分类来实现的。在研究1中,新手参与者倾向于随着课程的推进改变他们的交流方式,减少简单描述搭档行为的话语数量,增加推测搭档内心状态的话语数量。然后,我们根据所使用的不同类型的话语所暗示的对互动的不同关注,来描述新手演员和专业演员在互动特征方面的差异。在研究2中,结果表明,虽然专业演员更致力于与搭档的联系并表现出更平衡的交流,但新手演员依靠一般推断来推测他人的情感状态。通过比较新手演员和专业演员在扮演不同角色或进行转换(即从交流中的被动话语转变为主动话语)时话语的特征,本研究表明,表演训练对社交能力的一个重要影响与其增加对正在进行的互动的参与程度的潜力有关。

https://cdn.ncbi.nlm.nih.gov/pmc/blobs/19c0/9869025/225a5aa1a805/fpsyg-13-949209-g001.jpg

文献检索

告别复杂PubMed语法,用中文像聊天一样搜索,搜遍4000万医学文献。AI智能推荐,让科研检索更轻松。

立即免费搜索

文件翻译

保留排版,准确专业,支持PDF/Word/PPT等文件格式,支持 12+语言互译。

免费翻译文档

深度研究

AI帮你快速写综述,25分钟生成高质量综述,智能提取关键信息,辅助科研写作。

立即免费体验