Suppr超能文献

通过网络药理学和实验验证系统研究[药物名称]治疗脊髓损伤的药理机制。 (原文中“in the Treatment of Spinal Cord Injury by Network Pharmacology and Experimental Verification”前应该有具体药物名称,但未给出,翻译时补充了[药物名称])

Systematically Investigating the Pharmacological Mechanism of in the Treatment of Spinal Cord Injury by Network Pharmacology and Experimental Verification.

作者信息

Wang Jiling, Yang Zihong, Jiang Jie, Xv Yang, Tan Xiuwei, Chen Ruyu, Li Fengxin, Li Changqiu, Su Yiji

机构信息

The First Clinical Medical College of Guangxi Medical University, Nanning, China.

The Second Affiliated Hospital of Guangxi Medical University, Nanning, China.

出版信息

Evid Based Complement Alternat Med. 2023 Jan 25;2023:1638966. doi: 10.1155/2023/1638966. eCollection 2023.

Abstract

OBJECTIVE

This study aimed to explore the molecular mechanism of (MG) in spinal cord injury (SCI) by network pharmacology analysis.

METHODS

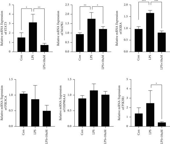
We searched for potential active MG compounds using the TCMSP database and the BATMAN-TCM platform. The Swiss target prediction database was used to find MG-related targets and the targets of SCI from the CTD, GeneCards, and DrugBank databases. Following that, a protein-protein interaction (PPI) study was carried out. Cytoscape software was used to calculate the hub gene, and R software was used to evaluate the Gene Ontology (GO) and KEGG enrichment pathways. Finally, molecular docking between the hub protein and important compounds was performed. We verified STAT3, MAPK1, HSP90AA1, PIK3R1, PIK3CA, and RXRA potential targets by quantitative PCR.

RESULTS

We obtained 293 MG-anti-SCI targets with potential therapeutic utility by intersecting 346 MG-related targets and 7214 SCI-related targets. The top 10 identified genes, ranking in descending order of value, were SRC, STAT3, MAPK1, HSP90AA1, PIK3R1, PIK3CA, RXRA, AKT1, CREBBP, and JAK2. Through enrichment analysis and literature search, 10 signaling pathways were screened out. The molecular docking of important drugs and hub targets revealed that some had a higher binding affinity. The results of quantitative PCR indicated that MAPK1, RXRA, and STAT3 were expressed differently in in vitro experiments.

CONCLUSION

In conclusion, the current work indicated that MG might play an anti-SCI role via multicomponent, multitarget, and multichannel interaction, which presents a novel idea for further research into the precise mechanism of MG-anti-SCI interaction.

摘要

目的

本研究旨在通过网络药理学分析探讨马栗树皮素(MG)在脊髓损伤(SCI)中的分子机制。

方法

我们使用中药系统药理学数据库与分析平台(TCMSP)和中药系统生物学数据库与分析平台(BATMAN-TCM)搜索潜在的活性MG化合物。利用瑞士靶点预测数据库从CTD、基因卡片(GeneCards)和药物银行(DrugBank)数据库中查找MG相关靶点和SCI的靶点。随后,进行蛋白质-蛋白质相互作用(PPI)研究。使用Cytoscape软件计算枢纽基因,使用R软件评估基因本体(GO)和京都基因与基因组百科全书(KEGG)富集通路。最后,进行枢纽蛋白与重要化合物之间的分子对接。我们通过定量PCR验证信号转导和转录激活因子3(STAT3)、丝裂原活化蛋白激酶1(MAPK1)、热休克蛋白90α家族成员A(HSP90AA1)、磷脂酰肌醇-3激酶调节亚基1(PIK3R1)、磷脂酰肌醇-3激酶催化亚基α(PIK3CA)和视黄酸受体α(RXRA)潜在靶点。

结果

通过将346个MG相关靶点与7214个SCI相关靶点相交,我们获得了293个具有潜在治疗作用的MG抗SCI靶点。确定的前10个基因按值降序排列依次为:原癌基因酪氨酸蛋白激酶(SRC)、STAT3、MAPK1、HSP90AA1、PIK3R1、PIK3CA、RXRA、蛋白激酶B1(AKT1)、环磷腺苷效应元件结合蛋白(CREBBP)和Janus激酶2(JAK2)。通过富集分析和文献检索,筛选出10条信号通路。重要药物与枢纽靶点的分子对接显示,有些具有较高的结合亲和力。定量PCR结果表明,MAPK1、RXRA和STAT3在体外实验中的表达存在差异。

结论

总之,目前的研究表明MG可能通过多成分、多靶点和多途径相互作用发挥抗SCI作用,这为进一步研究MG抗SCI相互作用的精确机制提出了新的思路。

https://cdn.ncbi.nlm.nih.gov/pmc/blobs/875a/9891827/e6f63579d544/ECAM2023-1638966.001.jpg

相似文献

1
Systematically Investigating the Pharmacological Mechanism of in the Treatment of Spinal Cord Injury by Network Pharmacology and Experimental Verification.
Evid Based Complement Alternat Med. 2023 Jan 25;2023:1638966. doi: 10.1155/2023/1638966. eCollection 2023.
2
Deciphering Pharmacological Mechanism of Buyang Huanwu Decoction for Spinal Cord Injury by Network Pharmacology Approach.
Evid Based Complement Alternat Med. 2021 Apr 22;2021:9921534. doi: 10.1155/2021/9921534. eCollection 2021.
3
Urolithin A as a Potential Drug for the Treatment of Spinal Cord Injuries: A Mechanistic Study Using Network Pharmacology Approaches.
Evid Based Complement Alternat Med. 2022 Apr 22;2022:9090113. doi: 10.1155/2022/9090113. eCollection 2022.

本文引用的文献

3
Structural Characteristics, Antioxidant and Hypoglycemic Activities of Polysaccharide from .
Molecules. 2022 Jun 29;27(13):4192. doi: 10.3390/molecules27134192.
4
Melatonin Synergizes With Methylprednisolone to Ameliorate Acute Spinal Cord Injury.
Front Pharmacol. 2022 Jan 13;12:723913. doi: 10.3389/fphar.2021.723913. eCollection 2021.
7
Network pharmacology: curing causal mechanisms instead of treating symptoms.
Trends Pharmacol Sci. 2022 Feb;43(2):136-150. doi: 10.1016/j.tips.2021.11.004. Epub 2021 Dec 9.
8
Antioxidant Role of Kaempferol in Prevention of Hepatocellular Carcinoma.
Antioxidants (Basel). 2021 Sep 5;10(9):1419. doi: 10.3390/antiox10091419.
10
Delving into the recent advancements of spinal cord injury treatment: a review of recent progress.
Neural Regen Res. 2022 Feb;17(2):283-291. doi: 10.4103/1673-5374.317961.

文献AI研究员

20分钟写一篇综述,助力文献阅读效率提升50倍。

立即体验

用中文搜PubMed

大模型驱动的PubMed中文搜索引擎

马上搜索

文档翻译

学术文献翻译模型,支持多种主流文档格式。

立即体验