Cerdá-Fuertes Nuria, Nagy Sara, Schaedelin Sabine, Sinnecker Tim, Ruberte Esther, Papadopoulou Athina, Würfel Jens, Kuhle Jens, Yaldizli Özgür, Kappos Ludwig, Derfuss Tobias, Décard Bernhard F
Neurology Clinic and Policlinic, Departments of Head, Spine and Neuromedicine, Biomedicine and Clinical Research, University Hospital Basel and University of Basel, Basel, Switzerland.
Translational Imaging in Neurology (ThINK) Basel, Department of Medicine and Biomedical Engineering, University Hospital Basel and University of Basel, Basel, Switzerland.
Ther Adv Neurol Disord. 2023 Feb 6;16:17562864221150312. doi: 10.1177/17562864221150312. eCollection 2023.
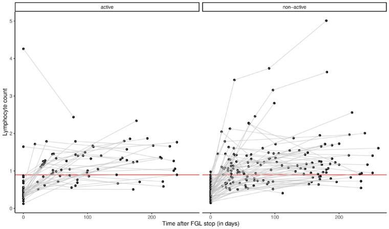
Clinical and radiological signs of recurring disease activity (RDA) have been described in patients with multiple sclerosis (pwMS) after discontinuation of fingolimod (FGL).
To describe frequency, severity and potential risk factors for RDA after FGL discontinuation in a large real-world cohort of pwMS.
Post-FGL RDA was defined as evidence of clinical and/or radiological activity within 6 months after FGL discontinuation. Relapses with Expanded Disability Status Scale increase ⩾2 points and/or magnetic resonance imaging (MRI) activity with at least five cerebral gadolinium-enhancing lesions and/or ⩾6 cerebral new T2 lesions were defined as severe recurring disease activity (sRDA). Using a multivariate logistic model, we explored the influence of age, disease duration, sex, clinical, and MRI activity under FGL on the occurrence of RDA.
We identified 110 pwMS who discontinued FGL. Thirty-seven (33.6%) developed post-FGL RDA and 13 (11.8%) also fulfilled criteria for sRDA. Younger age at diagnosis [odds ratio (OR) = 1.10, < 0.01], shorter disease duration (OR = 1.17, < 0.01), and MRI activity under FGL (OR = 2.92, = 0.046) were independent risk factors for the occurrence of post-FGL RDA.
Individual risk assessment and optimal treatment sequencing can help to minimize the risk of post-FGL RDA. Early switch to highly effective disease-modifying therapy might reduce occurrence of post-FGL RDA.
在停用芬戈莫德(FGL)后,多发性硬化症患者(pwMS)出现了复发性疾病活动(RDA)的临床和放射学体征。
描述在一个大型真实世界的pwMS队列中,停用FGL后RDA的频率、严重程度及潜在风险因素。
FGL停用后的RDA定义为FGL停用后6个月内临床和/或放射学活动的证据。扩展残疾状态量表增加≥2分的复发和/或磁共振成像(MRI)活动,伴有至少5个脑钆增强病灶和/或≥6个脑新T2病灶被定义为严重复发性疾病活动(sRDA)。使用多变量逻辑模型,我们探讨了年龄、病程、性别、FGL治疗期间的临床和MRI活动对RDA发生的影响。
我们确定了110例停用FGL的pwMS。37例(33.6%)出现了FGL停用后的RDA,13例(11.8%)也符合sRDA标准。诊断时年龄较小[比值比(OR)=1.10,P<0.01]、病程较短(OR=1.17,P<0.01)以及FGL治疗期间的MRI活动(OR=2.92,P=0.046)是FGL停用后RDA发生的独立危险因素。
个体风险评估和优化治疗顺序有助于将FGL停用后RDA的风险降至最低。早期转换为高效疾病修正治疗可能会减少FGL停用后RDA的发生。