• 文献检索
  • 文档翻译
  • 深度研究
  • 学术资讯
  • Suppr Zotero 插件Zotero 插件
  • 邀请有礼
  • 套餐&价格
  • 历史记录
应用&插件
Suppr Zotero 插件Zotero 插件浏览器插件Mac 客户端Windows 客户端微信小程序
定价
高级版会员购买积分包购买API积分包
服务
文献检索文档翻译深度研究API 文档MCP 服务
关于我们
关于 Suppr公司介绍联系我们用户协议隐私条款
关注我们

Suppr 超能文献

核心技术专利:CN118964589B侵权必究
粤ICP备2023148730 号-1Suppr @ 2026

文献检索

告别复杂PubMed语法,用中文像聊天一样搜索,搜遍4000万医学文献。AI智能推荐,让科研检索更轻松。

立即免费搜索

文件翻译

保留排版,准确专业,支持PDF/Word/PPT等文件格式,支持 12+语言互译。

免费翻译文档

深度研究

AI帮你快速写综述,25分钟生成高质量综述,智能提取关键信息,辅助科研写作。

立即免费体验

基于瞳孔变化的情绪检测

Emotion Detection Based on Pupil Variation.

作者信息

Lee Ching-Long, Pei Wen, Lin Yu-Cheng, Granmo Anders, Liu Kang-Hung

机构信息

Ph.D. Program of Management, Chung Hua University, Hsinchu 300, Taiwan.

Department of Business Administration, Chung Hua University, Hsinchu 300, Taiwan.

出版信息

Healthcare (Basel). 2023 Jan 21;11(3):322. doi: 10.3390/healthcare11030322.

DOI:10.3390/healthcare11030322
PMID:36766898
原文链接:https://pmc.ncbi.nlm.nih.gov/articles/PMC9914860/
Abstract

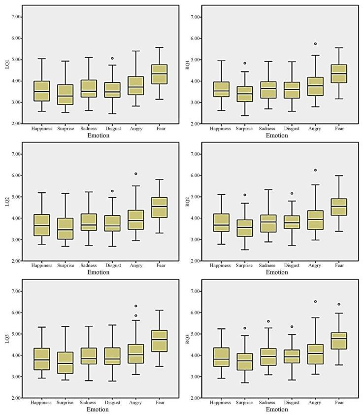
Emotion detection is a fundamental component in the field of Affective Computing. Proper recognition of emotions can be useful in improving the interaction between humans and machines, for instance, with regard to designing effective user interfaces. This study aims to understand the relationship between emotion and pupil dilation. The Tobii Pro X3-120 eye tracker was used to collect pupillary responses from 30 participants exposed to content designed to evoke specific emotions. Six different video scenarios were selected and presented to participants, whose pupillary responses were measured while watching the material. In total, 16 data features (8 features per eye) were extracted from the pupillary response distribution during content exposure. Through logistical regression, a maximum of 76% classification accuracy was obtained through the measurement of pupillary response in predicting emotions classified as fear, anger, or surprise. Further research is required to precisely calculate pupil size variations in relation to emotionally evocative input in affective computing applications.

摘要

情感检测是情感计算领域的一个基本组成部分。正确识别情感有助于改善人机交互,例如在设计有效的用户界面方面。本研究旨在了解情感与瞳孔扩张之间的关系。使用托比Pro X3-120眼动仪收集30名参与者在接触旨在引发特定情感的内容时的瞳孔反应。选择了六种不同的视频场景并呈现给参与者,在他们观看材料时测量其瞳孔反应。在内容呈现期间,从瞳孔反应分布中总共提取了16个数据特征(每只眼睛8个特征)。通过逻辑回归,通过测量瞳孔反应来预测被分类为恐惧、愤怒或惊讶的情感时,获得了高达76%的分类准确率。在情感计算应用中,需要进一步研究以精确计算与情感唤起输入相关的瞳孔大小变化。

https://cdn.ncbi.nlm.nih.gov/pmc/blobs/d0e3/9914860/18636d197cdb/healthcare-11-00322-g003.jpg
https://cdn.ncbi.nlm.nih.gov/pmc/blobs/d0e3/9914860/6e695fd581bf/healthcare-11-00322-g001.jpg
https://cdn.ncbi.nlm.nih.gov/pmc/blobs/d0e3/9914860/b85f77b5b23d/healthcare-11-00322-g002.jpg
https://cdn.ncbi.nlm.nih.gov/pmc/blobs/d0e3/9914860/18636d197cdb/healthcare-11-00322-g003.jpg
https://cdn.ncbi.nlm.nih.gov/pmc/blobs/d0e3/9914860/6e695fd581bf/healthcare-11-00322-g001.jpg
https://cdn.ncbi.nlm.nih.gov/pmc/blobs/d0e3/9914860/b85f77b5b23d/healthcare-11-00322-g002.jpg
https://cdn.ncbi.nlm.nih.gov/pmc/blobs/d0e3/9914860/18636d197cdb/healthcare-11-00322-g003.jpg

相似文献

1
Emotion Detection Based on Pupil Variation.基于瞳孔变化的情绪检测
Healthcare (Basel). 2023 Jan 21;11(3):322. doi: 10.3390/healthcare11030322.
2
What our eyes tell us about feelings: Tracking pupillary responses during emotion regulation processes.我们的眼睛告诉我们的情感信息:追踪情绪调节过程中的瞳孔反应。
Psychophysiology. 2017 Apr;54(4):508-518. doi: 10.1111/psyp.12816. Epub 2017 Jan 10.
3
Emotion differentiation through features of eye-tracking and pupil diameter for monitoring well-being.通过眼动追踪和瞳孔直径特征进行情绪分化以监测幸福感。
Annu Int Conf IEEE Eng Med Biol Soc. 2023 Jul;2023:1-4. doi: 10.1109/EMBC40787.2023.10340178.
4
Recognition of Emotions Conveyed by Touch Through Force-Sensitive Screens: Observational Study of Humans and Machine Learning Techniques.通过力敏屏幕识别触摸传达的情感:人类与机器学习技术的观察性研究。
JMIR Ment Health. 2018 Aug 30;5(3):e10104. doi: 10.2196/10104.
5
Emotion recognition from EEG using higher order crossings.基于高阶过零率的脑电图情感识别。
IEEE Trans Inf Technol Biomed. 2010 Mar;14(2):186-97. doi: 10.1109/TITB.2009.2034649. Epub 2009 Oct 23.
6
Infants show pupil dilatory responses to happy and angry facial expressions.婴儿对快乐和愤怒的面部表情会表现出瞳孔扩张反应。
Dev Sci. 2022 Mar;25(2):e13182. doi: 10.1111/desc.13182. Epub 2021 Oct 18.
7
Background luminance effects on pupil size associated with emotion and saccade preparation.背景亮度对与情绪和眼跳准备相关的瞳孔大小的影响。
Sci Rep. 2020 Sep 24;10(1):15718. doi: 10.1038/s41598-020-72954-z.
8
Machine Learning to Differentiate Between Positive and Negative Emotions Using Pupil Diameter.利用瞳孔直径通过机器学习区分积极情绪和消极情绪
Front Psychol. 2015 Dec 22;6:1921. doi: 10.3389/fpsyg.2015.01921. eCollection 2015.
9
Unaltered emotional experience in Parkinson's disease: Pupillometry and behavioral evidence.帕金森病中未改变的情感体验:瞳孔测量及行为学证据。
J Clin Exp Neuropsychol. 2018 Apr;40(3):303-316. doi: 10.1080/13803395.2017.1343802. Epub 2017 Jul 1.
10
Individual differences in pupil dilation to others' emotional and neutral eyes with varying pupil sizes.个体对他人情绪和中性眼神的瞳孔扩张存在差异,而瞳孔大小也存在差异。
Cogn Emot. 2022 Aug;36(5):928-942. doi: 10.1080/02699931.2022.2073973. Epub 2022 May 10.

引用本文的文献

1
Visual disgust constricts pupils in response to misophonic movies.视觉厌恶会使瞳孔在观看引发恐音症的影片时收缩。
Front Psychol. 2025 Aug 5;16:1569598. doi: 10.3389/fpsyg.2025.1569598. eCollection 2025.

本文引用的文献

1
Deep Sparse Autoencoder and Recursive Neural Network for EEG Emotion Recognition.用于脑电图情感识别的深度稀疏自动编码器和递归神经网络
Entropy (Basel). 2022 Aug 25;24(9):1187. doi: 10.3390/e24091187.
2
Sentiment Analysis and Emotion Recognition from Speech Using Universal Speech Representations.基于通用语音表示的语音情感分析和情绪识别。
Sensors (Basel). 2022 Aug 24;22(17):6369. doi: 10.3390/s22176369.
3
Interactive Application of Data Glove Based on Emotion Recognition and Judgment System.基于情感识别与判断系统的数据手套的交互应用。
Sensors (Basel). 2022 Aug 23;22(17):6327. doi: 10.3390/s22176327.
4
Facial Emotion Recognition in Verbal Communication Based on Deep Learning.基于深度学习的言语交际中的面部情绪识别。
Sensors (Basel). 2022 Aug 16;22(16):6105. doi: 10.3390/s22166105.
5
Effects of Data Augmentations on Speech Emotion Recognition.数据增强对语音情感识别的影响。
Sensors (Basel). 2022 Aug 9;22(16):5941. doi: 10.3390/s22165941.
6
Effects of Tai Chi and Walking Exercise on Emotional Face Recognition in Elderly People: An ERP Study.太极拳与步行运动对老年人情绪面孔识别的影响:一项事件相关电位研究
Healthcare (Basel). 2022 Aug 7;10(8):1486. doi: 10.3390/healthcare10081486.
7
Fatigue and Arousal Modulations Revealed by Saccade and Pupil Dynamics.眼跳和瞳孔动力学揭示的疲劳和觉醒调节
Int J Environ Res Public Health. 2022 Jul 28;19(15):9234. doi: 10.3390/ijerph19159234.
8
Cortical Correlates of Increased Postural Task Difficulty in Young Adults: A Combined Pupillometry and EEG Study.年轻人姿势任务难度增加的皮质相关因素:瞳孔测量和脑电图联合研究。
Sensors (Basel). 2022 Jul 26;22(15):5594. doi: 10.3390/s22155594.
9
Emotion Recognition for Partial Faces Using a Feature Vector Technique.基于特征向量技术的部分人脸表情识别
Sensors (Basel). 2022 Jun 19;22(12):4633. doi: 10.3390/s22124633.
10
Individual differences in pupil dilation to others' emotional and neutral eyes with varying pupil sizes.个体对他人情绪和中性眼神的瞳孔扩张存在差异,而瞳孔大小也存在差异。
Cogn Emot. 2022 Aug;36(5):928-942. doi: 10.1080/02699931.2022.2073973. Epub 2022 May 10.