• 文献检索
  • 文档翻译
  • 深度研究
  • 学术资讯
  • Suppr Zotero 插件Zotero 插件
  • 邀请有礼
  • 套餐&价格
  • 历史记录
应用&插件
Suppr Zotero 插件Zotero 插件浏览器插件Mac 客户端Windows 客户端微信小程序
定价
高级版会员购买积分包购买API积分包
服务
文献检索文档翻译深度研究API 文档MCP 服务
关于我们
关于 Suppr公司介绍联系我们用户协议隐私条款
关注我们

Suppr 超能文献

核心技术专利:CN118964589B侵权必究
粤ICP备2023148730 号-1Suppr @ 2026

文献检索

告别复杂PubMed语法,用中文像聊天一样搜索,搜遍4000万医学文献。AI智能推荐,让科研检索更轻松。

立即免费搜索

文件翻译

保留排版,准确专业,支持PDF/Word/PPT等文件格式,支持 12+语言互译。

免费翻译文档

深度研究

AI帮你快速写综述,25分钟生成高质量综述,智能提取关键信息,辅助科研写作。

立即免费体验

产前全氟和多氟烷基物质暴露与后代神经行为问题的关联:一项荟萃分析。

The Association between Prenatal Per- and Polyfluoroalkyl Substances Exposure and Neurobehavioral Problems in Offspring: A Meta-Analysis.

机构信息

Department of Public Health and Preventive Medicine, School of Medicine, Jinan University, No. 601 Huangpu Ave West, Guangzhou 510632, China.

Guangzhou Center for Disease Control and Prevention, Guangzhou 510440, China.

出版信息

Int J Environ Res Public Health. 2023 Jan 17;20(3):1668. doi: 10.3390/ijerph20031668.

DOI:10.3390/ijerph20031668
PMID:36767045
原文链接:https://pmc.ncbi.nlm.nih.gov/articles/PMC9914055/
Abstract

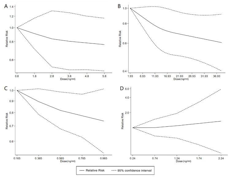
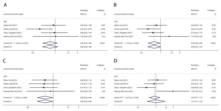
Exposure to per- and polyfluoroalkyl substances (PFAS) during pregnancy has been suggested to be associated with neurobehavioral problems in offspring. However, current epidemiological studies on the association between prenatal PFAS exposure and neurobehavioral problems among offspring, especially attention deficit/hyperactivity disorder (ADHD) and autism spectrum disorder (ASD), are inconsistent. Therefore, we aimed to study the relationship between PFAS exposure during pregnancy and ADHD and ASD in offspring based on meta-analyses. Online databases, including PubMed, EMBASE, and Web of Science, were searched comprehensively for eligible studies conducted before July 2021. Eleven studies (up to 8493 participants) were included in this analysis. The pooled results demonstrated that exposure to perfluorooctanoate (PFOA) was positively associated with ADHD in the highest quartile group. Negative associations were observed between perfluorooctane sulfonate (PFOS) and ADHD/ASD, including between perfluorononanoate (PFNA) and ASD. There were no associations found between total PFAS concentration groups and neurobehavioral problems. The trial sequential analyses showed unstable results. Our findings indicated that PFOA and PFOS exposure during pregnancy might be associated with ADHD in offspring and that prenatal PFOS and PFNA exposure might be associated with ASD in offspring. According to the limited evidence obtained for most associations, additional studies are required to validate these findings.

摘要

孕期接触全氟和多氟烷基物质(PFAS)与后代神经行为问题有关。然而,目前关于产前 PFAS 暴露与后代神经行为问题(尤其是注意缺陷多动障碍(ADHD)和自闭症谱系障碍(ASD))之间关联的流行病学研究结果并不一致。因此,我们旨在通过荟萃分析研究孕期 PFAS 暴露与后代 ADHD 和 ASD 之间的关系。全面检索了 PubMed、EMBASE 和 Web of Science 等在线数据库,以获取截至 2021 年 7 月之前开展的合格研究。本分析纳入了 11 项研究(共 8493 名参与者)。汇总结果表明,在最高四分位组中,接触全氟辛烷磺酸(PFOS)与 ADHD 呈负相关,接触全氟辛酸(PFOA)与 ADHD 呈正相关。全氟壬酸(PFNA)与 ASD 之间也存在负相关。总 PFAS 浓度组与神经行为问题之间无关联。试验序贯分析显示结果不稳定。我们的研究结果表明,孕期接触 PFOA 和 PFOS 可能与后代的 ADHD 有关,而孕期接触 PFOS 和 PFNA 可能与后代的 ASD 有关。鉴于大多数关联的证据有限,需要开展更多的研究来验证这些发现。

https://cdn.ncbi.nlm.nih.gov/pmc/blobs/8465/9914055/76a50c445ac5/ijerph-20-01668-g007.jpg
https://cdn.ncbi.nlm.nih.gov/pmc/blobs/8465/9914055/1d325188ebee/ijerph-20-01668-g001.jpg
https://cdn.ncbi.nlm.nih.gov/pmc/blobs/8465/9914055/f13f100c5958/ijerph-20-01668-g002.jpg
https://cdn.ncbi.nlm.nih.gov/pmc/blobs/8465/9914055/716197596ee6/ijerph-20-01668-g003.jpg
https://cdn.ncbi.nlm.nih.gov/pmc/blobs/8465/9914055/5c933f9601e1/ijerph-20-01668-g004.jpg
https://cdn.ncbi.nlm.nih.gov/pmc/blobs/8465/9914055/48f6a146462c/ijerph-20-01668-g005.jpg
https://cdn.ncbi.nlm.nih.gov/pmc/blobs/8465/9914055/cf1a09f87e2f/ijerph-20-01668-g006.jpg
https://cdn.ncbi.nlm.nih.gov/pmc/blobs/8465/9914055/76a50c445ac5/ijerph-20-01668-g007.jpg
https://cdn.ncbi.nlm.nih.gov/pmc/blobs/8465/9914055/1d325188ebee/ijerph-20-01668-g001.jpg
https://cdn.ncbi.nlm.nih.gov/pmc/blobs/8465/9914055/f13f100c5958/ijerph-20-01668-g002.jpg
https://cdn.ncbi.nlm.nih.gov/pmc/blobs/8465/9914055/716197596ee6/ijerph-20-01668-g003.jpg
https://cdn.ncbi.nlm.nih.gov/pmc/blobs/8465/9914055/5c933f9601e1/ijerph-20-01668-g004.jpg
https://cdn.ncbi.nlm.nih.gov/pmc/blobs/8465/9914055/48f6a146462c/ijerph-20-01668-g005.jpg
https://cdn.ncbi.nlm.nih.gov/pmc/blobs/8465/9914055/cf1a09f87e2f/ijerph-20-01668-g006.jpg
https://cdn.ncbi.nlm.nih.gov/pmc/blobs/8465/9914055/76a50c445ac5/ijerph-20-01668-g007.jpg

相似文献

1
The Association between Prenatal Per- and Polyfluoroalkyl Substances Exposure and Neurobehavioral Problems in Offspring: A Meta-Analysis.产前全氟和多氟烷基物质暴露与后代神经行为问题的关联:一项荟萃分析。
Int J Environ Res Public Health. 2023 Jan 17;20(3):1668. doi: 10.3390/ijerph20031668.
2
Prenatal exposure to per- and polyfluoroalkyl substances (PFAS) and associations with attention-deficit/hyperactivity disorder and autism spectrum disorder in children.产前暴露于全氟和多氟烷基物质(PFAS)与儿童注意缺陷/多动障碍和自闭症谱系障碍的关联。
Environ Res. 2021 Nov;202:111692. doi: 10.1016/j.envres.2021.111692. Epub 2021 Jul 19.
3
Prenatal exposure to per- and polyfluoroalkyl substances in association with autism spectrum disorder in the MARBLES study.MARBLES 研究中,围产期暴露于全氟和多氟烷基物质与自闭症谱系障碍的关联。
Environ Int. 2021 Feb;147:106328. doi: 10.1016/j.envint.2020.106328. Epub 2020 Dec 30.
4
Modeled prenatal exposure to per- and polyfluoroalkyl substances in association with child autism spectrum disorder: A case-control study.模型化产前暴露于全氟和多氟烷基物质与儿童自闭症谱系障碍的关联:一项病例对照研究。
Environ Res. 2020 Jul;186:109514. doi: 10.1016/j.envres.2020.109514. Epub 2020 Apr 14.
5
Prenatal exposure to per- and polyfluoroalkyl substances (PFAS) and neurobehavior in US children through 8 years of age: The HOME study.孕期暴露于全氟和多氟烷基物质(PFAS)与美国儿童 8 岁内神经行为的关系:家庭环境研究。
Environ Res. 2021 Apr;195:110825. doi: 10.1016/j.envres.2021.110825. Epub 2021 Feb 2.
6
Attention deficit/hyperactivity disorder and childhood autism in association with prenatal exposure to perfluoroalkyl substances: a nested case-control study in the Danish National Birth Cohort.注意缺陷/多动障碍和儿童自闭症与产前暴露于全氟烷基物质的关联:丹麦国家出生队列中的一项巢式病例对照研究
Environ Health Perspect. 2015 Apr;123(4):367-73. doi: 10.1289/ehp.1408412. Epub 2014 Dec 19.
7
Prenatal exposure to per- and polyfluoroalkyl substances and child behavioral problems.产前暴露于全氟和多氟烷基物质与儿童行为问题。
Environ Res. 2024 Jun 15;251(Pt 1):118511. doi: 10.1016/j.envres.2024.118511. Epub 2024 Feb 21.
8
Prenatal Maternal Serum Concentrations of Per- and Polyfluoroalkyl Substances in Association with Autism Spectrum Disorder and Intellectual Disability.产前母血清中全氟和多氟烷基物质的浓度与自闭症谱系障碍和智力残疾的关系。
Environ Health Perspect. 2018 Jan 2;126(1):017001. doi: 10.1289/EHP1830.
9
Per- and polyfluoroalkyl substances exposure during pregnancy and adverse pregnancy and birth outcomes: A systematic review and meta-analysis.孕期暴露于全氟和多氟烷基物质与不良妊娠和出生结局:系统评价和荟萃分析。
Environ Res. 2021 Oct;201:111632. doi: 10.1016/j.envres.2021.111632. Epub 2021 Jul 6.
10
Prenatal exposure to perfluoroalkyl substances and birth outcomes in a Spanish birth cohort.孕期暴露于全氟烷基物质与西班牙出生队列的出生结局。
Environ Int. 2017 Nov;108:278-284. doi: 10.1016/j.envint.2017.09.006.

引用本文的文献

1
PFAS Exposure, Mental Health, and Environmental Justice in the United States: Impacts on Marginalized Communities.美国的全氟和多氟烷基物质暴露、心理健康与环境正义:对边缘化社区的影响
Int J Environ Res Public Health. 2025 Jul 15;22(7):1116. doi: 10.3390/ijerph22071116.
2
Serum Concentration of Selected Per- and Polyfluoroalkyl Substances (PFAS) by Industry and Occupational Groups Among US Adult Workers, NHANES 2005-2014.2005 - 2014年美国成年工人中按行业和职业群体划分的选定全氟和多氟烷基物质(PFAS)的血清浓度,美国国家健康与营养检查调查(NHANES)
Am J Ind Med. 2025 Jun;68(6):531-542. doi: 10.1002/ajim.23726. Epub 2025 Apr 28.
3

本文引用的文献

1
No association between maternal and child PFAS concentrations and repeated measures of ADHD symptoms at age 2½ and 5 years in children from the Odense Child Cohort.在奥登塞儿童队列中,母亲和儿童体内的全氟和多氟烷基物质浓度与 2 岁半和 5 岁时儿童注意缺陷多动障碍症状的重复测量值之间无关联。
Neurotoxicol Teratol. 2021 Nov-Dec;88:107031. doi: 10.1016/j.ntt.2021.107031. Epub 2021 Sep 24.
2
Prenatal exposure to per- and polyfluoroalkyl substances (PFAS) and associations with attention-deficit/hyperactivity disorder and autism spectrum disorder in children.产前暴露于全氟和多氟烷基物质(PFAS)与儿童注意缺陷/多动障碍和自闭症谱系障碍的关联。
Environ Res. 2021 Nov;202:111692. doi: 10.1016/j.envres.2021.111692. Epub 2021 Jul 19.
3
Chemical Pollutant Exposure in Neurodevelopmental Disorders: Integrating Toxicogenomic and Transcriptomic Evidence to Elucidate Shared Biological Mechanisms and Developmental Signatures.
神经发育障碍中的化学污染物暴露:整合毒理基因组学和转录组学证据以阐明共同的生物学机制和发育特征
Toxics. 2025 Apr 8;13(4):282. doi: 10.3390/toxics13040282.
4
Effects of Early-life PFAS Exposure on Child Neurodevelopment: A Review of the Evidence and Research gaps.早年全氟烷基和多氟烷基物质暴露对儿童神经发育的影响:证据及研究空白综述
Curr Environ Health Rep. 2025 Jan 31;12(1):9. doi: 10.1007/s40572-024-00464-5.
5
Endocrine Disruptors in Pregnancy: Effects on Mothers and Fetuses-A Review.孕期内分泌干扰物:对母亲和胎儿的影响——综述
J Clin Med. 2024 Sep 19;13(18):5549. doi: 10.3390/jcm13185549.
6
Environmental pollutants as risk factors for autism spectrum disorders: a systematic review and meta-analysis of cohort studies.环境污染物作为自闭症谱系障碍的风险因素:队列研究的系统评价和荟萃分析。
BMC Public Health. 2024 Sep 3;24(1):2388. doi: 10.1186/s12889-024-19742-w.
7
Engineering human midbrain organoid microphysiological systems to model prenatal PFOS exposure.工程化人类中脑组织类器官微生理系统以模拟产前全氟辛烷磺酸暴露。
Sci Total Environ. 2024 Oct 15;947:174478. doi: 10.1016/j.scitotenv.2024.174478. Epub 2024 Jul 2.
8
Research Progress on Neurodevelopmental Toxicity in Offspring after Indirect Exposure to PFASs in Early Life.早年间接接触全氟和多氟烷基物质后子代神经发育毒性的研究进展
Toxics. 2023 Jun 30;11(7):571. doi: 10.3390/toxics11070571.
Per- and polyfluoroalkyl substances exposure during pregnancy and adverse pregnancy and birth outcomes: A systematic review and meta-analysis.
孕期暴露于全氟和多氟烷基物质与不良妊娠和出生结局:系统评价和荟萃分析。
Environ Res. 2021 Oct;201:111632. doi: 10.1016/j.envres.2021.111632. Epub 2021 Jul 6.
4
Prenatal exposure to per- and polyfluoroalkyl substances (PFAS) and neurobehavior in US children through 8 years of age: The HOME study.孕期暴露于全氟和多氟烷基物质(PFAS)与美国儿童 8 岁内神经行为的关系:家庭环境研究。
Environ Res. 2021 Apr;195:110825. doi: 10.1016/j.envres.2021.110825. Epub 2021 Feb 2.
5
Prenatal exposure to per- and polyfluoroalkyl substances in association with autism spectrum disorder in the MARBLES study.MARBLES 研究中,围产期暴露于全氟和多氟烷基物质与自闭症谱系障碍的关联。
Environ Int. 2021 Feb;147:106328. doi: 10.1016/j.envint.2020.106328. Epub 2020 Dec 30.
6
Early life exposure to per- and polyfluoroalkyl substances (PFAS) and latent health outcomes: A review including the placenta as a target tissue and possible driver of peri- and postnatal effects.早期接触全氟和多氟烷基物质(PFAS)与潜在健康后果:综述包括胎盘作为靶组织和围产期及产后影响的可能驱动因素。
Toxicology. 2020 Oct;443:152565. doi: 10.1016/j.tox.2020.152565. Epub 2020 Aug 27.
7
Prenatal exposure to perfluoroalkyl substances and behavioral difficulties in childhood at 7 and 11 years.儿童在 7 岁和 11 岁时,产前暴露于全氟烷基物质与行为困难的关系。
Environ Res. 2020 Dec;191:110111. doi: 10.1016/j.envres.2020.110111. Epub 2020 Aug 23.
8
Calcium signaling as a possible mechanism behind increased locomotor response in zebrafish larvae exposed to a human relevant persistent organic pollutant mixture or PFOS.钙信号作为斑马鱼幼鱼在暴露于人类相关持久性有机污染物混合物或全氟辛烷磺酸时运动反应增加的可能机制。
Environ Res. 2020 Aug;187:109702. doi: 10.1016/j.envres.2020.109702. Epub 2020 May 20.
9
Evidence of Air Dispersion: HFPO-DA and PFOA in Ohio and West Virginia Surface Water and Soil near a Fluoropolymer Production Facility.空气中的分散证据:在一家氟聚合物生产设施附近的俄亥俄州和西弗吉尼亚州地表水和土壤中的 HFPO-DA 和 PFOA。
Environ Sci Technol. 2020 Jun 16;54(12):7175-7184. doi: 10.1021/acs.est.9b07384. Epub 2020 May 27.
10
Early Life Exposure to Perfluoroalkyl Substances (PFAS) and ADHD: A Meta-Analysis of Nine European Population-Based Studies.早期接触全氟烷基物质 (PFAS) 与 ADHD 之间的关系:九项欧洲基于人群的研究的荟萃分析。
Environ Health Perspect. 2020 May;128(5):57002. doi: 10.1289/EHP5444. Epub 2020 May 6.