• 文献检索
  • 文档翻译
  • 深度研究
  • 学术资讯
  • Suppr Zotero 插件Zotero 插件
  • 邀请有礼
  • 套餐&价格
  • 历史记录
应用&插件
Suppr Zotero 插件Zotero 插件浏览器插件Mac 客户端Windows 客户端微信小程序
定价
高级版会员购买积分包购买API积分包
服务
文献检索文档翻译深度研究API 文档MCP 服务
关于我们
关于 Suppr公司介绍联系我们用户协议隐私条款
关注我们

Suppr 超能文献

核心技术专利:CN118964589B侵权必究
粤ICP备2023148730 号-1Suppr @ 2026

文献检索

告别复杂PubMed语法,用中文像聊天一样搜索,搜遍4000万医学文献。AI智能推荐,让科研检索更轻松。

立即免费搜索

文件翻译

保留排版,准确专业,支持PDF/Word/PPT等文件格式,支持 12+语言互译。

免费翻译文档

深度研究

AI帮你快速写综述,25分钟生成高质量综述,智能提取关键信息,辅助科研写作。

立即免费体验

比较乳腺癌手术患者使用单靶控输注泵输注混合异丙酚和瑞芬太尼与使用双靶控输注泵输注异丙酚和瑞芬太尼:一项前瞻性研究。

Comparison of Single Target-Controlled Infusion Pump-Delivered Mixed Propofol and Remifentanil with Two Target-Controlled Infusion Pumps-Delivered Propofol and Remifentanil in Patients Undergoing Breast Cancer Surgery-A Prospective Study.

机构信息

Department of Anesthesiology, Tri-Service General Hospital and National Defense Medical Center, Taipei 11490, Taiwan.

Division of General Surgery, Department of Surgery, Tri-Service General Hospital and National Defense Medical Center, Taipei 11490, Taiwan.

出版信息

Int J Environ Res Public Health. 2023 Jan 23;20(3):2094. doi: 10.3390/ijerph20032094.

DOI:10.3390/ijerph20032094
PMID:36767461
原文链接:https://pmc.ncbi.nlm.nih.gov/articles/PMC9915350/
Abstract

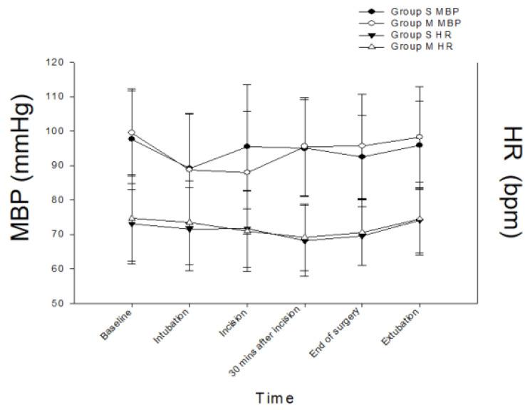
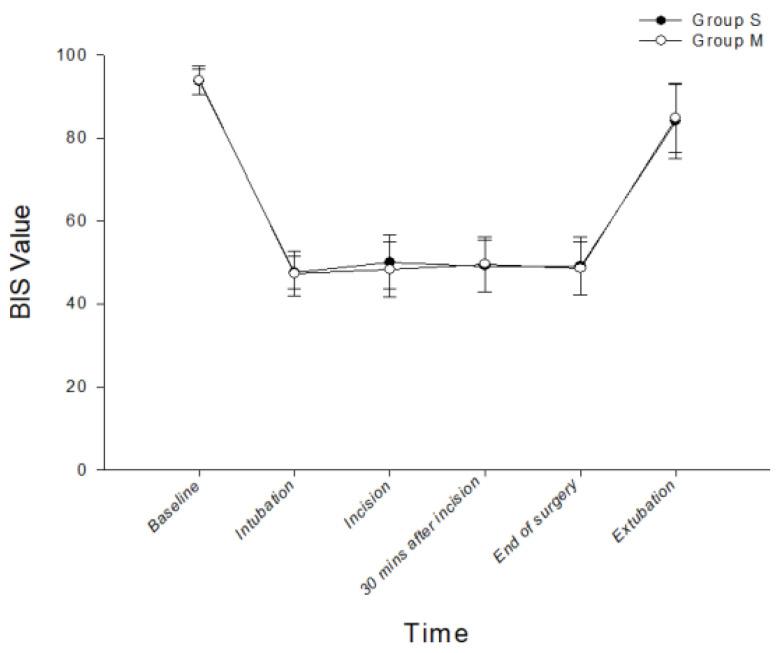
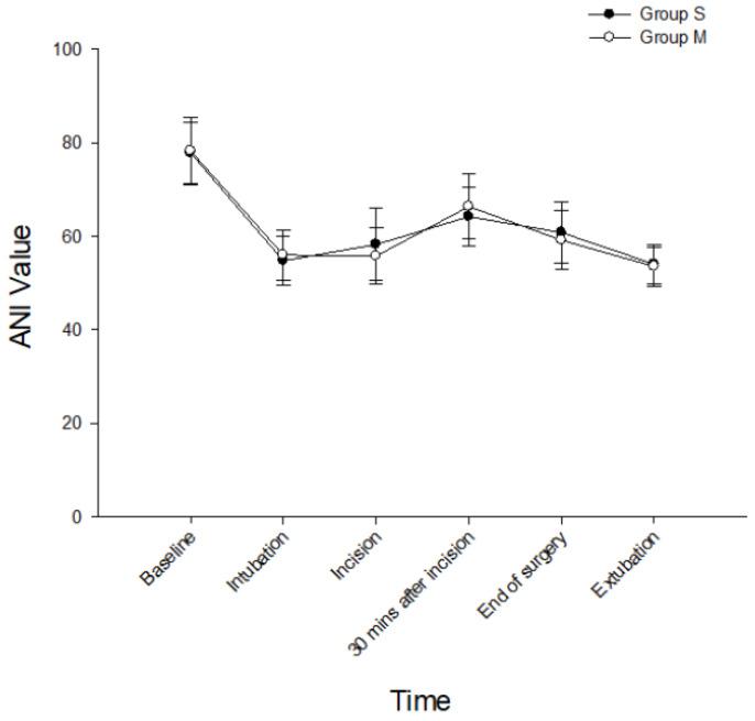
Total intravenous anesthesia (TIVA) with remifentanil and propofol (RP) is considered to be an ideal type of general anesthesia (GA) for pediatric and adult patients undergoing medical procedures. However, delivery of an RP mixture by target-controlled infusion (TCI) for GA in surgical procedures has not been described. We investigated the merit of this approach for breast cancer surgery. Eighty-four patients (n = 42 per group) were randomly allocated to propofol and remifentanil either delivered by separate TCI pumps (S group) or in an RP mixture by a single TCI pump (M group). Dosages were adjusted based on the bispectral index (BIS) and the analgesia nociception index (ANI). The primary outcomes were adequate anesthesia (BIS 40-60 and ANI 50-70, respectively), acceptable hemodynamic fluctuations (<30% of baseline) with less frequent TCI pump adjustments, bolus injections of anesthetics, and total consumption of anesthetics during the procedure. The secondary endpoints included time of emergence from anesthesia, patient satisfaction, postoperative pain, rescue with opioids, and adverse events. The characteristics of patients, hemodynamic parameters, BIS and ANI scores, duration of surgery, anesthesia, and emergence were not significantly different between groups. The adjustment frequency of TCI was significantly higher in the S group (3 (range 0-6) vs. 2 (0-6) times; = 0.005). The total dosage of anesthetics, pain rating, patient satisfaction, need for opioids postoperatively, and incidence of adverse events were not significantly different. We have demonstrated that this RP mixture provided adequate hypnotic and analgesic effects under BIS and ANI monitoring in patients undergoing breast cancer surgery within 1 h.

摘要

全凭静脉麻醉(TIVA)联合瑞芬太尼和丙泊酚(RP)被认为是小儿和成人患者接受医疗程序的理想全身麻醉(GA)类型。然而,通过靶控输注(TCI)输送 RP 混合物用于手术中的 GA 尚未被描述。我们研究了这种方法在乳腺癌手术中的优点。84 名患者(每组 n = 42)随机分配到丙泊酚和瑞芬太尼分别通过单独的 TCI 泵(S 组)或通过单个 TCI 泵(M 组)输送。剂量根据脑电双频指数(BIS)和镇痛/伤害感受指数(ANI)进行调整。主要结局是足够的麻醉(BIS 分别为 40-60 和 ANI 分别为 50-70),可接受的血流动力学波动(<基线的 30%),较少的 TCI 泵调整,麻醉剂的推注和手术过程中麻醉剂的总消耗。次要终点包括麻醉苏醒时间、患者满意度、术后疼痛、阿片类药物解救和不良事件。患者特征、血流动力学参数、BIS 和 ANI 评分、手术、麻醉和苏醒时间在组间无显著差异。S 组 TCI 的调整频率明显更高(3(范围 0-6)次比 2(0-6)次;= 0.005)。麻醉剂的总剂量、疼痛评分、患者满意度、术后对阿片类药物的需求以及不良事件的发生率无显著差异。我们已经证明,在乳腺癌手术中,这种 RP 混合物在 1 小时内通过 BIS 和 ANI 监测提供了足够的催眠和镇痛效果。

https://cdn.ncbi.nlm.nih.gov/pmc/blobs/3080/9915350/7f7f0fcc5ec0/ijerph-20-02094-g004.jpg
https://cdn.ncbi.nlm.nih.gov/pmc/blobs/3080/9915350/968d626554f5/ijerph-20-02094-g001.jpg
https://cdn.ncbi.nlm.nih.gov/pmc/blobs/3080/9915350/32b43d102f29/ijerph-20-02094-g002.jpg
https://cdn.ncbi.nlm.nih.gov/pmc/blobs/3080/9915350/411ab7b87488/ijerph-20-02094-g003.jpg
https://cdn.ncbi.nlm.nih.gov/pmc/blobs/3080/9915350/7f7f0fcc5ec0/ijerph-20-02094-g004.jpg
https://cdn.ncbi.nlm.nih.gov/pmc/blobs/3080/9915350/968d626554f5/ijerph-20-02094-g001.jpg
https://cdn.ncbi.nlm.nih.gov/pmc/blobs/3080/9915350/32b43d102f29/ijerph-20-02094-g002.jpg
https://cdn.ncbi.nlm.nih.gov/pmc/blobs/3080/9915350/411ab7b87488/ijerph-20-02094-g003.jpg
https://cdn.ncbi.nlm.nih.gov/pmc/blobs/3080/9915350/7f7f0fcc5ec0/ijerph-20-02094-g004.jpg

相似文献

1
Comparison of Single Target-Controlled Infusion Pump-Delivered Mixed Propofol and Remifentanil with Two Target-Controlled Infusion Pumps-Delivered Propofol and Remifentanil in Patients Undergoing Breast Cancer Surgery-A Prospective Study.比较乳腺癌手术患者使用单靶控输注泵输注混合异丙酚和瑞芬太尼与使用双靶控输注泵输注异丙酚和瑞芬太尼:一项前瞻性研究。
Int J Environ Res Public Health. 2023 Jan 23;20(3):2094. doi: 10.3390/ijerph20032094.
2
Cost analysis of target-controlled infusion-based anesthesia compared with standard anesthesia regimens.基于靶控输注的麻醉与标准麻醉方案的成本分析。
Anesth Analg. 1999 Jan;88(1):77-82. doi: 10.1097/00000539-199901000-00015.
3
Comparison of the time to extubation after use of remifentanil or sufentanil in combination with propofol as anesthesia in adults undergoing nonemergency intracranial surgery: a prospective, randomized, double-blind trial.瑞芬太尼或舒芬太尼联合丙泊酚用于非急诊颅内手术成年患者麻醉后拔管时间的比较:一项前瞻性、随机、双盲试验。
Clin Ther. 2006 Apr;28(4):560-8. doi: 10.1016/j.clinthera.2006.04.001.
4
[Comparative study on two total intravenous anesthesia techniques in complex spine surgery].[复杂脊柱手术中两种全静脉麻醉技术的比较研究]
Beijing Da Xue Xue Bao Yi Xue Ban. 2013 Jun 18;45(3):474-9.
5
Automated titration of propofol and remifentanil decreases the anesthesiologist's workload during vascular or thoracic surgery: a randomized prospective study.丙泊酚和瑞芬太尼自动滴定可降低血管或胸科手术期间麻醉医生的工作量:一项随机前瞻性研究。
J Clin Monit Comput. 2014 Feb;28(1):35-40. doi: 10.1007/s10877-013-9453-6. Epub 2013 Mar 15.
6
Target-controlled infusion for remifentanil in vascular patients improves hemodynamics and decreases remifentanil requirement.血管疾病患者使用瑞芬太尼的靶控输注可改善血流动力学并减少瑞芬太尼用量。
Anesth Analg. 2003 Jan;96(1):33-8, table of contents. doi: 10.1097/00000539-200301000-00008.
7
Analgesia nociception index (ani) monitoring in patients with thoracic paravertebral block: a randomized controlled study.胸椎旁阻滞患者的镇痛伤害感受指数(ANI)监测:一项随机对照研究。
J Clin Monit Comput. 2018 Jun;32(3):481-486. doi: 10.1007/s10877-017-0036-9. Epub 2017 Jun 19.
8
[Effect of ear point embedding on plasma and effect site concentrations of propofol-remifentanil in elderly patients after target-controlled induction].耳穴埋针对老年患者靶控诱导后丙泊酚-瑞芬太尼血浆及效应室浓度的影响
Zhongguo Zhen Jiu. 2017 Aug 12;37(8):869-873. doi: 10.13703/j.0255-2930.2017.08.017.
9
Effects of neoadjuvant chemotherapy on the depth of total intravenous anesthesia in patients with breast cancer undergoing unilateral modified radical mastectomy: A prospective observational study.新辅助化疗对单侧改良根治性乳房切除术乳腺癌患者全凭静脉麻醉深度的影响:一项前瞻性观察研究。
Medicine (Baltimore). 2018 Dec;97(51):e13776. doi: 10.1097/MD.0000000000013776.
10
Bispectral index in patients with target-controlled or manually-controlled infusion of propofol.靶控输注或手动控制输注丙泊酚患者的脑电双频指数
Anesth Analg. 2002 Sep;95(3):639-44, table of contents. doi: 10.1097/00000539-200209000-00027.

本文引用的文献

1
Drug mixtures and infusion technology: replies.药物混合与输注技术:回复
Anaesthesia. 2022 Jul;77(7):837-838. doi: 10.1111/anae.15708. Epub 2022 Mar 15.
2
Consistency of remifentanil concentrations in propofol-Remifentanil infusions. A laboratory-based study.丙泊酚-瑞芬太尼输注中瑞芬太尼浓度的一致性。基于实验室的研究。
Paediatr Anaesth. 2022 Jun;32(6):727-731. doi: 10.1111/pan.14427. Epub 2022 Mar 16.
3
Analgesia Nociception Index-Guided Remifentanil versus Standard Care during Propofol Anesthesia: A Randomized Controlled Trial.
丙泊酚麻醉期间镇痛伤害感受指数引导的瑞芬太尼与标准护理:一项随机对照试验
J Clin Med. 2022 Jan 11;11(2):333. doi: 10.3390/jcm11020333.
4
Safe Practice of Total Intravenous Anesthesia With Target-Controlled Infusion in Taiwan: A Recommendation.台湾地区靶控输注全静脉麻醉安全实践推荐意见
Asian J Anesthesiol. 2021 Dec 1;59(4):123-134. doi: 10.6859/aja.202112_59(4).0001. Epub 2021 Nov 19.
5
Prospective evaluation of remifentanil-propofol mixture for total intravenous anesthesia: A randomized controlled study.瑞芬太尼-丙泊酚合剂用于全凭静脉麻醉的前瞻性评估:一项随机对照研究。
Exp Ther Med. 2021 Nov;22(5):1198. doi: 10.3892/etm.2021.10632. Epub 2021 Aug 23.
6
Postoperative Drip-Infusion of Remifentanil Reduces Postoperative Pain-A Retrospective Observative Study.术后瑞芬太尼持续滴注减轻术后疼痛:一项回顾性观察研究。
Int J Environ Res Public Health. 2021 Sep 1;18(17):9225. doi: 10.3390/ijerph18179225.
7
Drug mixtures and infusion technology. MasterChef or Hell's Kitchen?药物混合与输注技术。是《厨艺大师》还是《地狱厨房》?
Anaesthesia. 2022 Mar;77(3):260-263. doi: 10.1111/anae.15561. Epub 2021 Aug 15.
8
Mixing of propofol and remifentanil.丙泊酚与瑞芬太尼的混合。
Paediatr Anaesth. 2021 Apr;31(4):504-505. doi: 10.1111/pan.14137.
9
The effect of concentration, reconstitution solution and pH on the stability of a remifentanil hydrochloride and propofol admixture for simultaneous co-infusion.浓度、复溶溶液和 pH 值对盐酸瑞芬太尼和丙泊酚混合物同时共输注的稳定性的影响。
BMC Anesthesiol. 2020 Nov 12;20(1):283. doi: 10.1186/s12871-020-01194-5.
10
De-mystifying the "Mixifusor".揭开“混交器”的神秘面纱。
Paediatr Anaesth. 2020 Dec;30(12):1292-1298. doi: 10.1111/pan.14039. Epub 2020 Nov 4.