Suppr超能文献

新型喹唑啉-4-酮衍生物的设计与合成及其负型 mGlu 受体调节活性和抗精神病样特性。

Design and Synthesis of New Quinazolin-4-one Derivatives with Negative mGlu Receptor Modulation Activity and Antipsychotic-Like Properties.

机构信息

Department of Medicinal Chemistry, Maj Institute of Pharmacology, Polish Academy of Sciences, 12 Smętna Street, 30-343 Kraków, Poland.

Department of Neurobiology, Maj Institute of Pharmacology, Polish Academy of Sciences, 12 Smętna Street, 30-343 Kraków, Poland.

出版信息

Int J Mol Sci. 2023 Jan 19;24(3):1981. doi: 10.3390/ijms24031981.

Abstract

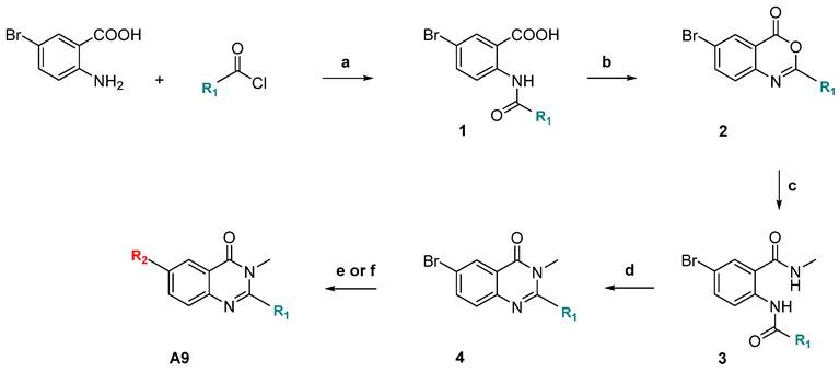
Following the glutamatergic theory of schizophrenia and based on our previous study regarding the antipsychotic-like activity of mGlu NAMs, we synthesized a new compound library containing 103 members, which were examined for NAM mGlu activity in the T-REx 293 cell line expressing a recombinant human mGlu receptor. Out of the twenty-two scaffolds examined, active compounds were found only within the quinazolinone chemotype. 2-(2-Chlorophenyl)-6-(2,3-dimethoxyphenyl)-3-methylquinazolin-4(3)-one (, , mGlu IC = 6.14 µM) was selective over other group III mGlu receptors (mGlu and mGlu), exhibited satisfactory drug-like properties in preliminary DMPK profiling, and was further tested in animal models of antipsychotic-like activity, assessing the positive, negative, and cognitive symptoms. reversed DOI-induced head twitches and MK-801-induced disruptions of social interactions or cognition in the novel object recognition test and spatial delayed alternation test. On the other hand, the efficacy of the compound was not observed in the MK-801-induced hyperactivity test or prepulse inhibition. In summary, the observed antipsychotic activity profile of justifies the further development of the group of quinazolin-4-one derivatives in the search for a new drug candidate for schizophrenia treatment.

摘要

基于精神分裂症的谷氨酸能理论,并基于我们之前关于 mGlu NAMs 的抗精神病样活性的研究,我们合成了一个包含 103 个成员的新化合物库,这些化合物在表达重组人 mGlu 受体的 T-REx 293 细胞系中进行了 NAM mGlu 活性检测。在所检查的二十二个支架中,仅在喹唑啉酮化学型中发现了活性化合物。2-(2-氯苯基)-6-(2,3-二甲氧基苯基)-3-甲基喹唑啉-4(3)-酮(,,mGlu IC = 6.14 µM)对其他组 III mGlu 受体(mGlu 和 mGlu)具有选择性,在初步的 DMPK 分析中表现出令人满意的类药性特征,并在抗精神病样活性的动物模型中进一步进行了测试,评估阳性、阴性和认知症状。 逆转了 DOI 诱导的头部抽搐和 MK-801 诱导的社交互动或认知障碍,在新物体识别测试和空间延迟交替测试中。另一方面,在 MK-801 诱导的过度活动测试或预脉冲抑制中未观察到化合物的疗效。总之, 的观察到的抗精神病活性特征证明了喹唑啉-4-酮衍生物组的进一步发展,以寻找治疗精神分裂症的新候选药物。

https://cdn.ncbi.nlm.nih.gov/pmc/blobs/82a8/9916658/eae52e890f18/ijms-24-01981-g001.jpg

文献检索

告别复杂PubMed语法,用中文像聊天一样搜索,搜遍4000万医学文献。AI智能推荐,让科研检索更轻松。

立即免费搜索

文件翻译

保留排版,准确专业,支持PDF/Word/PPT等文件格式,支持 12+语言互译。

免费翻译文档

深度研究

AI帮你快速写综述,25分钟生成高质量综述,智能提取关键信息,辅助科研写作。

立即免费体验