Suppr超能文献

氨基二氯查尔酮异构体的理论研究。第二部分:前线分子轨道和非线性光学性质的密度泛函理论结构稳定性研究。

Theoretical Investigation of Amino-Dichloro Chalcone Isomers. Part II: A DFT Structure-Stability Study of the FMO and NLO Properties.

作者信息

Hussein Haval A, Fadhil Ghazwan F

机构信息

Department of Chemistry, College of Science, University of Duhok, Zakho Street 38, 1006AJDuhok, Kurdistan Region, Iraq.

出版信息

ACS Omega. 2023 Jan 27;8(5):4937-4953. doi: 10.1021/acsomega.2c07148. eCollection 2023 Feb 7.

Abstract

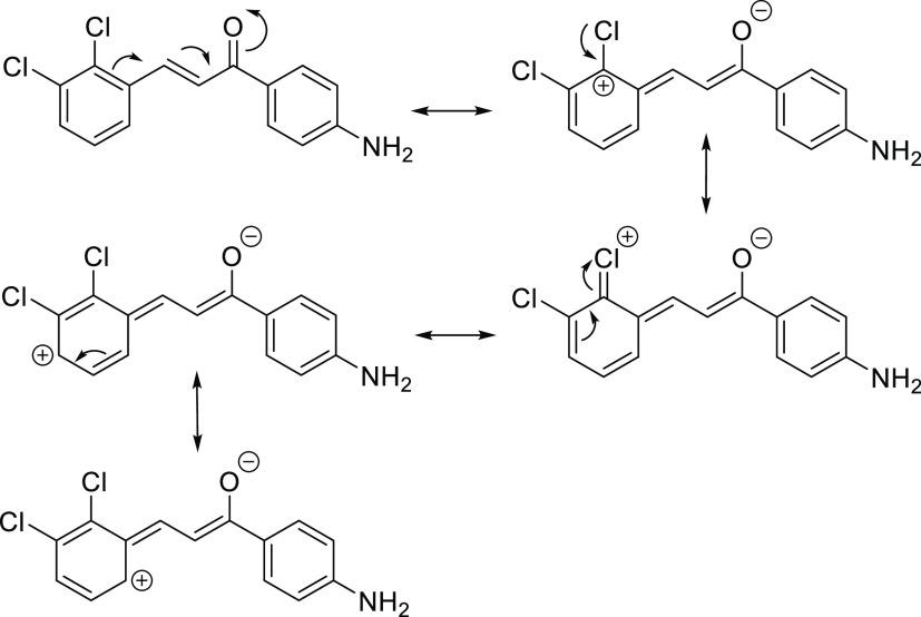
The density functional theory (DFT) method using the functional hybrid (B3LYP) and 6-311G(d,p) basis set was utilized for the geometry optimization with dispersion correction, procedure (GO + DC), for the and chalcone isomers -1-(4-aminophenyl)- 3-(,-dichlorophenyl)prop-2-en-1-one, where () and () represent the positions of the two chlorine atoms [(2,3), (2,4),(2,5),(2,6),(3,4), and (3,5)] abbreviated (,)-chalcone, and 4-(,-dichloro-8a-chromen-2-yl)aniline, where ( = 5,6 and = 6,7,8,8a) abbreviated (,)-chromen isomers. The calculations revealed that chalcones are the most stable and the 4-(,-dichloro-8a-chromen-2-yl) aniline isomers are the least stable. The (3,5) chalcones were the most stable in both and chalcone series. However, the 4-(5,8a-dichloro-8a-chromen-2-yl) aniline is the most stable in the series. The isomer stability order is the same as in Part 1, in which the geometry optimization calculation was followed by the dispersion correction single point energy calculation (GO/SPDC) procedure. The procedures (GO + DC) and (GO/SPDC) were used to calculate energies of the highest occupied molecular orbital (HOMO) and lowest-unoccupied molecular orbital (LUMO) and related properties. The order of the HOMO-LUMO energy gap (Δ ) was chromens < chalcones < chalcones. The lowest Δ was calculated for the (6,8)-chromen, while the highest energy gap was calculated for the (2,6)-chalcone, the least planar isomer. Among the chalcones, the (2,6)-has the highest , , Δ , hardness, and electronic chemical potential while possessing the lowest Mulliken electronegativity, electrophilicity index, ionization potential, and electron affinity. The (3,5)-isomer behaved oppositely. The chalcones have higher Δ than chalcones but follow the same trend as the series with regard to the . Among the chromens, the (5,8a)-chromen has the highest Δ , electron affinity, Mulliken electronegativity, hardness, and electrophilicity index but has the lowest and , and electronic chemical potential. (5,6)-Chromen was found to have the highest , electronic chemical potential, and lowest electron affinity. The highest is acquired by (6,8)-chromen; however, it has the lowest hardness value. The chromen isomers possessed the highest first-order hyperpolarizability due to being more planar and having longer π-conjugation than the other isomers. In contrast, the chalcones had the lowest hyperpolarizability. The HOMO and LUMO surfaces revealed intramolecular charge transfer in the and chalcones and chromens. Calculations of the molecular electrostatic potential showed that oxygen was the most negative. The HOMOs, LUMOs, and related properties mentioned above calculated according to the (GO + DC) and (GO/SPDC) procedures are in complete numerical agreement.

摘要

采用密度泛函理论(DFT)方法,使用杂化泛函(B3LYP)和6 - 311G(d,p)基组,对查尔酮异构体-1-(4-氨基苯基)-3-(α,β-二氯苯基)丙-2-烯-1-酮以及4-(α,β-二氯-8a-色烯-2-基)苯胺进行了含色散校正的几何优化(GO + DC),其中(α,β)表示两个氯原子的位置[(2,3)、(2,4)、(2,5)、(2,6)、(3,4)和(3,5)],简称为(α,β)-查尔酮,以及(α = 5,6且β = 6,7,8,8a)简称为(α,β)-色烯异构体。计算结果表明,α-查尔酮最稳定,而4-(α,β-二氯-8a-色烯-2-基)苯胺异构体最不稳定。在α-和β-查尔酮系列中,(3,5)-查尔酮都是最稳定的。然而,在该系列中,4-(5,8a-二氯-8a-色烯-2-基)苯胺是最稳定的。异构体的稳定性顺序与第一部分相同,在第一部分中,几何优化计算之后是色散校正单点能量计算(GO/SPDC)过程。使用(GO + DC)和(GO/SPDC)程序来计算最高占据分子轨道(HOMO)和最低未占据分子轨道(LUMO)的能量以及相关性质。HOMO - LUMO能隙(ΔE)的顺序为色烯 < β-查尔酮 < α-查尔酮。对于(6,8)-色烯,计算得到的ΔE最低,而对于最不平面的异构体(2,6)-查尔酮,计算得到的能隙最高。在α-查尔酮中,(2,6)-异构体具有最高的E HOMO、E LUMO、ΔE、硬度和电子化学势,同时具有最低的穆利肯电负性、亲电性指数、电离势和电子亲和能。(3,5)-异构体则表现相反。β-查尔酮的ΔE比α-查尔酮高,但在E HOMO方面与α-系列遵循相同的趋势。在色烯中,(5,8a)-色烯具有最高的ΔE、电子亲和能、穆利肯电负性、硬度和亲电性指数,但具有最低的E HOMO和E LUMO以及电子化学势。发现(5,6)-色烯具有最高的E LUMO、电子化学势和最低的电子亲和能。(6,8)-色烯获得了最高的E HOMO;然而,它具有最低的硬度值。由于比其他异构体更平面且具有更长的π共轭,色烯异构体具有最高的一阶超极化率。相比之下,β-查尔酮的超极化率最低。HOMO和LUMO表面显示出α-和β-查尔酮以及色烯中的分子内电荷转移。分子静电势的计算表明,氧是最负的。根据(GO + DC)和(GO/SPDC)程序计算的上述HOMO、LUMO和相关性质在数值上完全一致。

https://cdn.ncbi.nlm.nih.gov/pmc/blobs/adfe/9909800/8b98bba49ab3/ao2c07148_0002.jpg

文献AI研究员

20分钟写一篇综述,助力文献阅读效率提升50倍。

立即体验

用中文搜PubMed

大模型驱动的PubMed中文搜索引擎

马上搜索

文档翻译

学术文献翻译模型,支持多种主流文档格式。

立即体验