Suppr超能文献

在 COVID-19 大流行期间,口臭个体口罩内表面的挥发性硫化物化合物和口腔微生物。

Volatile sulfide compounds and oral microorganisms on the inner surface of masks in individuals with halitosis during COVID-19 pandemic.

机构信息

Department of Orofacial Pain and Oral Medicine, Kyung Hee University School of Dentistry, Kyung Hee University Medical Center, #613 Hoegi-Dong, Dongdaemun-Gu, Seoul, 02447, South Korea.

Life Science Institute, Denomics Inc. 518, 5 Digital-Ro 26-Gil, Guro-Gu, Seoul, 08389, South Korea.

出版信息

Sci Rep. 2023 Feb 13;13(1):2487. doi: 10.1038/s41598-023-29080-3.

Abstract

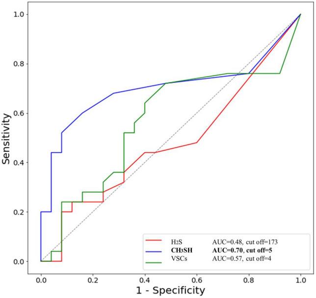
Mask-wearing is still recommended owing to the continuing impact of the COVID-19 pandemic. Within the closed chamber created by the mask, people are increasingly self-aware of their oral malodor. In this prospective and cross-sectional study, we aimed to measure volatile sulfide compound (VSC) levels in patients with halitosis and investigate the oral microbiome profile on the inner surface of their KF94 masks. We also investigated which oral microbiota increases VSC levels and whether the oral microbiomes of oral saliva and mask are correlated. A total of 50 subjects (41 women, average age 38.12 ± 12.58 years old) were included in the study, 25 healthy subjects and 25 patients with halitosis who wore masks for more than 3 h. The dominant bacterial species, bacterial profile, and Shannon diversity index of whole unstimulated saliva and the inner surface of the mask were investigated. The bacterial 16S ribosomal RNA genes of the major oral bacterial species were analyzed using real-time PCR. Gas chromatography was used to measure hydrogen sulfide (HS) and methyl mercaptan (CHSH), which are representative VSCs. The total bacterial DNA copy number was significantly higher in the saliva sample than in the mask sample (p < 0.001), and the average value was 276 times greater. Shannon diversity index was also significantly higher in saliva than in the inner surface of the mask (2.62 ± 0.81 vs. 1.15 ± 1.52, p < 0.001). The most common Gram-negative and Gram-positive species in the masks were Porphyromonas gingivalis (Pg) and Lactobacillus casei (Lc), respectively. The bacterial species with significant positive correlations between saliva and mask samples were Prevotella intermedia (Pi) (r = 0.324, p = 0.022), Eikenella corrodens (r = 0.309, p = 0.029), Lc (r = 0.293, p = 0.039), and Parvimonas micra (Pm) (r = 0.366, p = 0.009). The mean value of CHSH was significantly higher in the halitosis group than in the non-halitosis group (17.84 ± 29.00 vs. 3.84 ± 10.57 ppb, p = 0.031). In the halitosis group, the DNA copy numbers and VSC levels showed highly positive correlation coefficients in the order Pg, Treponema denticola (Td), Tannerella forsythia (Tf), Pi, and Prevotella nigrescens (Pn) (all p < 0.05). Regarding bacterial profiles of the mask, Td was strongly correlated with CHSH (r = 0.414, p = 0.040) and total VSCs (r = 0.374, p = 0.033) only in halitosis group. Mask-wearing time was strongly correlated with total VSCs, HS, and CHSH (all r > 0.8, p < 0.001). Oral bacteria, whose association with halitosis has been identified, increased VSC levels in mask-wearing subjects during the COVID-19 pandemic, particularly the number of Gram-negative anaerobes such as Pg and Td. Mask-wearing time was a major factor in increasing VSC levels. The study results suggest that people with halitosis could control these Gram-negative bacteria by improving oral hygiene and regularly changing masks.

摘要

由于 COVID-19 大流行的持续影响,仍然建议戴口罩。在口罩形成的封闭空间内,人们越来越意识到自己口腔异味的存在。在这项前瞻性和横断面研究中,我们旨在测量口臭患者的挥发性硫化物化合物(VSC)水平,并研究 KF94 口罩内表面的口腔微生物组特征。我们还调查了哪些口腔微生物会增加 VSC 水平,以及口腔唾液和口罩的微生物组是否相关。共有 50 名受试者(41 名女性,平均年龄 38.12±12.58 岁)参与了研究,其中 25 名健康受试者和 25 名口臭患者,他们佩戴口罩超过 3 小时。我们研究了全唾液和口罩内表面的主要细菌种类、细菌谱和 Shannon 多样性指数。使用实时 PCR 分析主要口腔细菌物种的 16S 核糖体 RNA 基因。使用气相色谱法测量代表 VSC 的氢气硫化物(HS)和甲硫醇(CHSH)。唾液样本中的总细菌 DNA 拷贝数明显高于口罩样本(p<0.001),平均值高 276 倍。Shannon 多样性指数在唾液中也明显高于口罩内表面(2.62±0.81 与 1.15±1.52,p<0.001)。口罩中最常见的革兰氏阴性和革兰氏阳性细菌分别是牙龈卟啉单胞菌(Pg)和干酪乳杆菌(Lc)。唾液和口罩样本之间具有显著正相关的细菌种类是中间普氏菌(Pi)(r=0.324,p=0.022)、侵蚀艾肯菌(r=0.309,p=0.029)、Lc(r=0.293,p=0.039)和微小消化链球菌(Pm)(r=0.366,p=0.009)。口臭组的 CHSH 平均值明显高于非口臭组(17.84±29.00 与 3.84±10.57 ppb,p=0.031)。在口臭组中,Pg、T. denticola(Td)、Tannerella forsythia(Tf)、Pi 和 P. nigrescens(Pn)的 DNA 拷贝数和 VSC 水平呈高度正相关系数(均 p<0.05)。关于口罩的细菌谱,Td 与 CHSH(r=0.414,p=0.040)和总 VSCs(r=0.374,p=0.033)呈强烈相关,仅在口臭组中。口罩佩戴时间与总 VSCs、HS 和 CHSH 呈强正相关(r>0.8,p<0.001)。与口臭相关的口腔细菌会增加佩戴口罩者的 VSC 水平,尤其是牙龈卟啉单胞菌和 Td 等革兰氏阴性厌氧菌的数量在 COVID-19 大流行期间有所增加。口罩佩戴时间是增加 VSC 水平的主要因素。研究结果表明,口臭患者可以通过改善口腔卫生和定期更换口罩来控制这些革兰氏阴性细菌。

https://cdn.ncbi.nlm.nih.gov/pmc/blobs/14b1/9925787/b5ee4a7e3392/41598_2023_29080_Fig1_HTML.jpg

文献AI研究员

20分钟写一篇综述,助力文献阅读效率提升50倍。

立即体验

用中文搜PubMed

大模型驱动的PubMed中文搜索引擎

马上搜索

文档翻译

学术文献翻译模型,支持多种主流文档格式。

立即体验