Suppr超能文献

N6-甲基腺苷调控因子和 m6A 阅读蛋白 YTHDC1 介导的 N6-甲基腺苷修饰在人主动脉夹层氧化应激中的作用。

The Effect of N6-Methyladenosine Regulators and m6A Reader YTHDC1-Mediated N6-Methyladenosine Modification Is Involved in Oxidative Stress in Human Aortic Dissection.

机构信息

School of Life and Pharmaceutical Sciences, Dalian University of Technology, Panjin, China.

Department of Cardiac Surgery, Affiliated Hospital of Guizhou Medical University, Guiyang, China.

出版信息

Oxid Med Cell Longev. 2023 Feb 9;2023:3918393. doi: 10.1155/2023/3918393. eCollection 2023.

Abstract

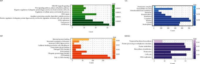
Aortic dissection (AD) develops pathological changes in the separation of the true and false aortic lumen, with high lethality. m6A methylation and oxidative stress have also been shown to be involved in the onset of AD. Through bioinformatics methods, three differentially expressed m6A regulators (YTHDC1, YTHDC2, and RBM15) were excavated from the GSE52093 dataset in the Gene Expression Omnibus (GEO) database, and functional enrichment analysis of the differentially expressed genes (DEGs) regulated by m6A regulators was performed. Then, the genes with oxidative stress-related functions among these genes were found. The protein interaction network of the oxidative stress-related genes and the competing endogenous RNA- (ceRNA-) miRNA-mRNA network were constructed. Among them, DHCR24, P4HB, and PDGFRA, which have m6A differences in AD samples, were selected as key genes. We also performed immune infiltration analysis, as well as cell-gene correlation analysis, on samples from the dataset. The results showed that YTHDC1 was positively correlated with macrophage M1 and negatively correlated with macrophage M2. Finally, we extracted AD and healthy aorta RNA and protein from human tissues that were taken from AD patients and patients who received heart transplants, performed quantitative real-time PCR (qRT-PCR) on YTHDC2 and RBM15, and performed qRT-PCR and western blot (WB) detection on YTHDC1 to verify their differences in AD. The mRNA and protein levels of YTHDC1 were consistent with the results of bioinformatics analysis and were downregulated in AD. Immunofluorescence (IF) was used to colocalize YTHDC1 and endothelial cell marker CD31. After knocking down YTHDC1 in human umbilical vein endothelial cells (HUVECs), reactive oxygen species (ROS) levels had a tendency to increase and the expression of peroxide dismutase SOD2 was decreased. This study provides assistance in discovering the role of m6A regulator YTHDC1 in AD. In particular, m6A modification participates in oxidative stress and jointly affects AD.

摘要

主动脉夹层 (AD) 在真假主动脉腔分离中发生病理变化,致死率高。m6A 甲基化和氧化应激也被证明与 AD 的发病有关。通过生物信息学方法,从基因表达综合数据库 (GEO) 中的 GSE52093 数据集挖掘出三个差异表达的 m6A 调节因子 (YTHDC1、YTHDC2 和 RBM15),并对 m6A 调节因子调控的差异表达基因 (DEGs) 进行功能富集分析。然后,在这些基因中找到与氧化应激相关功能的基因。构建了与氧化应激相关基因的蛋白质相互作用网络和竞争内源性 RNA-(ceRNA)-miRNA-mRNA 网络。其中,在 AD 样本中具有 m6A 差异的 DHCR24、P4HB 和 PDGFRA 被选为关键基因。我们还对数据集的样本进行了免疫浸润分析和细胞-基因相关性分析。结果表明,YTHDC1 与巨噬细胞 M1 呈正相关,与巨噬细胞 M2 呈负相关。最后,我们从 AD 患者和接受心脏移植的患者的人体组织中提取 AD 和健康主动脉的 RNA 和蛋白质,对 YTHDC2 和 RBM15 进行实时定量 PCR(qRT-PCR),并对 YTHDC1 进行 qRT-PCR 和 Western blot (WB) 检测,以验证其在 AD 中的差异。YTHDC1 的 mRNA 和蛋白水平与生物信息学分析结果一致,在 AD 中下调。免疫荧光 (IF) 用于共定位 YTHDC1 和内皮细胞标志物 CD31。在人脐静脉内皮细胞 (HUVECs) 中敲低 YTHDC1 后,活性氧 (ROS) 水平有升高趋势,而过氧化物歧化酶 SOD2 的表达减少。本研究有助于发现 m6A 调节因子 YTHDC1 在 AD 中的作用。特别是,m6A 修饰参与氧化应激,并共同影响 AD。

https://cdn.ncbi.nlm.nih.gov/pmc/blobs/54aa/9935809/baf3d4e40703/OMCL2023-3918393.001.jpg

文献检索

告别复杂PubMed语法,用中文像聊天一样搜索,搜遍4000万医学文献。AI智能推荐,让科研检索更轻松。

立即免费搜索

文件翻译

保留排版,准确专业,支持PDF/Word/PPT等文件格式,支持 12+语言互译。

免费翻译文档

深度研究

AI帮你快速写综述,25分钟生成高质量综述,智能提取关键信息,辅助科研写作。

立即免费体验