Suppr超能文献

卡塔尔干旱土壤的土壤性质与微生物群落结构相关。

Soil Properties Correlate with Microbial Community Structure in Qatari Arid Soils.

作者信息

Skariah Sini, Abdul-Majid Sara, Hay Anthony G, Acharya Anushree, Kano Noora, Al-Ishaq Raghad Khalid, de Figueiredo Paul, Han Arum, Guzman Adrian, Dargham Soha Roger, Sameer Saad, Kim Gi Eun, Khan Sabiha, Pillai Priyamvada, Sultan Ali A

机构信息

Department of Microbiology and Immunology, Weill Cornell Medicine-Qatar, Cornell University, Qatar Foundation-Education City, Doha, Qatar.

Department of Microbiology, Cornell University, Ithaca, New York, USA.

出版信息

Microbiol Spectr. 2023 Feb 27;11(2):e0346222. doi: 10.1128/spectrum.03462-22.

Abstract

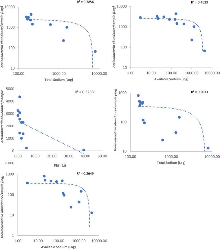
This is the first detailed characterization of the microbiota and chemistry of different arid habitats from the State of Qatar. Analysis of bacterial 16S rRNA gene sequences showed that in aggregate, the dominant microbial phyla were (32.3%), (24.8%), (20.7%), (6.3%), and (3.6%), though individual soils varied widely in the relative abundances of these and other phyla. Alpha diversity measured using feature richness (operational taxonomic units [OTUs]), Shannon's entropy, and Faith's phylogenetic diversity (PD) varied significantly between habitats ( = 0.016,  = 0.016, and  = 0.015, respectively). Sand, clay, and silt were significantly correlated with microbial diversity. Highly significant negative correlations were also seen at the class level between both classes and (phylum ) and total sodium ( = -0.82 and  = 0.001 and = -0.86,  = 0.000, respectively) and slowly available sodium ( = -0.81 and  = 0.001 and = -0.8 and  = 0.002, respectively). Additionally, class also showed significant negative correlation with sodium/calcium ratio ( = -0.81 and  = 0.001). More work is needed to understand if there is a causal relationship between these soil chemical parameters and the relative abundances of these bacteria. Soil microbes perform a multitude of essential biological functions, including organic matter decomposition, nutrient cycling, and soil structure preservation. Qatar is one of the most hostile and fragile arid environments on earth and is expected to face a disproportionate impact of climate change in the coming years. Thus, it is critical to establish a baseline understanding of microbial community composition and to assess how soil edaphic factors correlate with microbial community composition in this region. Although some previous studies have quantified culturable microbes in specific Qatari habitats, this approach has serious limitations, as in environmental samples, approximately only 0.5% of cells are culturable. Hence, this method vastly underestimates natural diversity within these habitats. Our study is the first to systematically characterize the chemistry and total microbiota associated with different habitats present in the State of Qatar.

摘要

这是对卡塔尔国不同干旱栖息地微生物群和化学性质的首次详细表征。细菌16S rRNA基因序列分析表明,总体而言,优势微生物门类为(32.3%)、(24.8%)、(20.7%)、(6.3%)和(3.6%),不过不同土壤中这些门类以及其他门类的相对丰度差异很大。利用特征丰富度(操作分类单元[OTU])、香农熵和费思系统发育多样性(PD)测量的α多样性在不同栖息地之间存在显著差异(分别为 = 0.016、 = 0.016和 = 0.015)。沙子、黏土和粉砂与微生物多样性显著相关。在纲水平上,和纲(门)与总钠(分别为 = -0.82, = 0.001和 = -0.86, = 0.000)以及缓效钠(分别为 = -0.81, = 0.001和 = -0.8, = 0.002)之间也存在极显著的负相关。此外,纲与钠/钙比也呈现显著负相关( = -0.81, = 0.001)。是否存在这些土壤化学参数与这些细菌相对丰度之间的因果关系,还需要开展更多研究。土壤微生物执行多种重要的生物学功能,包括有机物分解、养分循环和土壤结构维持。卡塔尔是地球上最恶劣且脆弱的干旱环境之一,预计在未来几年将面临气候变化带来的不成比例的影响。因此,至关重要的是要建立对微生物群落组成的基线认识,并评估该地区土壤土壤因子与微生物群落组成之间的关联。尽管此前一些研究已对卡塔尔特定栖息地中可培养的微生物进行了量化,但这种方法存在严重局限性,因为在环境样本中,大约只有0.5%的细胞是可培养的。因此,这种方法极大地低估了这些栖息地内的自然多样性。我们的研究首次系统地表征了与卡塔尔国不同栖息地相关的化学性质和整个微生物群。

https://cdn.ncbi.nlm.nih.gov/pmc/blobs/5b11/10100838/c49641166237/spectrum.03462-22-f001.jpg

文献AI研究员

20分钟写一篇综述,助力文献阅读效率提升50倍。

立即体验

用中文搜PubMed

大模型驱动的PubMed中文搜索引擎

马上搜索

文档翻译

学术文献翻译模型,支持多种主流文档格式。

立即体验