Suppr超能文献

CeXO(X:铁和锰)纳米颗粒的结构、光学、磁性和电化学性质

Structural, Optical, Magnetic and Electrochemical Properties of CeXO (X: Fe, and Mn) Nanoparticles.

作者信息

Kumar Shalendra, Ahmed Faheem, Shaalan Nagih M, Arshi Nishat, Dalela Saurabh, Chae Keun H

机构信息

Department of Physics, College of Science, King Faisal University, P.O. Box 400, Hofuf 31982, Al-Ahsa, Saudi Arabia.

Department of Physics, University of Petroleum & Energy Studies, Dehradun 248007, India.

出版信息

Materials (Basel). 2023 Mar 13;16(6):2290. doi: 10.3390/ma16062290.

Abstract

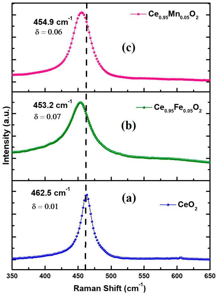
CeXO (X: Fe, Mn) nanoparticles, synthesized using the coprecipitation route, were investigated for their structural, morphological, magnetic, and electrochemical properties using X-ray diffraction (XRD), field emission transmission electron microscopy (FE-TEM), dc magnetization, and cyclic voltammetry methods. The single-phase formation of CeO nanoparticles with FCC fluorite structure was confirmed by the Rietveld refinement, indicating the successful incorporation of Fe and Mn in the CeO matrix with the reduced dimensions and band gap values. The Raman analysis supported the lowest band gap of Fe-doped CeO on account of oxygen non-stoichiometry. The samples exhibited weak room temperature ferromagnetism, which was found to be enhanced in the Fe doped CeO. The NEXAFS analysis supported the results by revealing the oxidation state of Fe to be Fe/Fe in Fe-doped CeO nanoparticles. Further, the room temperature electrochemical performance of CeXO (X: Fe, Mn) nanoparticles was measured with a scan rate of 10 mV s using 1 M KCL electrolyte, which showed that the CeFeO electrode revealed excellent performance with a specific capacitance of 945 Fּ·g for the application in energy storage devices.

摘要

采用共沉淀法合成的CeXO(X:Fe、Mn)纳米颗粒,通过X射线衍射(XRD)、场发射透射电子显微镜(FE-TEM)、直流磁化和循环伏安法对其结构、形态、磁性和电化学性质进行了研究。通过Rietveld精修确认了具有FCC萤石结构的CeO纳米颗粒的单相形成,表明Fe和Mn成功掺入CeO基体中,且尺寸减小、带隙值降低。拉曼分析表明,由于氧非化学计量比,Fe掺杂的CeO具有最低的带隙。样品表现出弱室温铁磁性,在Fe掺杂的CeO中发现其铁磁性增强。NEXAFS分析通过揭示Fe掺杂的CeO纳米颗粒中Fe的氧化态为Fe/Fe来支持该结果。此外,使用1 M KCL电解质以10 mV s的扫描速率测量了CeXO(X:Fe、Mn)纳米颗粒的室温电化学性能,结果表明CeFeO电极显示出优异的性能,比电容为945 Fּ·g,可用于储能装置。

https://cdn.ncbi.nlm.nih.gov/pmc/blobs/62cc/10056175/cb5a5ebe3285/materials-16-02290-g001a.jpg

文献检索

告别复杂PubMed语法,用中文像聊天一样搜索,搜遍4000万医学文献。AI智能推荐,让科研检索更轻松。

立即免费搜索

文件翻译

保留排版,准确专业,支持PDF/Word/PPT等文件格式,支持 12+语言互译。

免费翻译文档

深度研究

AI帮你快速写综述,25分钟生成高质量综述,智能提取关键信息,辅助科研写作。

立即免费体验