Suppr超能文献

疟疾病媒与拟除虫菊酯抗性升级之间关联的对比模式 以及 。 (你提供的原文似乎不完整,句末“and.”后面缺少内容)

Contrasting Patterns of Association with Pyrethroid Resistance Escalation between the Malaria Vectors and .

作者信息

Djondji Kamga Fleuriane Metissa, Mugenzi Leon M J, Tchouakui Magellan, Sandeu Maurice Marcel, Maffo Claudine Grace Tatsinkou, Nyegue Maximilienne Ascension, Wondji Charles S

机构信息

Centre for Research in Infectious Diseases (CRID), Yaoundé P.O. Box 13591, Cameroon.

Department of Microbiology, Faculty of Science, University of Yaoundé I, Yaoundé P.O. Box 812, Cameroon.

出版信息

Microorganisms. 2023 Mar 2;11(3):644. doi: 10.3390/microorganisms11030644.

Abstract

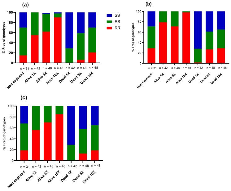
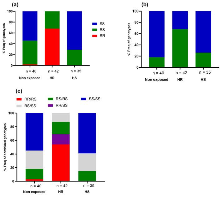
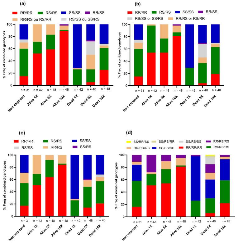
Microbiome composition has been associated with insecticide resistance in malaria vectors. However, the contribution of major symbionts to the increasingly reported resistance escalation remains unclear. This study explores the possible association of a specific endosymbiont, spp., with elevated levels of pyrethroid resistance driven by cytochrome P450s enzymes and voltage-gated sodium channel mutations in and Molecular assays were used to detect the symbiont and resistance markers (, , , and ). Overall, genotyping of key mutations revealed an association with the resistance phenotype. The prevalence of spp. in the FUMOZ_X_FANG strain was associated with the resistance phenotype at a 5X dose of deltamethrin (OR = 25.7; = 0.002). Mosquitoes with the resistant allele for the markers tested were significantly more infected with compared to those possessing the susceptible allele. Furthermore, the abundance correlated with the resistance phenotype at 1X concentration of deltamethrin ( = 0.02, Mann-Whitney test). However, for the MANGOUM_X_KISUMU strain, findings rather revealed an association between load and the susceptible phenotype ( = 0.04, Mann-Whitney test), demonstrating a negative link between the symbiont and permethrin resistance. These bacteria should be further investigated to establish its interactions with other resistance mechanisms and cross-resistance with other insecticide classes.

摘要

微生物群落组成与疟蚊的杀虫剂抗性有关。然而,主要共生菌对日益报道的抗性升级的贡献仍不清楚。本研究探讨了一种特定内共生菌(属)与由细胞色素P450酶和电压门控钠通道突变驱动的拟除虫菊酯抗性水平升高之间的可能关联,在(具体品种)中进行了研究。分子检测用于检测共生菌和抗性标记(具体标记名称)。总体而言,关键突变的基因分型揭示了与抗性表型的关联。在5倍剂量溴氰菊酯下,FUMOZ_X_FANG品系中(属)的流行率与抗性表型相关(比值比 = 25.7;P = 0.002)。与具有敏感等位基因的蚊子相比,测试标记的抗性等位基因的蚊子感染(共生菌名称)的比例显著更高。此外,在1倍浓度溴氰菊酯下,(共生菌名称)的丰度与抗性表型相关(P = 0.02,曼-惠特尼检验)。然而,对于MANGOUM_X_KISUMU品系,研究结果反而揭示了(共生菌名称)载量与敏感表型之间的关联(P = 0.04,曼-惠特尼检验),表明共生菌与氯菊酯抗性之间存在负相关。这些细菌应进一步研究,以确定其与其他抗性机制的相互作用以及与其他杀虫剂类别的交叉抗性。

https://cdn.ncbi.nlm.nih.gov/pmc/blobs/88c8/10053915/5ee9c2e175db/microorganisms-11-00644-g001.jpg

文献AI研究员

20分钟写一篇综述,助力文献阅读效率提升50倍。

立即体验

用中文搜PubMed

大模型驱动的PubMed中文搜索引擎

马上搜索

文档翻译

学术文献翻译模型,支持多种主流文档格式。

立即体验