• 文献检索
  • 文档翻译
  • 深度研究
  • 学术资讯
  • Suppr Zotero 插件Zotero 插件
  • 邀请有礼
  • 套餐&价格
  • 历史记录
应用&插件
Suppr Zotero 插件Zotero 插件浏览器插件Mac 客户端Windows 客户端微信小程序
定价
高级版会员购买积分包购买API积分包
服务
文献检索文档翻译深度研究API 文档MCP 服务
关于我们
关于 Suppr公司介绍联系我们用户协议隐私条款
关注我们

Suppr 超能文献

核心技术专利:CN118964589B侵权必究
粤ICP备2023148730 号-1Suppr @ 2026

文献检索

告别复杂PubMed语法,用中文像聊天一样搜索,搜遍4000万医学文献。AI智能推荐,让科研检索更轻松。

立即免费搜索

文件翻译

保留排版,准确专业,支持PDF/Word/PPT等文件格式,支持 12+语言互译。

免费翻译文档

深度研究

AI帮你快速写综述,25分钟生成高质量综述,智能提取关键信息,辅助科研写作。

立即免费体验

急性心肌梗死患者行直接经皮冠状动脉介入治疗的院前时间延误特征:基于地理基础设施的独立和非独立因素分析。

Characterization of prehospital time delay in primary percutaneous coronary intervention for acute myocardial infarction: analysis of geographical infrastructure-dependent and -independent components.

机构信息

Department of Public Health, Sapporo Medical University School of Medicine, S-1, W-17, Chuo-Ku, Sapporo, 060-8556, Japan.

Department of Pediatrics, Sapporo Medical University School of Medicine, Sapporo, Japan.

出版信息

Int J Health Geogr. 2023 Mar 30;22(1):7. doi: 10.1186/s12942-023-00328-5.

DOI:10.1186/s12942-023-00328-5
PMID:36998077
原文链接:https://pmc.ncbi.nlm.nih.gov/articles/PMC10064653/
Abstract

BACKGROUND

Prehospital delay in reaching a percutaneous coronary intervention (PCI) facility is a major problem preventing early coronary reperfusion in patients with ST-elevation myocardial infarction (STEMI). The aim of this study was to identify modifiable factors that contribute to the interval from symptom onset to arrival at a PCI-capable center with a focus on geographical infrastructure-dependent and -independent factors.

METHODS

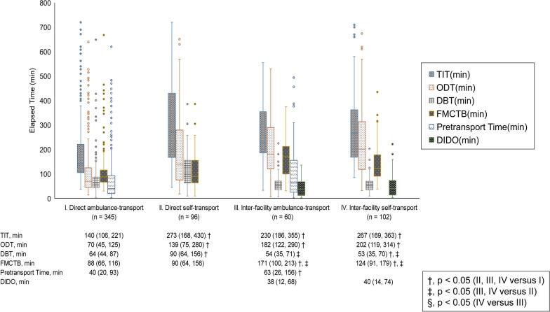
We analyzed data from 603 STEMI patients who received primary PCI within 12 h of symptom onset in the Hokkaido Acute Coronary Care Survey. We defined onset-to-door time (ODT) as the interval from the onset of symptoms to arrival at the PCI facility and we defined door-to-balloon time (DBT) as the interval from arrival at the PCI facility to PCI. We analyzed the characteristics and factors of each time interval by type of transportation to PCI facilities. In addition, we used geographical information system software to calculate the minimum prehospital system time (min-PST), which represents the time required to reach a PCI facility based on geographical factors. We then subtracted min-PST from ODT to find the estimated delay-in-arrival-to-door (eDAD), which represents the time required to reach a PCI facility independent of geographical factors. We investigated the factors related to the prolongation of eDAD.

RESULTS

DBT (median [IQR]: 63 [44, 90] min) was shorter than ODT (median [IQR]: 104 [56, 204] min) regardless of the type of transportation. However, ODT was more than 120 min in 44% of the patients. The min-PST (median [IQR]: 3.7 [2.2, 12.0] min) varied widely among patients, with a maximum of 156 min. Prolongation of eDAD (median [IQR]: 89.1 [49, 180] min) was associated with older age, absence of a witness, onset at night, no emergency medical services (EMS) call, and transfer via a non-PCI facility. If eDAD was zero, ODT was projected to be less than 120 min in more than 90% of the patients.

CONCLUSIONS

The contribution of geographical infrastructure-dependent time in prehospital delay was substantially smaller than that of geographical infrastructure-independent time. Intervention to shorten eDAD by focusing on factors such as older age, absence of a witness, onset at night, no EMS call, and transfer via a non-PCI facility appears to be an important strategy for reducing ODT in STEMI patients. Additionally, eDAD may be useful for evaluating the quality of STEMI patient transport in areas with different geographical conditions.

摘要

背景

在到达经皮冠状动脉介入治疗(PCI)机构之前的院前延迟是阻止 ST 段抬高型心肌梗死(STEMI)患者早期冠状动脉再灌注的主要问题。本研究的目的是确定导致从症状发作到到达具有 PCI 能力的中心的时间间隔的可改变因素,重点是地理基础设施依赖和独立的因素。

方法

我们分析了北海道急性冠状动脉护理调查中 603 例在症状发作后 12 小时内接受直接 PCI 的 STEMI 患者的数据。我们将从症状发作到到达 PCI 设施的时间定义为就诊至门时间(ODT),将从到达 PCI 设施到 PCI 的时间定义为门至球囊时间(DBT)。我们根据前往 PCI 设施的交通方式分析了每个时间间隔的特征和因素。此外,我们使用地理信息系统软件计算最小的院前系统时间(min-PST),它代表基于地理因素到达 PCI 设施所需的时间。然后,我们从 ODT 中减去 min-PST 以找到到达 PCI 设施的估计延迟时间(eDAD),它代表独立于地理因素到达 PCI 设施所需的时间。我们研究了与 eDAD 延长相关的因素。

结果

无论交通方式如何,DBT(中位数[IQR]:63 [44, 90] 分钟)均短于 ODT(中位数[IQR]:104 [56, 204] 分钟)。然而,44%的患者的 ODT 超过 120 分钟。患者之间的 min-PST(中位数[IQR]:3.7 [2.2, 12.0] 分钟)差异很大,最大为 156 分钟。eDAD 延长(中位数[IQR]:89.1 [49, 180] 分钟)与年龄较大、无目击者、夜间发作、无紧急医疗服务(EMS)呼叫以及通过非 PCI 设施转移有关。如果 eDAD 为零,则超过 90%的患者的 ODT 预计将小于 120 分钟。

结论

在院前延迟中,地理基础设施依赖时间的贡献明显小于地理基础设施独立时间的贡献。通过关注年龄较大、无目击者、夜间发作、无 EMS 呼叫以及通过非 PCI 设施转移等因素来缩短 eDAD 的干预措施似乎是减少 STEMI 患者 ODT 的重要策略。此外,eDAD 可能有助于评估具有不同地理条件的 STEMI 患者转运的质量。

https://cdn.ncbi.nlm.nih.gov/pmc/blobs/5046/10064653/62e742b0c172/12942_2023_328_Fig4_HTML.jpg
https://cdn.ncbi.nlm.nih.gov/pmc/blobs/5046/10064653/72f891702101/12942_2023_328_Fig1_HTML.jpg
https://cdn.ncbi.nlm.nih.gov/pmc/blobs/5046/10064653/c83b9f4135f1/12942_2023_328_Fig2_HTML.jpg
https://cdn.ncbi.nlm.nih.gov/pmc/blobs/5046/10064653/cafc886b2e40/12942_2023_328_Fig3_HTML.jpg
https://cdn.ncbi.nlm.nih.gov/pmc/blobs/5046/10064653/62e742b0c172/12942_2023_328_Fig4_HTML.jpg
https://cdn.ncbi.nlm.nih.gov/pmc/blobs/5046/10064653/72f891702101/12942_2023_328_Fig1_HTML.jpg
https://cdn.ncbi.nlm.nih.gov/pmc/blobs/5046/10064653/c83b9f4135f1/12942_2023_328_Fig2_HTML.jpg
https://cdn.ncbi.nlm.nih.gov/pmc/blobs/5046/10064653/cafc886b2e40/12942_2023_328_Fig3_HTML.jpg
https://cdn.ncbi.nlm.nih.gov/pmc/blobs/5046/10064653/62e742b0c172/12942_2023_328_Fig4_HTML.jpg

相似文献

1
Characterization of prehospital time delay in primary percutaneous coronary intervention for acute myocardial infarction: analysis of geographical infrastructure-dependent and -independent components.急性心肌梗死患者行直接经皮冠状动脉介入治疗的院前时间延误特征:基于地理基础设施的独立和非独立因素分析。
Int J Health Geogr. 2023 Mar 30;22(1):7. doi: 10.1186/s12942-023-00328-5.
2
Factors associated with door-in to door-out delays among ST-segment elevation myocardial infarction (STEMI) patients transferred for primary percutaneous coronary intervention: a population-based cohort study in Ontario, Canada.转至初级经皮冠状动脉介入治疗的ST段抬高型心肌梗死(STEMI)患者门到门延迟的相关因素:加拿大安大略省一项基于人群的队列研究
BMC Cardiovasc Disord. 2018 Oct 29;18(1):204. doi: 10.1186/s12872-018-0940-z.
3
[Evidence-based management of ST-segment elevation myocardial infarction (STEMI). Latest guidelines of the European Society of Cardiology (ESC) 2010].[ST段抬高型心肌梗死(STEMI)的循证管理。欧洲心脏病学会(ESC)2010年最新指南]
Herz. 2010 Dec;35(8):558-64. doi: 10.1007/s00059-010-3401-8.
4
Impact of transport pathways on the time from symptom onset of ST-segment elevation myocardial infarction to door of coronary intervention facility.转运途径对ST段抬高型心肌梗死症状发作至冠状动脉介入治疗机构就诊时间的影响。
J Cardiol. 2014 Jul;64(1):11-8. doi: 10.1016/j.jjcc.2013.11.008. Epub 2014 Jan 4.
5
Time delays in each step from symptom onset to treatment in acute myocardial infarction: Results from a nation-wide TURKMI registry.从急性心肌梗死症状发作到治疗的每个步骤的时间延迟:来自全国 TURKMI 注册研究的结果。
Anatol J Cardiol. 2021 May;25(5):294-303. doi: 10.5152/AnatolJCardiol.2021.39797.
6
The impact of transferring patients with ST-segment elevation myocardial infarction to percutaneous coronary intervention-capable hospitals on clinical outcomes.将ST段抬高型心肌梗死患者转运至具备经皮冠状动脉介入治疗能力的医院对临床结局的影响。
Cardiol J. 2016;23(3):289-95. doi: 10.5603/CJ.a2016.0003. Epub 2016 Jan 18.
7
Symptom-to-needle times in ST-segment elevation myocardial infarction: shortest route to a primary coronary intervention facility.症状出现至给予溶栓药物时间:最短路径至直接经皮冠状动脉介入治疗机构。
Arch Cardiovasc Dis. 2013 Mar;106(3):162-8. doi: 10.1016/j.acvd.2012.12.003. Epub 2013 Feb 23.
8
The Safety of Bypass to Percutaneous Coronary Intervention Facility by Basic Life Support Providers in Patients with ST-Elevation Myocardial Infarction in Prehospital Setting.院前环境下,基础生命支持提供者将ST段抬高型心肌梗死患者转运至经皮冠状动脉介入治疗机构的安全性。
J Emerg Med. 2018 Dec;55(6):792-798. doi: 10.1016/j.jemermed.2018.09.006. Epub 2018 Oct 9.
9
Effect of the "door-to-balloon" time on the results of treatment of patients with ST-segment elevation myocardial infarction, depending on the duration of the pre-hospital delay.“门球”时间对 ST 段抬高型心肌梗死患者治疗结果的影响,取决于院前延误时间。
Kardiologiia. 2023 Jun 30;63(6):28-36. doi: 10.18087/cardio.2023.6.n2245.
10
Randomized comparison of pre-hospital-initiated facilitated percutaneous coronary intervention versus primary percutaneous coronary intervention in acute myocardial infarction very early after symptom onset: the LIPSIA-STEMI trial (Leipzig immediate prehospital facilitated angioplasty in ST-segment myocardial infarction).症状发作后极早期行院前启动的辅助经皮冠状动脉介入治疗与直接经皮冠状动脉介入治疗治疗急性心肌梗死的随机比较:LIPSIA-STEMI 试验(莱比锡即刻院前辅助 ST 段抬高型心肌梗死血管成形术)
JACC Cardiovasc Interv. 2011 Jun;4(6):605-14. doi: 10.1016/j.jcin.2011.01.013.

引用本文的文献

1
Analysis of the Predictors of Mortality from Ischemic Heart Diseases in the Southern Region of Brazil: A Geographic Machine-Learning-Based Study.巴西南部地区缺血性心脏病死亡率预测因素分析:一项基于地理机器学习的研究。
Glob Heart. 2024 Nov 27;19(1):89. doi: 10.5334/gh.1371. eCollection 2024.
2
Prevalence and prognostic implications of the no-reflux phenomenon in patients undergoing primary percutaneous coronary intervention at a university center in a middle-income country.在中等收入国家的一所大学中心接受初次经皮冠状动脉介入治疗的患者中无反流现象的流行率及其预后意义。
Arch Cardiol Mex. 2024;94(3):331-340. doi: 10.24875/ACM.23000120.

本文引用的文献

1
Before the door: Comparing factors affecting symptom onset to first medical contact for STEMI patients between a high and low-middle income country.门之前:比较高收入国家与中低收入国家ST段抬高型心肌梗死患者症状发作至首次就医的影响因素。
Int J Cardiol Heart Vasc. 2022 Mar 8;39:100978. doi: 10.1016/j.ijcha.2022.100978. eCollection 2022 Apr.
2
The association between time to extracorporeal cardiopulmonary resuscitation and outcome in patients with out-of-hospital cardiac arrest.体外心肺复苏时间与院外心脏骤停患者预后的关系。
Eur Heart J Acute Cardiovasc Care. 2022 Jun 7;11(4):279-289. doi: 10.1093/ehjacc/zuac010.
3
Systems of Care for ST-Segment-Elevation Myocardial Infarction: A Policy Statement From the American Heart Association.
ST 段抬高型心肌梗死的照护系统:美国心脏协会的政策声明。
Circulation. 2021 Nov 16;144(20):e310-e327. doi: 10.1161/CIR.0000000000001025. Epub 2021 Oct 13.
4
Association of onset-season with characteristics and long-term outcomes in acute myocardial infarction patients: results from the Japanese registry of acute myocardial infarction diagnosed by universal definition (J-MINUET) substudy.急性心肌梗死患者发病季节与特征及长期预后的关联:来自日本通用定义诊断的急性心肌梗死登记研究(J-MINUET)子研究的结果
Heart Vessels. 2019 Dec;34(12):1899-1908. doi: 10.1007/s00380-019-01426-w. Epub 2019 May 25.
5
JCS 2018 Guideline on Diagnosis and Treatment of Acute Coronary Syndrome.《日本循环学会2018年急性冠状动脉综合征诊断与治疗指南》
Circ J. 2019 Apr 25;83(5):1085-1196. doi: 10.1253/circj.CJ-19-0133. Epub 2019 Mar 29.
6
Factors influencing patient delay before primary percutaneous coronary intervention in ST-segment elevation myocardial infarction: The Stent for life initiative in Portugal.影响ST段抬高型心肌梗死患者在接受直接经皮冠状动脉介入治疗前延迟的因素:葡萄牙的“生命支架”倡议
Rev Port Cardiol (Engl Ed). 2018 May;37(5):409-421. doi: 10.1016/j.repc.2017.07.014. Epub 2018 May 8.
7
Rural-Urban Disparity in Emergency Care for Acute Myocardial Infarction in Japan.日本急性心肌梗死急救治疗的城乡差异。
Circ J. 2018 May 25;82(6):1666-1674. doi: 10.1253/circj.CJ-17-1275. Epub 2018 Mar 27.
8
Regional "Call 911" Emergency Department Protocol to Reduce Interfacility Transfer Delay for Patients With ST-Segment-Elevation Myocardial Infarction.区域“拨打 911”急诊科协议,以减少 ST 段抬高型心肌梗死患者的院内转院延迟。
J Am Heart Assoc. 2017 Dec 23;6(12):e006898. doi: 10.1161/JAHA.117.006898.
9
2017 ESC Guidelines for the management of acute myocardial infarction in patients presenting with ST-segment elevation: The Task Force for the management of acute myocardial infarction in patients presenting with ST-segment elevation of the European Society of Cardiology (ESC).2017年欧洲心脏病学会(ESC)ST段抬高型急性心肌梗死患者管理指南:欧洲心脏病学会(ESC)ST段抬高型急性心肌梗死患者管理工作组
Eur Heart J. 2018 Jan 7;39(2):119-177. doi: 10.1093/eurheartj/ehx393.
10
Delays in Emergency Care and Mortality during Major U.S. Marathons.美国大型马拉松赛事中的急诊护理延误与死亡率
N Engl J Med. 2017 Apr 13;376(15):1441-1450. doi: 10.1056/NEJMsa1614073.