• 文献检索
  • 文档翻译
  • 深度研究
  • 学术资讯
  • Suppr Zotero 插件Zotero 插件
  • 邀请有礼
  • 套餐&价格
  • 历史记录
应用&插件
Suppr Zotero 插件Zotero 插件浏览器插件Mac 客户端Windows 客户端微信小程序
定价
高级版会员购买积分包购买API积分包
服务
文献检索文档翻译深度研究API 文档MCP 服务
关于我们
关于 Suppr公司介绍联系我们用户协议隐私条款
关注我们

Suppr 超能文献

核心技术专利:CN118964589B侵权必究
粤ICP备2023148730 号-1Suppr @ 2026

文献检索

告别复杂PubMed语法,用中文像聊天一样搜索,搜遍4000万医学文献。AI智能推荐,让科研检索更轻松。

立即免费搜索

文件翻译

保留排版,准确专业,支持PDF/Word/PPT等文件格式,支持 12+语言互译。

免费翻译文档

深度研究

AI帮你快速写综述,25分钟生成高质量综述,智能提取关键信息,辅助科研写作。

立即免费体验

活性材料的抗病毒活性:标准及基于指垫的创新实验方法

Antiviral Activity of Active Materials: Standard and Finger-Pad-Based Innovative Experimental Approaches.

作者信息

Szpiro Lea, Bourgeay Clara, Hoareau Alexandre Loic, Julien Thomas, Menard Camille, Marie Yana, Rosa-Calatrava Manuel, Moules Vincent

机构信息

VirHealth SAS, Innovation Centre Lyonbiopole, 321 Avenue Jean Jaurès, 69007 Lyon, France.

CIRI, Centre International de Recherche en Infectiologie, (Team VirPath), Université de Lyon, Inserm, U1111, Université Claude Bernard Lyon 1, CNRS, UMR5308, ENS de Lyon, 69007 Lyon, France.

出版信息

Materials (Basel). 2023 Apr 5;16(7):2889. doi: 10.3390/ma16072889.

DOI:10.3390/ma16072889
PMID:37049183
原文链接:https://pmc.ncbi.nlm.nih.gov/articles/PMC10096329/
Abstract

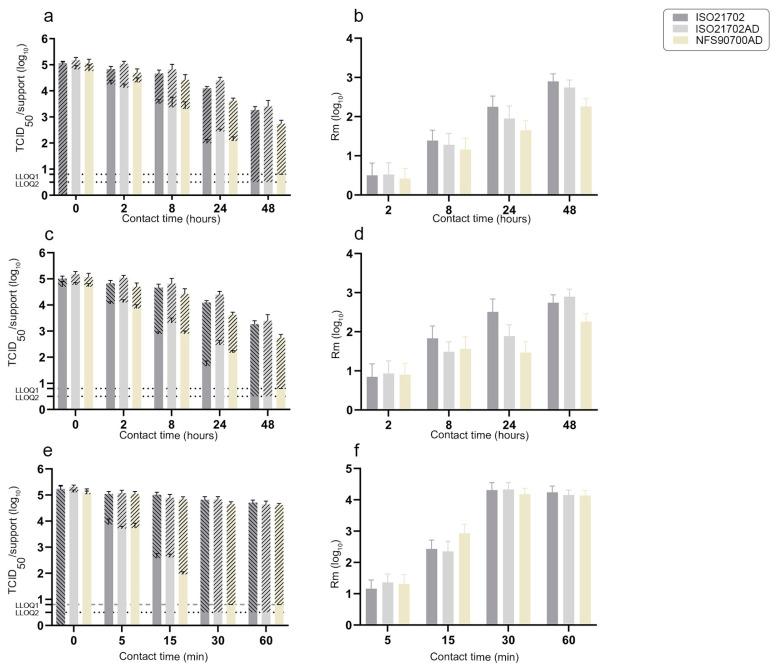
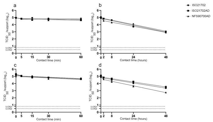
Environmental surfaces, including high-touch surfaces (HITS), bear a high risk of becoming fomites and can participate in viral dissemination through contact and transmission to other persons, due to the capacity of viruses to persist on such contaminated surface before being transferred to hands or other supports at sufficient concentration to initiate infection through direct contact. Interest in the development of self-decontaminating materials as additional safety measures towards preventing viral infectious disease transmission has been growing. Active materials are expected to reduce the viral charge on surfaces over time and consequently limit viral transmission capacity through direct contact. In this study, we compared antiviral activities obtained using three different experimental procedures by assessing the survival of an enveloped virus (influenza virus) and non-enveloped virus (feline calicivirus) over time on a reference surface and three active materials. Our data show that experimental test conditions can have a substantial impact of over 1 log on the antiviral activity of active material for the same contact period, depending on the nature of the virus. We then developed an innovative and reproducible approach based on finger-pad transfer to evaluate the antiviral activity of HITS against a murine norovirus inoculum under conditions closely reflecting real-life surface exposure.

摘要

环境表面,包括高频接触表面(HITS),有很高的成为污染物的风险,并且由于病毒能够在这种受污染表面上持续存在,直至以足够的浓度转移到手上或其他载体上,通过直接接触引发感染,从而参与病毒传播。作为预防病毒传染病传播的额外安全措施,对开发自消毒材料的兴趣一直在增加。活性材料有望随着时间的推移减少表面上的病毒载量,从而限制通过直接接触的病毒传播能力。在本研究中,我们通过评估包膜病毒(流感病毒)和非包膜病毒(猫杯状病毒)在参考表面和三种活性材料上随时间的存活情况,比较了使用三种不同实验程序获得的抗病毒活性。我们的数据表明,在相同的接触时间内,根据病毒的性质,实验测试条件可对活性材料的抗病毒活性产生超过1个对数的显著影响。然后,我们开发了一种基于指垫转移的创新且可重复的方法,以在紧密反映实际表面暴露的条件下评估HITS对鼠诺如病毒接种物的抗病毒活性。

https://cdn.ncbi.nlm.nih.gov/pmc/blobs/e3d3/10096329/122985849a2b/materials-16-02889-g007.jpg
https://cdn.ncbi.nlm.nih.gov/pmc/blobs/e3d3/10096329/91e4fe221f0c/materials-16-02889-g001.jpg
https://cdn.ncbi.nlm.nih.gov/pmc/blobs/e3d3/10096329/e868433470a1/materials-16-02889-g002.jpg
https://cdn.ncbi.nlm.nih.gov/pmc/blobs/e3d3/10096329/704ac3487349/materials-16-02889-g003.jpg
https://cdn.ncbi.nlm.nih.gov/pmc/blobs/e3d3/10096329/949cbf17a455/materials-16-02889-g004.jpg
https://cdn.ncbi.nlm.nih.gov/pmc/blobs/e3d3/10096329/533b5787b8e3/materials-16-02889-g005.jpg
https://cdn.ncbi.nlm.nih.gov/pmc/blobs/e3d3/10096329/5da28bf2ec66/materials-16-02889-g006.jpg
https://cdn.ncbi.nlm.nih.gov/pmc/blobs/e3d3/10096329/122985849a2b/materials-16-02889-g007.jpg
https://cdn.ncbi.nlm.nih.gov/pmc/blobs/e3d3/10096329/91e4fe221f0c/materials-16-02889-g001.jpg
https://cdn.ncbi.nlm.nih.gov/pmc/blobs/e3d3/10096329/e868433470a1/materials-16-02889-g002.jpg
https://cdn.ncbi.nlm.nih.gov/pmc/blobs/e3d3/10096329/704ac3487349/materials-16-02889-g003.jpg
https://cdn.ncbi.nlm.nih.gov/pmc/blobs/e3d3/10096329/949cbf17a455/materials-16-02889-g004.jpg
https://cdn.ncbi.nlm.nih.gov/pmc/blobs/e3d3/10096329/533b5787b8e3/materials-16-02889-g005.jpg
https://cdn.ncbi.nlm.nih.gov/pmc/blobs/e3d3/10096329/5da28bf2ec66/materials-16-02889-g006.jpg
https://cdn.ncbi.nlm.nih.gov/pmc/blobs/e3d3/10096329/122985849a2b/materials-16-02889-g007.jpg

相似文献

1
Antiviral Activity of Active Materials: Standard and Finger-Pad-Based Innovative Experimental Approaches.活性材料的抗病毒活性:标准及基于指垫的创新实验方法
Materials (Basel). 2023 Apr 5;16(7):2889. doi: 10.3390/ma16072889.
2
Recovery Optimization and Survival of the Human Norovirus Surrogates Feline Calicivirus and Murine Norovirus on Carpet.人诺如病毒替代物猫杯状病毒和鼠诺如病毒在地毯上的恢复优化及存活情况
Appl Environ Microbiol. 2017 Oct 31;83(22). doi: 10.1128/AEM.01336-17. Print 2017 Nov 15.
3
Virucidal activity of a quaternary ammonium compound disinfectant against feline calicivirus: a surrogate for norovirus.一种季铵化合物消毒剂对猫杯状病毒的杀病毒活性:作为诺如病毒的替代物
Am J Infect Control. 2006 Jun;34(5):269-73. doi: 10.1016/j.ajic.2005.11.009.
4
Factors Impacting Persistence of Phi6 Bacteriophage, an Enveloped Virus Surrogate, on Fomite Surfaces.影响包膜病毒噬菌体 Phi6 在污染物表面持久性的因素。
Appl Environ Microbiol. 2022 Apr 12;88(7):e0255221. doi: 10.1128/aem.02552-21. Epub 2022 Mar 14.
5
Reducing viral contamination from finger pads: handwashing is more effective than alcohol-based hand disinfectants.减少指垫上的病毒污染:洗手比含酒精的手部消毒剂更有效。
J Hosp Infect. 2015 Jul;90(3):226-34. doi: 10.1016/j.jhin.2015.02.019. Epub 2015 Apr 10.
6
Assessment of Antiviral Coatings for High-Touch Surfaces by Using Human Coronaviruses HCoV-229E and SARS-CoV-2.采用人冠状病毒 HCoV-229E 和 SARS-CoV-2 评估高接触表面的抗病毒涂层。
Appl Environ Microbiol. 2021 Sep 10;87(19):e0109821. doi: 10.1128/AEM.01098-21.
7
Virucidal Efficacy of a Hydrogen Peroxide Nebulization Against Murine Norovirus and Feline Calicivirus, Two Surrogates of Human Norovirus.过氧化氢雾化对鼠诺如病毒和猫杯状病毒(人类诺如病毒的两种替代病毒)的杀病毒效力
Food Environ Virol. 2016 Dec;8(4):275-282. doi: 10.1007/s12560-016-9253-5. Epub 2016 Jul 6.
8
Transfer of noroviruses between fingers and fomites and food products.诺如病毒在手指与污染物及食物间的传播。
Int J Food Microbiol. 2013 Nov 1;167(3):346-52. doi: 10.1016/j.ijfoodmicro.2013.09.018. Epub 2013 Oct 5.
9
Tenacity of human norovirus and the surrogates feline calicivirus and murine norovirus during long-term storage on common nonporous food contact surfaces.人诺如病毒以及替代物猫杯状病毒和鼠诺如病毒在常见无孔食品接触表面长期储存期间的持久性。
J Food Prot. 2015 Jan;78(1):224-9. doi: 10.4315/0362-028X.JFP-14-165.
10
Antiviral activity of Ecasol against feline calicivirus, a surrogate of human norovirus.埃可索醇对猫杯状病毒(人诺如病毒的替代物)的抗病毒活性。
J Infect Public Health. 2012 Dec;5(6):420-4. doi: 10.1016/j.jiph.2012.10.001. Epub 2012 Dec 17.

本文引用的文献

1
Animal models for COVID-19: advances, gaps and perspectives.用于 COVID-19 的动物模型:进展、差距与展望。
Signal Transduct Target Ther. 2022 Jul 7;7(1):220. doi: 10.1038/s41392-022-01087-8.
2
Efficacy of biocidal agents and disinfectants against the monkeypox virus and other orthopoxviruses.消毒剂和杀生物剂对猴痘病毒和其他正痘病毒的功效。
J Hosp Infect. 2022 Sep;127:101-110. doi: 10.1016/j.jhin.2022.06.012. Epub 2022 Jun 28.
3
Biocide effect against SARS-CoV-2 and ESKAPE pathogens of a noncytotoxic silver-copper nanofilm.
一种非细胞毒性的银铜纳米薄膜对 SARS-CoV-2 和 ESKAPE 病原体的杀菌效果。
Biomed Mater. 2021 Nov 12;17(1). doi: 10.1088/1748-605X/ac3208.
4
Transfer Rate of Enveloped and Nonenveloped Viruses between Fingerpads and Surfaces.包膜病毒和非包膜病毒在指腹和表面之间的传递速率。
Appl Environ Microbiol. 2021 Oct 28;87(22):e0121521. doi: 10.1128/AEM.01215-21. Epub 2021 Sep 1.
5
Seroconversion and fever are dose-dependent in a nonhuman primate model of inhalational COVID-19.在吸入性 COVID-19 的非人灵长类动物模型中,血清转化和发热与剂量有关。
PLoS Pathog. 2021 Aug 23;17(8):e1009865. doi: 10.1371/journal.ppat.1009865. eCollection 2021 Aug.
6
Cupric Oxide Coating That Rapidly Reduces Infection by SARS-CoV-2 via Solids.氧化铜涂层通过固-液接触迅速降低 SARS-CoV-2 感染风险
ACS Appl Mater Interfaces. 2021 Feb 10;13(5):5919-5928. doi: 10.1021/acsami.0c19465. Epub 2021 Jan 22.
7
Genomic epidemiology of superspreading events in Austria reveals mutational dynamics and transmission properties of SARS-CoV-2.奥地利超级传播事件的基因组流行病学揭示了 SARS-CoV-2 的突变动态和传播特性。
Sci Transl Med. 2020 Dec 9;12(573). doi: 10.1126/scitranslmed.abe2555. Epub 2020 Nov 23.
8
Antimicrobial Nanomaterials and Coatings: Current Mechanisms and Future Perspectives to Control the Spread of Viruses Including SARS-CoV-2.抗菌纳米材料和涂层:控制病毒(包括 SARS-CoV-2)传播的当前机制和未来展望。
ACS Nano. 2020 Oct 27;14(10):12341-12369. doi: 10.1021/acsnano.0c05937. Epub 2020 Oct 9.
9
Potent antiviral effect of silver nanoparticles on SARS-CoV-2.银纳米粒子对 SARS-CoV-2 的强大抗病毒作用。
Biochem Biophys Res Commun. 2020 Nov 26;533(1):195-200. doi: 10.1016/j.bbrc.2020.09.018. Epub 2020 Sep 11.
10
Aerosol and surface contamination of SARS-CoV-2 observed in quarantine and isolation care.在检疫和隔离护理中观察到的 SARS-CoV-2 的气溶胶和表面污染。
Sci Rep. 2020 Jul 29;10(1):12732. doi: 10.1038/s41598-020-69286-3.