Department of Cardiology, Clinical School of Thoracic, Tianjin Medical University, Tianjin 300222, China.
Department of Cardiology, The First Hospital of Qinhuangdao, Qinhuangdao, Hebei 066000, China.
Chin Med J (Engl). 2023 May 20;136(10):1198-1206. doi: 10.1097/CM9.0000000000002637. Epub 2023 Apr 12.
Right ventricular (RV)-arterial uncoupling is a powerful independent predictor of prognosis in heart failure with preserved ejection fraction (HFpEF). Coronary artery disease (CAD) can contribute to the pathophysiological characteristics of HFpEF. This study aimed to evaluate the prognostic value of RV-arterial uncoupling in acute HFpEF patients with CAD.
This prospective study included 250 consecutive acute HFpEF patients with CAD. Patients were divided into RV-arterial uncoupling and coupling groups by the optimal cutoff value, based on a receiver operating characteristic curve of tricuspid annular plane systolic excursion to pulmonary artery systolic pressure (TAPSE/PASP). The primary endpoint was a composite of all-cause death, recurrent ischemic events, and HF hospitalizations.
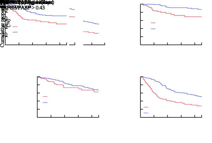
TAPSE/PASP ≤0.43 provided good accuracy in identifying patients with RV-arterial uncoupling (area under the curve, 0.731; sensitivity, 61.4%; and specificity, 76.6%). Of the 250 patients, 150 and 100 patients could be grouped into the RV-arterial coupling (TAPSE/PASP >0.43) and uncoupling (TAPSE/PASP ≤0.43) groups, respectively. Revascularization strategies were slightly different between groups; the RV-arterial uncoupling group had a lower rate of complete revascularization (37.0% [37/100] vs . 52.7% [79/150], P <0.001) and a higher rate of no revascularization (18.0% [18/100] vs . 4.7% [7/150], P <0.001) compared to the RV-arterial coupling group. The cohort with TAPSE/PASP ≤0.43 had a significantly worse prognosis than the cohort with TAPSE/PASP >0.43. Multivariate Cox analysis showed TAPSE/PASP ≤0.43 as an independent associated factor for the primary endpoint, all-cause death, and recurrent HF hospitalization (hazard ratios [HR]: 2.21, 95% confidence interval [CI]: 1.44-3.39, P <0.001; HR: 3.32, 95% CI: 1.30-8.47, P = 0.012; and HR: 1.93, 95% CI: 1.10-3.37, P = 0.021, respectively), but not for recurrent ischemic events (HR: 1.48, 95% CI: 0.75-2.90, P = 0.257).
RV-arterial uncoupling, based on TAPSE/PASP, is independently associated with adverse outcomes in acute HFpEF patients with CAD.
右心室(RV)-动脉解耦是射血分数保留的心力衰竭(HFpEF)患者预后的有力独立预测因子。冠状动脉疾病(CAD)可导致 HFpEF 的病理生理特征。本研究旨在评估 RV-动脉解耦在急性 CAD 合并 HFpEF 患者中的预后价值。
本前瞻性研究纳入了 250 例连续急性 CAD 合并 HFpEF 患者。根据三尖瓣环平面收缩期位移与肺动脉收缩压(TAPSE/PASP)的最佳截断值,将患者分为 RV-动脉解耦和耦合组。主要终点是全因死亡、复发性缺血事件和 HF 住院的复合终点。
TAPSE/PASP≤0.43 可准确识别 RV-动脉解耦患者(曲线下面积,0.731;敏感性,61.4%;特异性,76.6%)。在 250 例患者中,150 例和 100 例患者可分别归入 RV-动脉耦联(TAPSE/PASP>0.43)和解耦(TAPSE/PASP≤0.43)组。两组之间的再血管化策略略有不同;RV-动脉解耦组完全再血管化率较低(37.0%[37/100] vs. 52.7%[79/150],P<0.001),无再血管化率较高(18.0%[18/100] vs. 4.7%[7/150],P<0.001)。TAPSE/PASP≤0.43 组的预后明显差于 TAPSE/PASP>0.43 组。多变量 Cox 分析显示,TAPSE/PASP≤0.43 是主要终点、全因死亡和复发性 HF 住院的独立相关因素(风险比[HR]:2.21,95%置信区间[CI]:1.44-3.39,P<0.001;HR:3.32,95% CI:1.30-8.47,P=0.012;HR:1.93,95% CI:1.10-3.37,P=0.021),但与复发性缺血事件无关(HR:1.48,95% CI:0.75-2.90,P=0.257)。
基于 TAPSE/PASP 的 RV-动脉解耦与 CAD 合并急性 HFpEF 患者的不良预后独立相关。