Suppr超能文献

尖锐湿疣:细胞和分子水平的免疫应答评估。

Condyloma acuminata: An evaluation of the immune response at cellular and molecular levels.

机构信息

Department of Biology, São Paulo State University, São José do Rio Preto, São Paulo, Brazil.

Department of Histology, Embryology and Cell Biology, Federal University of Goiás, Goiânia, Goiás, Brazil.

出版信息

PLoS One. 2023 Apr 13;18(4):e0284296. doi: 10.1371/journal.pone.0284296. eCollection 2023.

Abstract

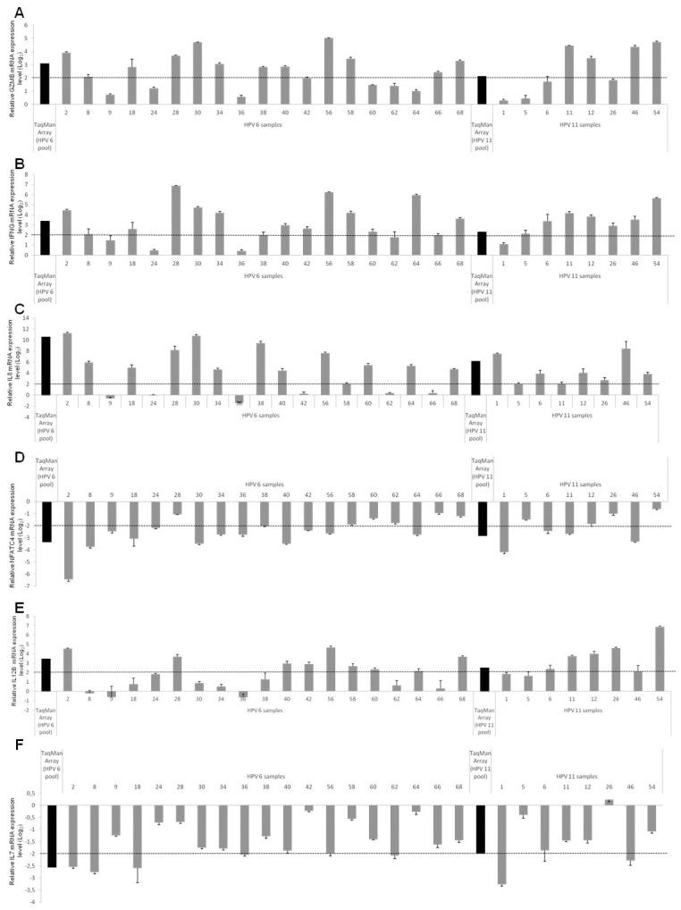
Condyloma acuminata (CA) is a benign proliferative disease mainly affecting in non-keratinized epithelia. Most cases of CA are caused by low-risk human papillomavirus (HPV), mainly HPV 6 and 11. The aim of the current study was to highlight the candidate genes and pathways associated with immune alterations in individuals who did not spontaneously eliminate the virus and, thus, develop genital warts. Paraffin-embedded condyloma samples (n = 56) were analyzed by immunohistochemistry using antibodies against CD1a, FOXP3, CD3, CD4, CD8, and IFN-γ. The immunomarkers were chosen based on the evaluation of the innate and adaptive immune pathways using qPCR analysis of 92 immune-related genes, applying a TaqMan Array Immune Response assay in HPV 6 or HPV 11 positive samples (n = 27). Gene expression analysis revealed 31 differentially expressed genes in CA lesions. Gene expression validation revealed upregulation of GZMB, IFNG, IL12B, and IL8 and downregulation of NFATC4 and IL7 in CA samples. Immunohistochemical analysis showed increased FOXP3, IFN-γ, CD1a, and CD4 expression in CA than in the control tissue samples. In contrast, CD3 and CD8 expression was decreased in CA lesion samples. Increased levels of pro-inflammatory cytokines in HPV-positive patients compared with HPV-negative patients seem to reflect the elevated immunogenicity of HPV-positive CA lesions. Host defense against HPV begins during the early stages of the innate immune response and is followed by activation of T lymphocytes, which are mainly represented by CD4+ and regulatory T cells. The low CD8+ T cell count in CA may contribute to this recurrent behavior. Additional studies are needed to elucidate the mechanism of host defense against HPV infection in CA.

摘要

尖锐湿疣(CA)是一种主要影响非角质化上皮的良性增生性疾病。大多数 CA 病例由低危型人乳头瘤病毒(HPV)引起,主要为 HPV 6 和 11 型。本研究旨在强调与未能自发清除病毒并因此发生生殖器疣的个体免疫改变相关的候选基因和途径。使用针对 CD1a、FOXP3、CD3、CD4、CD8 和 IFN-γ 的抗体,通过免疫组织化学分析 56 例尖锐湿疣石蜡包埋样本。免疫标志物是根据使用 TaqMan Array Immune Response 检测 HPV 6 或 HPV 11 阳性样本(n=27)中 92 个免疫相关基因的 qPCR 分析评估固有和适应性免疫途径而选择的。基因表达分析显示 CA 病变中有 31 个差异表达基因。基因表达验证显示 CA 样本中 GZMB、IFNG、IL12B 和 IL8 上调,NFATC4 和 IL7 下调。免疫组织化学分析显示 CA 样本中 FOXP3、IFN-γ、CD1a 和 CD4 的表达高于对照组织样本。相比之下,CA 病变样本中 CD3 和 CD8 的表达减少。与 HPV 阴性患者相比,HPV 阳性患者中促炎细胞因子水平升高似乎反映了 HPV 阳性 CA 病变的免疫原性增加。宿主对 HPV 的防御始于先天免疫反应的早期阶段,随后是 T 淋巴细胞的激活,这些细胞主要由 CD4+和调节性 T 细胞组成。CA 中 CD8+T 细胞计数低可能导致这种复发性行为。需要进一步的研究来阐明 CA 中宿主对 HPV 感染的防御机制。

https://cdn.ncbi.nlm.nih.gov/pmc/blobs/aa28/10101375/7712cd7eaf71/pone.0284296.g001.jpg

文献AI研究员

20分钟写一篇综述,助力文献阅读效率提升50倍。

立即体验

用中文搜PubMed

大模型驱动的PubMed中文搜索引擎

马上搜索

文档翻译

学术文献翻译模型,支持多种主流文档格式。

立即体验