Antibiotic Resistance Laboratory, Vall d'Hebron Research Institute (VHIR), Infectious Diseases Department, Vall d'Hebron University Hospital, Barcelona, Spain.
Spanish Network for Research in Infectious Diseases (REIPI RD19/0016), Instituto de Salud Carlos III, Madrid, Spain.
Microbiol Spectr. 2023 Jun 15;11(3):e0028023. doi: 10.1128/spectrum.00280-23. Epub 2023 Apr 20.
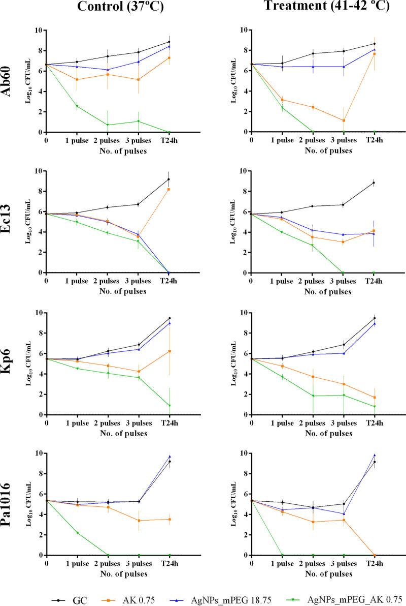
In view of the current increase and spread of antimicrobial resistance (AMR), there is an urgent need to find new strategies to combat it. This study had two aims. First, we synthesized highly monodispersed silver nanoparticles (AgNPs) of approximately 17 nm, and we functionalized them with mercaptopoly(ethylene glycol) carboxylic acid (mPEG-COOH) and amikacin (AK). Second, we evaluated the antibacterial activity of this treatment (AgNPs_mPEG_AK) alone and in combination with hyperthermia against planktonic and biofilm-growing strains. AgNPs, AgNPs_mPEG, and AgNPs_mPEG_AK were characterized using a suite of spectroscopy and microscopy methods. Susceptibility to these treatments and AK was determined after 24 h and over time against 12 clinical multidrug-resistant (MDR)/extensively drug-resistant (XDR) isolates of Acinetobacter baumannii, Escherichia coli, Klebsiella pneumoniae, and Pseudomonas aeruginosa. The efficacy of the treatments alone and in combination with hyperthermia (1, 2, and 3 pulses at 41°C to 42°C for 15 min) was tested against the same planktonic strains using quantitative culture and against one P. aeruginosa strain growing on silicone disks using confocal laser scanning microscopy. The susceptibility studies showed that AgNPs_mPEG_AK was 10-fold more effective than AK alone, and bactericidal efficacy after 4, 8, 24, or 48 h was observed against 100% of the tested strains. The combination of AgNPs_mPEG_AK and hyperthermia eradicated 75% of the planktonic strains and exhibited significant reductions in biofilm formation by P. aeruginosa in comparison with the other treatments tested, except for AgNPs_mPEG_AK without hyperthermia. In conclusion, the combination of AgNPs_mPEG_AK and hyperthermia may be a promising therapy against MDR/XDR and biofilm-producing strains. Antimicrobial resistance (AMR) is one of the greatest public health challenges, accounting for 1.27 million deaths worldwide in 2019. Biofilms, a complex microbial community, directly contribute to increased AMR. Therefore, new strategies are urgently required to combat infections caused by AMR and biofilm-producing strains. Silver nanoparticles (AgNPs) exhibit antimicrobial activity and can be functionalized with antibiotics. Although AgNPs are very promising, their effectiveness in complex biological environments still falls below the concentrations at which AgNPs are stable in terms of aggregation. Thus, improving the antibacterial effectiveness of AgNPs by functionalizing them with antibiotics may be a significant change to consolidate AgNPs as an alternative to antibiotics. It has been reported that hyperthermia has a large effect on the growth of planktonic and biofilm-producing strains. Therefore, we propose a new strategy based on AgNPs functionalized with amikacin and combined with hyperthermia (41°C to 42°C) to treat AMR and biofilm-related infections.
鉴于目前抗菌药物耐药性(AMR)的增加和传播,迫切需要寻找新的策略来对抗它。本研究有两个目的。首先,我们合成了约 17nm 的高度单分散银纳米粒子(AgNPs),并用巯基聚(乙二醇)羧酸(mPEG-COOH)和阿米卡星(AK)对其进行功能化。其次,我们评估了这种治疗方法(AgNPs_mPEG_AK)单独和与热疗联合对浮游和生物膜生长株的抗菌活性。使用一系列光谱和显微镜方法对 AgNPs、AgNPs_mPEG 和 AgNPs_mPEG_AK 进行了表征。在 24 小时和一段时间内,测定了这些处理方法和 AK 对 12 株临床多药耐药(MDR)/广泛耐药(XDR)鲍曼不动杆菌、大肠杆菌、肺炎克雷伯菌和铜绿假单胞菌的敏感性。使用定量培养法对相同浮游株单独和与热疗(1、2 和 3 个 41°C 至 42°C 的脉冲,每个脉冲 15 分钟)联合治疗进行了疗效测试,并使用共聚焦激光扫描显微镜对一个在硅胶盘上生长的铜绿假单胞菌菌株进行了测试。敏感性研究表明,AgNPs_mPEG_AK 比 AK 单独使用有效 10 倍,并且在 4、8、24 或 48 小时后观察到对 100%测试菌株的杀菌效果。AgNPs_mPEG_AK 和热疗的联合治疗根除了 75%的浮游株,与其他测试的治疗方法相比,显著减少了铜绿假单胞菌生物膜的形成,除了没有热疗的 AgNPs_mPEG_AK 外。总之,AgNPs_mPEG_AK 和热疗的联合治疗可能是对抗 MDR/XDR 和生物膜形成菌株的一种很有前途的治疗方法。抗菌药物耐药性(AMR)是最大的公共卫生挑战之一,2019 年全球有 127 万人因此死亡。生物膜,一种复杂的微生物群落,直接导致 AMR 的增加。因此,迫切需要新的策略来对抗由 AMR 和生物膜形成菌株引起的感染。银纳米粒子(AgNPs)具有抗菌活性,并可与抗生素功能化。尽管 AgNPs 非常有前景,但它们在复杂的生物环境中的有效性仍低于 AgNPs 在聚集方面稳定的浓度。因此,通过将抗生素功能化来提高 AgNPs 的抗菌效果可能是将 AgNPs 作为抗生素替代品的重大改变。据报道,热疗对浮游和生物膜形成株的生长有很大影响。因此,我们提出了一种基于阿米卡星功能化的 AgNPs 并结合热疗(41°C 至 42°C)的新策略,以治疗 AMR 和与生物膜相关的感染。