Suppr超能文献

屈颈试验被重新用于定量评估脑脊液搏动曲线。

Queckenstedt's test repurposed for the quantitative assessment of the cerebrospinal fluid pulsatility curve.

机构信息

Department of Neurology and Neurophysiology, Balgrist University Hospital, Zurich, Switzerland.

The Interface Group, Institute of Physiology, University of Zurich, Zurich, Switzerland.

出版信息

Acta Neurochir (Wien). 2023 Jun;165(6):1533-1543. doi: 10.1007/s00701-023-05583-w. Epub 2023 Apr 20.

Abstract

PURPOSE

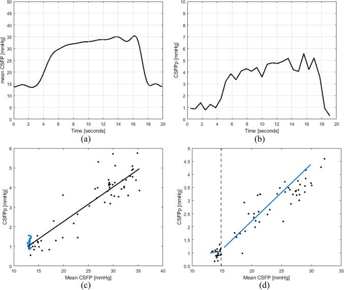
Before the era of spinal imaging, presence of a spinal canal block was tested through gross changes in cerebrospinal fluid pressure (CSFP) provoked by manual compression of the jugular veins (referred to as Queckenstedt's test; QT). Beyond these provoked gross changes, cardiac-driven CSFP peak-to-valley amplitudes (CSFPp) can be recorded during CSFP registration. This is the first study to assess whether the QT can be repurposed to derive descriptors of the CSF pulsatility curve, focusing on feasibility and repeatability.

METHOD

Lumbar puncture was performed in lateral recumbent position in fourteen elderly patients (59.7±9.3 years, 6F) (NCT02170155) without stenosis of the spinal canal. CSFP was recorded during resting state and QT. A surrogate for the relative pulse pressure coefficient was computed from repeated QTs (i.e., RPPC-Q).

RESULTS

Resting state mean CSFP was 12.3 mmHg (IQR 3.2) and CSFPp was 1.0 mmHg (0.5). Mean CSFP rise during QT was 12.5 mmHg (7.3). CSFPp showed an average 3-fold increase at peak QT compared to the resting state. Median RPPC-Q was 0.18 (0.04). There was no systematic error in the computed metrics between the first and second QT.

CONCLUSION

This technical note describes a method to reliably derive, beyond gross CSFP increments, metrics related to cardiac-driven amplitudes during QT (i.e., RPPC-Q). A study comparing these metrics as obtained by established procedures (i.e., infusion testing) and by QT is warranted.

摘要

目的

在脊柱成像时代之前,通过手动压迫颈静脉(称为 Queckenstedt 试验;QT)引起的脑脊液压力(CSFP)的明显变化来测试椎管阻塞的存在。除了这些诱发的明显变化之外,在 CSFP 记录期间还可以记录到由心脏驱动的 CSFP 峰谷幅度(CSFPp)。这是第一项评估 QT 是否可以重新用于得出 CSF 脉动曲线描述符的研究,重点是可行性和可重复性。

方法

在没有椎管狭窄的 14 名老年患者(59.7±9.3 岁,6 名女性)(NCT02170155)侧卧位进行腰椎穿刺。在静息状态和 QT 期间记录 CSFP。从重复 QT 中计算出相对脉搏压系数的替代物(即 RPPC-Q)。

结果

静息状态下平均 CSFP 为 12.3mmHg(IQR 3.2),CSFPp 为 1.0mmHg(0.5)。QT 期间 CSFP 平均升高 12.5mmHg(7.3)。与静息状态相比,CSFPp 在 QT 峰值时平均增加了 3 倍。中位数 RPPC-Q 为 0.18(0.04)。在第一次和第二次 QT 之间,计算出的指标没有系统误差。

结论

本技术说明描述了一种可靠的方法,除了明显的 CSFP 增量之外,还可以推导出与 QT 期间心脏驱动幅度相关的指标(即 RPPC-Q)。有必要进行一项比较这些指标的研究,这些指标是通过既定程序(即输注测试)和 QT 获得的。

https://cdn.ncbi.nlm.nih.gov/pmc/blobs/4eab/10226916/d74468505f2c/701_2023_5583_Fig1_HTML.jpg

文献AI研究员

20分钟写一篇综述,助力文献阅读效率提升50倍。

立即体验

用中文搜PubMed

大模型驱动的PubMed中文搜索引擎

马上搜索

文档翻译

学术文献翻译模型,支持多种主流文档格式。

立即体验