Neurocritical Care, Department of Neurology, Harborview Medical Center, University of Washington, Box 359702, 325 9th Avenue, WA, 98104-2499, Seattle, USA.
Department of Neurological Surgery, Harborview Medical Center, University of Washington, Seattle, USA.
Crit Care. 2023 Apr 20;27(1):156. doi: 10.1186/s13054-023-04410-z.
There is insufficient evidence to guide ventilatory targets in acute brain injury (ABI). Recent studies have shown associations between mechanical power (MP) and mortality in critical care populations. We aimed to describe MP in ventilated patients with ABI, and evaluate associations between MP and clinical outcomes.
In this preplanned, secondary analysis of a prospective, multi-center, observational cohort study (ENIO, NCT03400904), we included adult patients with ABI (Glasgow Coma Scale ≤ 12 before intubation) who required mechanical ventilation (MV) ≥ 24 h. Using multivariable log binomial regressions, we separately assessed associations between MP on hospital day (HD)1, HD3, HD7 and clinical outcomes: hospital mortality, need for reintubation, tracheostomy placement, and development of acute respiratory distress syndrome (ARDS).
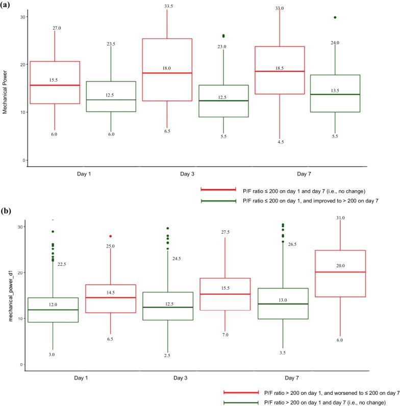
We included 1217 patients (mean age 51.2 years [SD 18.1], 66% male, mean body mass index [BMI] 26.3 [SD 5.18]) hospitalized at 62 intensive care units in 18 countries. Hospital mortality was 11% (n = 139), 44% (n = 536) were extubated by HD7 of which 20% (107/536) required reintubation, 28% (n = 340) underwent tracheostomy placement, and 9% (n = 114) developed ARDS. The median MP on HD1, HD3, and HD7 was 11.9 J/min [IQR 9.2-15.1], 13 J/min [IQR 10-17], and 14 J/min [IQR 11-20], respectively. MP was overall higher in patients with ARDS, especially those with higher ARDS severity. After controlling for same-day pressure of arterial oxygen/fraction of inspired oxygen (P/F ratio), BMI, and neurological severity, MP at HD1, HD3, and HD7 was independently associated with hospital mortality, reintubation and tracheostomy placement. The adjusted relative risk (aRR) was greater at higher MP, and strongest for: mortality on HD1 (compared to the HD1 median MP 11.9 J/min, aRR at 17 J/min was 1.22, 95% CI 1.14-1.30) and HD3 (1.38, 95% CI 1.23-1.53), reintubation on HD1 (1.64; 95% CI 1.57-1.72), and tracheostomy on HD7 (1.53; 95%CI 1.18-1.99). MP was associated with the development of moderate-severe ARDS on HD1 (2.07; 95% CI 1.56-2.78) and HD3 (1.76; 95% CI 1.41-2.22).
Exposure to high MP during the first week of MV is associated with poor clinical outcomes in ABI, independent of P/F ratio and neurological severity. Potential benefits of optimizing ventilator settings to limit MP warrant further investigation.
目前尚无足够的证据可以指导急性脑损伤(ABI)患者的通气目标。最近的研究表明,机械功率(MP)与重症监护人群的死亡率之间存在关联。我们旨在描述接受 ABI 机械通气的患者的 MP,并评估 MP 与临床结局之间的关系。
这是一项前瞻性、多中心、观察性队列研究(ENIO,NCT03400904)的预先计划的二次分析,纳入了需要机械通气(MV)≥24 小时的 ABI 成年患者(插管前格拉斯哥昏迷量表≤12)。我们使用多变量对数二项式回归,分别评估了医院日(HD)1、HD3、HD7 的 MP 与临床结局(医院死亡率、需要重新插管、气管切开术放置和急性呼吸窘迫综合征(ARDS)的发展)之间的关联。
我们纳入了 1217 名患者(平均年龄 51.2 岁[标准差 18.1],66%为男性,平均体重指数[BMI]26.3[标准差 5.18]),这些患者在 18 个国家的 62 个重症监护病房住院。医院死亡率为 11%(n=139),HD7 时 44%(n=536)患者拔管,其中 20%(107/536)需要重新插管,28%(n=340)进行了气管切开术,9%(n=114)发生了 ARDS。HD1、HD3 和 HD7 的中位数 MP 分别为 11.9 J/min [IQR 9.2-15.1]、13 J/min [IQR 10-17]和 14 J/min [IQR 11-20]。ARDS 患者的 MP 总体较高,尤其是 ARDS 严重程度较高的患者。在控制同日动脉血氧分压/吸入氧分数(P/F 比)、BMI 和神经严重程度后,HD1、HD3 和 HD7 的 MP 与医院死亡率、重新插管和气管切开术的放置独立相关。较高 MP 时调整后的相对风险(aRR)更高,在 HD1 时死亡率(与 HD1 中位数 MP 11.9 J/min 相比,aRR 在 17 J/min 时为 1.22,95%CI 1.14-1.30)和 HD3(1.38,95%CI 1.23-1.53)时,重新插管(1.64;95%CI 1.57-1.72)和 HD7 时气管切开术(1.53;95%CI 1.18-1.99)时最强。MP 与 HD1(2.07;95%CI 1.56-2.78)和 HD3(1.76;95%CI 1.41-2.22)时中度至重度 ARDS 的发展有关。
ABI 患者 MV 治疗的第一周内暴露于高 MP 与不良临床结局相关,独立于 P/F 比和神经严重程度。进一步研究优化呼吸机设置以限制 MP 的潜在益处是必要的。