Suppr超能文献

用于诊断肺结核与慢性肺曲霉病的血清细胞因子生物标志物

Serum Cytokine Biomarkers for Use in Diagnosing Pulmonary Tuberculosis versus Chronic Pulmonary Aspergillosis.

作者信息

Ren Weicong, Li Haoran, Guo Can, Shang Yuanyuan, Wang Wei, Zhang Xuxia, Li Shanshan, Pang Yu

机构信息

Department of Bacteriology and Immunology, Beijing Chest Hospital, Capital Medical University/Beijing Tuberculosis and Thoracic Tumor Research Institute, Beijing, People's Republic of China.

Department of Tuberculosis, Beijing Chest Hospital, Capital Medical University/Beijing Tuberculosis & Thoracic Tumor Research Institute, Beijing, People's Republic of China.

出版信息

Infect Drug Resist. 2023 Apr 14;16:2217-2226. doi: 10.2147/IDR.S403401. eCollection 2023.

Abstract

BACKGROUND

-induced chronic pulmonary aspergillosis (CPA), the most common pulmonary tuberculosis (TB) sequela, tends to occur after pulmonary infection with the intracellular pathogen (). Timely and accurate detection of infection of pulmonary TB patients would undoubtedly greatly improve patient prognosis. Currently, the galactomannan (GM) antigen test is commonly used to detect infection but has poor sensitivity that renders this assay inadequate for use in clinical practice.

DESIGN OR METHODS

Given the fact CPA and TB induce different host immune responses, we evaluated serum cytokine level profiles of CPA, TB patients and patients with both diseases (CPA-TB) for multiple cytokines and cytokine combinations.

RESULTS

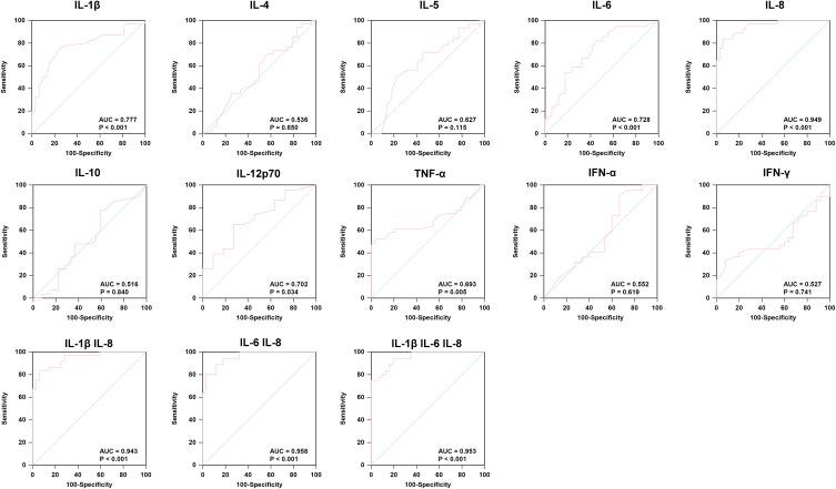
The results revealed significantly higher serum levels of numerous proinflammatory cytokines, including IL-1β, IL-6, IL-8, IL-12p70, IFN-α, IFN-γ and TNF-α, in peripheral blood of CPA-TB patients versus that of TB patients. IL-8 levels alone provided the best discriminatory performance for distinguishing between TB and either CPA-TB patients (AUC = 0.949) or CPA patients (AUC = 0.964). Moreover, both IL-8 and TNF-α (AUC = 0.996) levels could be used to distinguish between TB and CPA-TB patients. Likewise, IL-8, TNF-α and IL-6 levels together could be used to distinguish between CPA-TB and TB patients.

CONCLUSION

In this study, multiple cytokines were identified that may serve as potential biomarkers for use in detecting TB patients with CPA. Furthermore, our results should enhance understanding of how immune system dysfunctions influence susceptibility to and/or infections.

摘要

背景

曲霉诱导的慢性肺曲霉病(CPA)是最常见的肺结核(TB)后遗症,往往发生在细胞内病原体感染肺部之后。及时准确地检测肺结核患者的感染情况无疑将大大改善患者的预后。目前,半乳甘露聚糖(GM)抗原检测常用于检测感染,但敏感性较差,导致该检测方法在临床实践中应用不足。

设计或方法

鉴于CPA和TB诱导不同的宿主免疫反应,我们评估了CPA、TB患者以及同时患有这两种疾病(CPA-TB)的患者的血清细胞因子水平谱,检测了多种细胞因子及细胞因子组合。

结果

结果显示,与TB患者相比,CPA-TB患者外周血中多种促炎细胞因子的血清水平显著升高,包括白细胞介素-1β(IL-1β)、白细胞介素-6(IL-6)、白细胞介素-8(IL-8)、白细胞介素-12p70、干扰素-α(IFN-α)、干扰素-γ(IFN-γ)和肿瘤坏死因子-α(TNF-α)。单独的IL-8水平在区分TB与CPA-TB患者(曲线下面积[AUC]=0.949)或CPA患者(AUC=0.964)方面具有最佳的鉴别性能。此外,IL-8和TNF-α水平(AUC=0.996)均可用于区分TB与CPA-TB患者。同样,IL-8、TNF-α和IL-6水平共同可用于区分CPA-TB与TB患者。

结论

在本研究中,确定了多种细胞因子可能作为检测合并CPA的TB患者的潜在生物标志物。此外,我们的结果应能增强对免疫系统功能障碍如何影响对曲霉和/或结核感染易感性的理解。

https://cdn.ncbi.nlm.nih.gov/pmc/blobs/ef41/10112472/2ae6ef5e8897/IDR-16-2217-g0001.jpg

文献AI研究员

20分钟写一篇综述,助力文献阅读效率提升50倍。

立即体验

用中文搜PubMed

大模型驱动的PubMed中文搜索引擎

马上搜索

文档翻译

学术文献翻译模型,支持多种主流文档格式。

立即体验