Suppr超能文献

外周肠外营养溶液和床上擦浴毛巾是医院获得性外周静脉导管相关血流感染的危险因素。

Peripheral Parenteral Nutrition Solutions and Bed Bath Towels as Risk Factors for Nosocomial Peripheral Venous Catheter-related Bloodstream Infection by .

机构信息

Clinical Pharmacology, Graduate School of Medicine, Yamaguchi University, Japan.

Pharmacy Department, Yamaguchi University Hospital, Japan.

出版信息

Int J Med Sci. 2023 Mar 5;20(5):566-571. doi: 10.7150/ijms.82054. eCollection 2023.

Abstract

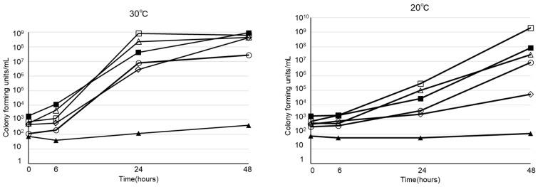
In Japan, China, and Singapore, several studies have reported increased incidences of peripheral venous catheter-related bloodstream infection by during the summer. Therefore, we hypothesized that bed bathing with a -contaminated "clean" towels increases contact with the catheter and increases the odds of contaminating the peripheral parenteral nutrition (PPN). We found that 1) professionally laundered "clean" towels used in hospitals have (3.3×10 colony forming units (CFUs) / 25cm), 2) is transferable onto the forearms of volunteers by wiping with the towels (n=9), and 3) remain detectable (80∼660 CFUs /50cm) on the forearms of volunteers even with subsequent efforts of disinfection using alcohol wipes. We further confirmed that grow robustly (10 CFUs /mL to more than 10 CFUs /mL) within 24hours at 30°C in PPN. Altogether we find that bed bathing with a towel contaminated with leads to spore attachments to the skin, and that can proliferate at an accelerated rate at 30°C compared to 20°C in PPN. We therefore highly recommend ensuring the use of sterile bed bath towels prior to PPN administration with catheter in patients requiring bed bathing.

摘要

在日本、中国和新加坡,有几项研究报告称,夏季外周静脉导管相关血流感染的发生率增加了。因此,我们假设用污染的“清洁”毛巾进行床上沐浴会增加与导管的接触,并增加污染外周肠外营养(PPN)的几率。我们发现:1)医院使用的专业清洗“清洁”毛巾上有(3.3×10 个菌落形成单位(CFU)/25cm);2)可以通过擦拭毛巾将转移到志愿者的前臂上(n=9);3)即使使用酒精擦拭进行后续消毒,志愿者前臂上仍可检测到(80∼660 CFU/50cm)。我们进一步证实,在 30°C 的 PPN 中,即使经过 24 小时,仍能迅速生长(10 CFU/mL 至 10 CFU/mL 以上)。总的来说,我们发现用污染的含有孢子的毛巾进行床上沐浴会导致孢子附着在皮肤上,并且与 20°C 相比,在 PPN 中 30°C 时增殖速度更快。因此,我们强烈建议在需要床上沐浴的患者中,在进行 PPN 治疗前,确保使用无菌的床上沐浴毛巾。

https://cdn.ncbi.nlm.nih.gov/pmc/blobs/d236/10110474/386034e2c249/ijmsv20p0566g001.jpg

文献AI研究员

20分钟写一篇综述,助力文献阅读效率提升50倍。

立即体验

用中文搜PubMed

大模型驱动的PubMed中文搜索引擎

马上搜索

文档翻译

学术文献翻译模型,支持多种主流文档格式。

立即体验