Suppr超能文献

布罗索尤单抗对比磷酸盐/活性维生素 D 在儿科 X 连锁低磷血症中的疗效:基于剂量水平的亚组分析。

Burosumab vs Phosphate/Active Vitamin D in Pediatric X-Linked Hypophosphatemia: A Subgroup Analysis by Dose Level.

机构信息

Departments of Medicine and Pediatrics, Indiana University School of Medicine, Indianapolis, IN 46202, USA.

Emeritus Director of Research, Shriners Hospitals for Children-Canada, Montreal, QC H4A 0A9, Canada.

出版信息

J Clin Endocrinol Metab. 2023 Oct 18;108(11):2990-2998. doi: 10.1210/clinem/dgad230.

Abstract

CONTEXT

In an open-label, randomized, controlled, phase 3 trial in 61 children aged 1 to 12 years with X-linked hypophosphatemia (XLH), burosumab improved rickets vs continuing conventional therapy with active vitamin D and phosphate.

OBJECTIVE

We conducted an analysis to determine whether skeletal responses differed when switching to burosumab vs continuing higher or lower doses of conventional therapy.

METHODS

Conventional therapy dose groups were defined as higher-dose phosphate [greater than 40 mg/kg] (HPi), lower-dose phosphate [40 mg/kg or less] (LPi), higher-dose alfacalcidol [greater than 60 ng/kg] or calcitriol [greater than 30 ng/kg] (HD), and lower-dose alfacalcidol [60 ng/kg or less] or calcitriol [30 ng/kg or less] (LD).

RESULTS

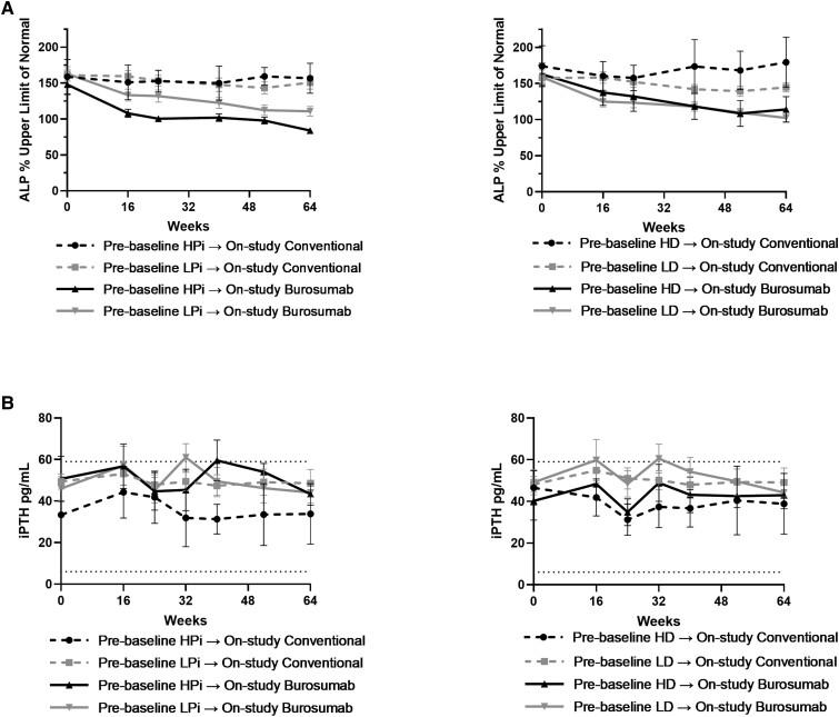
At week 64, the Radiographic Global Impression of Change (RGI-C) for rickets was higher (better) in children randomly assigned to burosumab vs conventional therapy for all prebaseline dose groups: HPi (+1.72 vs +0.67), LPi (+2.14 vs +1.08), HD (+1.90 vs +0.94), LD (+2.11 vs +1.06). At week 64, the RGI-C for rickets was also higher in children randomly assigned to burosumab (+2.06) vs conventional therapy for all on-study dose groups: HPi (+1.03), LPi (+1.05), HD (+1.45), LD (+0.72). Serum alkaline phosphatase (ALP) also decreased in the burosumab-treated patients more than in the conventional therapy group, regardless of on-study phosphate and active vitamin D doses.

CONCLUSION

Prior phosphate or active vitamin D doses did not influence treatment response after switching to burosumab among children with XLH and active radiographic rickets. Switching from conventional therapy to burosumab improved rickets and serum ALP more than continuing either higher or lower doses of phosphate or active vitamin D.

摘要

背景

在一项针对 61 名 1 至 12 岁患有 X 连锁低磷血症(XLH)儿童的开放性、随机、对照、3 期试验中,与继续使用活性维生素 D 和磷酸盐的常规治疗相比,布罗索尤单抗改善了佝偻病。

目的

我们进行了一项分析,以确定在切换至布罗索尤单抗与继续使用较高或较低剂量的常规治疗时,骨骼反应是否存在差异。

方法

常规治疗剂量组定义为较高剂量磷酸盐[大于 40mg/kg](HPi)、较低剂量磷酸盐[40mg/kg 或以下](LPi)、较高剂量阿尔法骨化醇[大于 60ng/kg]或骨化三醇[大于 30ng/kg](HD)和较低剂量阿尔法骨化醇[60ng/kg 或以下]或骨化三醇[30ng/kg 或以下](LD)。

结果

在第 64 周时,与接受常规治疗的儿童相比,所有基线前剂量组随机接受布罗索尤单抗治疗的儿童的放射学整体变化印象(RGI-C)在佝偻病方面更高(更好):HPi(+1.72 比+0.67)、LPi(+2.14 比+1.08)、HD(+1.90 比+0.94)、LD(+2.11 比+1.06)。在第 64 周时,与接受常规治疗的儿童相比,所有研究中接受布罗索尤单抗治疗的儿童的佝偻病 RGI-C 也更高(+2.06):HPi(+1.03)、LPi(+1.05)、HD(+1.45)、LD(+0.72)。接受布罗索尤单抗治疗的患者的血清碱性磷酸酶(ALP)下降幅度也大于常规治疗组,无论研究中磷酸盐和活性维生素 D 的剂量如何。

结论

在患有 XLH 和活动性放射学佝偻病的儿童中,切换至布罗索尤单抗治疗后,先前的磷酸盐或活性维生素 D 剂量并不影响治疗反应。与继续使用较高或较低剂量的磷酸盐或活性维生素 D 相比,从常规治疗切换至布罗索尤单抗可更有效地改善佝偻病和血清 ALP。

https://cdn.ncbi.nlm.nih.gov/pmc/blobs/239d/10583998/9857d4032d76/dgad230f1.jpg

文献检索

告别复杂PubMed语法,用中文像聊天一样搜索,搜遍4000万医学文献。AI智能推荐,让科研检索更轻松。

立即免费搜索

文件翻译

保留排版,准确专业,支持PDF/Word/PPT等文件格式,支持 12+语言互译。

免费翻译文档

深度研究

AI帮你快速写综述,25分钟生成高质量综述,智能提取关键信息,辅助科研写作。

立即免费体验