Suppr超能文献

冲动性和感知到的社会支持对甲基苯丙胺使用障碍女性精神症状的预测作用。

The predictive role of impulsivity and perceived social support in psychiatric symptoms of women with methamphetamine use disorder.

作者信息

Wang Shuzhe, Li Jing, Li Yibo, Xia Yuwei, Gong Yu, Mao Fuqiang

机构信息

Department of Psychiatry and Psychology, College of Basic Medical Sciences, Tianjin Medical University, Tianjin, China.

The Second Hospital of Tianjin Medical University, Tianjin, China.

出版信息

Front Psychiatry. 2023 Apr 17;14:1116650. doi: 10.3389/fpsyt.2023.1116650. eCollection 2023.

Abstract

BACKGROUND

Currently, few studies have examined the mental states of Women methamphetamine patients, and the influence of impulsivity and perceived social support on substance misuse-induced mental disorders is unclear. We want to examine the mental state of women with methamphetamine use disorder and compare it to the Chinese norm value of healthy women. Investigate the connection between impulsivity, perceived social support and mental state of women with methamphetamine use disorder.

METHOD

Two hundred thirty women subjects with a history of methamphetamine usage were recruited. The Chinese version of the SCL-90-R, (SCL-90) was used to evaluate psychological health problems, while the Multidimensional Scale of Perceived Social Support (MSPSS) and Barratt Impulsiveness Seale-11 (BIS-11) were utilized to evaluate perceived social support and impulsivity, respectively. The -test, Pearson correlation analysis, multivariable linear regression, stepwise regression models, moderating effect analysis were used to analyze the statistics.

RESULTS

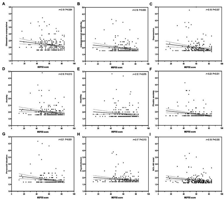
There was a noticeable difference between the Chinese norm and all participants' SCL-90 ratings, especially for Somatization ( = 24.34,  < 0.001), Anxiety ( = 22.23,  < 0.001), Phobic anxiety ( = 26.47,  < 0.001), and Psychoticism ( = 24.27,  < 0.001). In addition, perceived social support levels and impulsivity levels are independently predictive of SCL-90 scores. Lastly, the impact of Impulsivity on SCL-90 can be modulated by perceived social support.

CONCLUSION

According to this study, women with methamphetamine use disorder have worse mental health conditions compared to healthy subjects. Furthermore, certain psychological symptoms associated with methamphetamine use in women can be aggravated by impulsivity, while perceived social support acts as a protective factor for methamphetamine-related psychiatric symptoms. Specifically, perceived social support weakens the impact of impulsivity on psychiatric symptoms in women with methamphetamine use disorder.

摘要

背景

目前,很少有研究考察甲基苯丙胺女性患者的心理状态,冲动性和感知社会支持对药物滥用所致精神障碍的影响尚不清楚。我们想研究甲基苯丙胺使用障碍女性的心理状态,并将其与中国健康女性的常模值进行比较。探讨甲基苯丙胺使用障碍女性的冲动性、感知社会支持与心理状态之间的联系。

方法

招募了230名有甲基苯丙胺使用史的女性受试者。中文版90项症状自评量表(SCL-90)用于评估心理健康问题,多维感知社会支持量表(MSPSS)和巴拉特冲动性量表-11(BIS-11)分别用于评估感知社会支持和冲动性。采用t检验、Pearson相关分析、多变量线性回归、逐步回归模型、调节效应分析进行统计分析。

结果

中国常模与所有参与者的SCL-90评分之间存在显著差异,尤其是在躯体化(t = 24.34,p < 0.001)、焦虑(t = 22.23,p < 0.001)、恐惧焦虑(t = 26.47,p < 0.001)和精神病性(t = 24.27,p < 0.001)方面。此外,感知社会支持水平和冲动性水平可独立预测SCL-90评分。最后,冲动性对SCL-90的影响可受到感知社会支持的调节。

结论

根据本研究,与健康受试者相比,甲基苯丙胺使用障碍女性的心理健康状况更差。此外,女性甲基苯丙胺使用相关的某些心理症状会因冲动性而加重,而感知社会支持对甲基苯丙胺相关精神症状起到保护作用。具体而言,感知社会支持减弱了冲动性对甲基苯丙胺使用障碍女性精神症状的影响。

https://cdn.ncbi.nlm.nih.gov/pmc/blobs/0965/10150773/c37d2bb677aa/fpsyt-14-1116650-g001.jpg

文献AI研究员

20分钟写一篇综述,助力文献阅读效率提升50倍。

立即体验

用中文搜PubMed

大模型驱动的PubMed中文搜索引擎

马上搜索

文档翻译

学术文献翻译模型,支持多种主流文档格式。

立即体验