Suppr超能文献

高中阶段的素质与58年后的认知能力相关。

High school quality is associated with cognition 58 years later.

作者信息

Seblova Dominika, Eng Chloe, Avila-Rieger Justina F, Dworkin Jordan D, Peters Kelly, Lapham Susan, Zahodne Laura B, Chapman Benjamin, Prescott Carol A, Gruenewald Tara L, Arpawong Thalida Em, Gatz Margaret, Jones Rich J, Glymour Maria M, Manly Jennifer J

机构信息

Taub Institute for Research on Alzheimer's Disease and the Aging Brain, The Gertrude H. Sergievsky Center, Department of Neurology Columbia University New York New York USA.

Second Faculty of Medicine Charles University Prague Prague Czech Republic.

出版信息

Alzheimers Dement (Amst). 2023 May 2;15(2):e12424. doi: 10.1002/dad2.12424. eCollection 2023 Apr-Jun.

Abstract

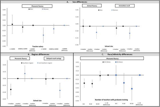
We leveraged a unique school-based longitudinal cohort-the Project Talent Aging Study-to examine whether attending higher quality schools is associated with cognitive performance among older adults in the United States (mean age = 74.8). Participants (n = 2,289) completed telephone neurocognitive testing. Six indicators of high school quality, reported by principals at the time of schooling, were predictors of respondents' cognitive function 58 years later. To account for school-clustering, multilevel linear and logistic models were applied. We found that attending schools with a higher number of teachers with graduate training was the clearest predictor of later-life cognition, and school quality mattered especially for language abilities. Importantly, Black respondents (n = 239; 10.5 percentage) were disproportionately exposed to low quality high schools. Therefore, increased investment in schools, especially those that serve Black children, could be a powerful strategy to improve later life cognitive health among older adults in the United States.

摘要

我们利用了一项独特的基于学校的纵向队列研究——“人才项目衰老研究”,来检验在美国,就读于质量更高的学校是否与老年人(平均年龄 = 74.8岁)的认知表现相关。参与者(n = 2289)完成了电话神经认知测试。校长在学生上学时报告的六个高中质量指标,是58年后受访者认知功能的预测因素。为了考虑学校聚类情况,应用了多级线性和逻辑模型。我们发现,就读于拥有更多受过研究生培训教师的学校,是晚年认知最明显的预测因素,而且学校质量对语言能力尤为重要。重要的是,黑人受访者(n = 239;10.5%)就读于低质量高中的比例过高。因此,增加对学校的投资,尤其是对服务黑人儿童的学校的投资,可能是改善美国老年人晚年认知健康的有力策略。

https://cdn.ncbi.nlm.nih.gov/pmc/blobs/ad19/10152568/a6d2ce73d884/DAD2-15-e12424-g001.jpg

文献AI研究员

20分钟写一篇综述,助力文献阅读效率提升50倍。

立即体验

用中文搜PubMed

大模型驱动的PubMed中文搜索引擎

马上搜索

文档翻译

学术文献翻译模型,支持多种主流文档格式。

立即体验